有机-无机杂化改性磷酸盐/石墨润滑涂层的高温摩擦学性能
1.
2.
High-temperature Tribological Performance of Organic-inorganic Hybrid Modified Phosphate/Graphite Lubricating Coatings
1.
2.
通讯作者: 王伟,教授,gackmol@163.com,研究方向为材料加工中的摩擦与润滑
责任编辑: 姚金金
收稿日期: 2024-10-25 修回日期: 2025-03-20
| 基金资助: |
|
Corresponding authors: WANG Wei, Tel:
Received: 2024-10-25 Revised: 2025-03-20
| Fund supported: |
|
作者简介 About authors
张若云,女,2000年生,硕士
用有机-无机原位杂化将磷酸二氢铝(AP)改性,再以AP和杂化AP为粘结剂在TA1纯钛表面制备了石墨基粘结润滑涂层。使用红外光谱仪、X射线光电子能谱仪和X射线衍射仪等手段表征杂化AP粘结剂的结构和性能,用扫描电子显微镜和三维白光轮廓干涉仪表征固体润滑涂层的磨损表面,并用多功能摩擦磨损实验机测试了不同涂层的高温(700~900 ℃)摩擦学性能。结果表明,AP与苯基三甲氧基硅烷(PTMS)杂化生成了以P-O-Si为骨架的化学结构。PTMS含量为10%的杂化AP涂层其高温润滑性能最佳,温度为850 ℃的摩擦系数(0.1219)和磨损率(0.57 × 10-3 mm3·N-1·m-1)比杂化前分别降低了77%和82%。在杂化AP粘结剂中生成的网状物质提高了层状石墨的粘结固体润滑涂层的高温摩擦学性能。同时,网状物质填充涂层内部的孔洞和裂纹使涂层的磨损率降低。
关键词:
The phosphoric acid dihydrogen aluminum (AP) was modified by in situ organic-inorganic hybridization technique, and then the graphite-based lubrication coatings were applied on TA1 pure titanium surfaces by taking AP and hybridized AP as binding agent respectively. The prepared hybridized AP was characterized by means of infrared spectroscopy, X-ray photoelectron spectroscopy, and X-ray diffraction. The high-temperature tribological performance of different coatings was assessed via RTEC MFT-5000 multifunctional friction and wear tester at 700 oC to 900 oC, which then were characterized by means of scanning electron microscopy and three-dimensional white light contour interferometry. The results indicated that AP was successfully hybridized with phenyltrimethoxysilane (PTMS), forming a chemical structure with P-O-Si as the skeleton. The coating with hybridized AP exhibited optimal lubrication performance at high temperatures when the PTMS content was 10%. Specifically, by tribological test at 850 oC, the coating with hybridized AP presented coefficient of friction 0.1219 and wear rate 0.57 × 10-3 mm3·N-1·m-1, which were reduced by 77% and 82%, respectively, compared to those with simple AP. It follows that the reticulated material generated in the hybridized AP binder can enhanced the high-temperature tribological properties of the lubricated coatings containing laminated graphite. Furthermore, this reticulated material can fill the holes and cracks within the coating, thereby reducing the wear rate and improving wear resistance of coatings.
Keywords:
本文引用格式
张若云, 王伟, 宫鹏辉, 丁士杰, 刘显昊, 孙壮, 吕凡凡, 高原, 王快社.
ZHANG Ruoyun, WANG Wei, GONG Penghui, DING Shijie, LIU Xianhao, SUN Zhuang, LV Fanfan, GAO Yuan, WANG Kuaishe.
石墨和二硫化钼(MoS2)是主要的传统基础润滑材料[7~10]。石墨的层与层之间较弱的van der Waals 力和稳定的结构,使其具有优异的润滑性能[11~13]。乙醇溶液沉积石墨纳米片能显著降低钢摩擦副的摩擦磨损,与纯水溶液相比,添加少量的乙醇溶液和石墨可以使摩擦系数(COF)显著降低,降幅达83.3%,并将磨损降低近4个数量级[14]。Bhowmick等[15]发现,石墨在干燥的N2气氛中COF值(0.52)较高,而在10%RH和45%RH的空气中其COF值(分别为0.17和0.11)较低但是较为稳定。这表明,石墨在室温下的润滑性能优异。但是,石墨在大气中的高温耐氧化性较差[13~15]。石墨在400 ℃以上的温度容易氧化成一氧化碳(CO),在500 ℃以上的温度氧化成二氧化碳(CO2),在700 ℃以上的温度降解成CO2 [16~18]。
使用固体润滑涂层时,须将其与粘结剂混合[18,19]。粘结剂分为有机粘结剂和无机粘结剂[16]。磷酸盐是一种常用的无机粘结剂,具有良好的附着力、耐高温性、抗氧化性和化学稳定性。浸渍在磷酸盐溶液中的石墨在100~500 ℃的COF稳定在0.13,因为磷酸盐与石墨反应产生的惰性位点抑制了氧化反应[17]。Huai等[18]用无定形二氧化硅、磷酸二氢铝(AP)制备了高温石墨基固体润滑涂层,熔融二氧化硅与AP联结生成的氧阻挡层阻止了氧向石墨内部渗入,使其800 ℃摩擦系数(约为0.05)超低。磷酸盐能提高石墨的耐氧化性,但是磷酸盐粘结剂的高脆性影响挤压薄壁型材的表面质量[17]。Jia等[19]用甲基三乙氧基硅烷(METS)和二甲氧基二甲基硅烷(MSDS)制备的预聚物用于改性磷酸铝铬粘结剂,并用其制备了以MoS2和Sb2O3为固体润滑剂的粘结固体润滑涂层,其使用温度高达500 ℃并具有较高的韧性。但是,石墨润滑涂层的高温润滑性能、耐磨性和热稳定性较低。因此,将有机-无机杂化材料作为粘结石墨粘结涂层的粘结剂,有望提高其耐高温性能,将柔性有机相与硬无机相结合可使其具有更高的机械强度和韧性[20~23]。本文用苯基三甲氧基硅烷(PTMS)对AP粘结剂进行有机-无机原位杂化改性制备杂化粘结石墨涂层,研究其高温摩擦学性能并提出高温润滑机理。
1 实验方法
1.1 制备石墨基粘结润滑涂层
将5 g磷酸二氢铝(AP,纯度95%)溶于去离子水中,加热至60 ℃搅拌使溶液呈完全透明状。随后分别加入质量分数为0%、5%、10%、15%、20%的苯基三甲氧基硅烷(PTMS,纯度不低于98%),持续搅拌30 min使分层消失,溶液由无色透明逐渐变成乳白色液体,即得有机-无机原位杂化AP粘结剂。向杂化AP粘结剂中加入7.5 g鳞片状天然石墨(纯度99%,325目),用磁力搅拌机在80 ℃搅拌180 min使其混合均匀得到润滑剂。最后,将润滑剂喷涂在TA1盘表面,凝固后将其置于真空干燥箱中干燥24 h,得到石墨基粘结润滑涂层。用涡流膜厚仪测出固化后涂层的厚度为(40 ± 5) µm。涂层的制备步骤,如图1所示。
图1
1.2 涂层的摩擦磨损实验
使用RTEC MFT-5000多功能摩擦磨损实验机(球盘旋转模式)测试杂化前后AP粘结剂试样的高温摩擦磨损性能。高温摩擦磨损实验参数为:上试样是直径为9.525 mm的标准陶瓷Si3N4球,下试样是尺寸为Φ50.8 mm × 6 mm的TA1圆盘。载荷为20 N,滑动半径为0.015 m,滑动速度为0.47 m/s,测试时间为600 s。为了确保实验的可重复性和准确性,取3次重复实验结果的平均值。TA1盘的磨损率为
其中V(m3)为TA1盘磨损体积,r(m)为Si3N4小球的半径,h(m)为TA1盘的磨损深度,K(mm3·N-1·m-1)为比磨损率,N(N)为施加的载荷,S(m)为滑动距离。
1.3 涂层粘结剂的表征
用X射线衍射仪(XRD,Bruker D8)、红外光谱仪(FTIR,Nicolet Is50)以及X射线光电子能谱仪(XPS,Thermo Scientific K-Alpha)分析杂化前后AP粘结剂的化学组成和相结构。用扫描电子显微镜(SEM,Gemini 300)观察涂层试样的微观结构。用三维白光轮廓干涉仪(Up S-Dual)表征TA1盘的磨痕、Si3N4球的三维形貌。用SEM表征TA1盘磨损表面的形貌和化学复合物。用XPS分析磨损痕迹上的元素及其价态。
2 结果和讨论
2.1 表征杂化前后的AP粘结涂层
用FT-IR谱表征了杂化AP粘结剂及其化学结构。如图2a所示,FT-IR谱中1640和3450 cm-1处的峰是-OH的吸收峰。1144 cm-1处的对称伸缩峰对应P=O,940 cm-1处的不对称伸缩峰对应P-O-P。杂化AP粘结剂的谱中900 cm-1处的峰,是Si-OH的弯曲振动峰。出现在1050 cm-1处的峰是P-O-Si和Si-O-Si中Si-O键的伸缩振动峰,而出现在1100 cm-1处的峰是P-O-Si和P-O-P中P-O键的伸缩振动峰。出现在740 cm-1处的CH3吸收峰是P-O-P的对称收缩峰与Si-CH3的摆动振动峰[24,25]重叠所致的展宽。上述结果表明,AP与PTMS发生化学反应生成了以P-O-Si为骨架的结构,并引入了-Ph疏水基团。为了进一步证明PTMS与AP中P-O-Si键的存在,用XPS分析了杂化AP粘结剂的化学结构,并与Si元素进行了高斯拟合。从图2b可以看出,Si 2p谱可在103.2、102.5和101.5 eV处卷成3个峰,分别对应Si-O-Si、P-O-Si和Si-OH[26]。P-O-Si键的形成使Si原子的电子云向P原子方向偏移而使其密度降低和Si原子核与电子之间的屏蔽减弱。因此,P-O-Si键的结合能提高到高于Si-OH键的结合能。AP溶于水呈酸性,PTMS在酸性环境中水解。这两种材料结合时发生原位水解和聚合,如图2d所示。因此,具有疏水性的柔性有机基团被接枝到AP粘结剂中,导致AP的有机-无机原位杂化。图2c给出了AP粘结涂层和杂化AP粘结涂层的XRD谱。出现在AP谱中12°、22°和27°处的较强衍射峰为标准的AP特征峰(JCPDS No. 97-001-9456)。在26°出现石墨的最强衍射峰,在AP涂层与杂化AP涂层的XRD谱中石墨的特征峰较为明显,因为制备涂层时石墨的含量较高使其衍射峰的强度远高于其他峰。杂化AP粘结剂不影响层状石墨的结构,石墨仍然保持其层状结构具有润滑性能。
图2
图2
杂化AP粘结剂的化学结构和杂化合成路径
Fig.2
Chemical structure characterization of hybrid AP binder (a) FT-IR, (b) XPS, (c) XRD, (d) Hybridization synthesis pathway
从图3a并结合表1点扫描A点的元素分布可见,在室温下AP涂层呈现大量鳞片状的石墨堆叠,还可见微小颗粒状的AP。从图3e可见,在室温下杂化AP粘结涂层表面出现交联网络状物质,结合表1中C点的元素分布,可得其生成原因是引入PTMS杂化后产生的。交联网络状物质填充层状石墨间空隙,从而使涂层的粘结性和致密性提高。同时,石墨表面还有未杂化的AP[19,24,27]。从图3b可见,在700 ℃石墨未严重氧化,结合表1中B点的元素分布可以看出鳞片状石墨结构的表面附着AP颗粒。从图3c可见,在800 ℃涂层表面出现孔洞,石墨的含量降低,表面有更多的颗粒状和熔融粘结块状AP。石墨在高温下氧化失效溢出,在涂层表面留下孔洞。如图3d所示,在900 ℃孔洞增多,表面呈整体粘连状且涂层氧化发白,据此可以判断石墨在900 ℃氧化殆尽。图3f~h给出了使用杂化AP粘结剂的涂层在700、800和900 ℃的形貌。从700 ℃的表面明显可见交联结构,表面有少量的球状物。这种球状物,是杂化AP在高温下生成的。在800 ℃球状物变大增多,其表面可见气孔和破裂的形态。其原因是,被杂化粘结剂包裹的石墨在高温下溢出形成球状物。虽然球状物在900 ℃变大但是依然可见涂层内的交联结构。这表明,杂化粘结剂形成的这种结构能保护部分石墨免于氧化,但是石墨仍然氧化溢出。在900 ℃,杂化交联结构仍然完好。
图3
图3
AP涂层和杂化AP涂层在不同温度下的SEM图像
Fig.3
SEM images of AP coating (a-d) and hybridized AP coating (e-h) at RT (a, e), 700 oC (b, f), 800 oC (c, g) and 900 oC (d, h)
表1 涂层表面点扫描原子质量比
Table 1
| Element | A | B | C | D |
|---|---|---|---|---|
| C | 92.3 | 78.51 | 8.8 | 1.85 |
| Al | 0.32 | 9.52 | 14.37 | 12.2 |
| P | 2.05 | 53 | 50.92 | 15.33 |
| O | 5.33 | 48.2 | 71.03 | 56.06 |
| Si | \ | \ | 7.61 | 14.56 |
2.2 AP粘结剂涂层的高温摩擦学性能
图4所示给出了在载荷为20 N、线速度为47 mm/s条件下AP粘结涂层在不同温度(700、750、800、850和900 ℃)的摩擦学性能。可以看出,在这几个温度下试样的磨损率分别为2.5 × 10-3、2.3 × 10-3、2.07 × 10-3、3.33 × 10-3和6.85 × 10-3 mm3·N-1·m-1。图4a给出了涂层在不同温度的摩擦曲线。从摩擦曲线的变化趋势可见,温度为700 ℃时,在前200 s摩擦系数稳定在约0.15,200 s后缓慢提高,400 s后摩擦系数极不稳定;温度为800 ℃时,摩擦系数平稳提高;温度为750 ℃时摩擦系数从0 s开始提高,从约450 s开始趋于平稳(约为0.7),几乎达到干摩擦状态。可以看出,温度为700和800 ℃,摩擦系数都是从较低的数值开始提高,并且都有大约200 s的有效润滑,最后的摩擦系数较高。在200 s内摩擦系数较低的原因是,石墨未完全氧化而具有一定的润滑性能;在200~400 s摩擦系数缓慢提高,因为石墨严重消耗而逐渐失去润滑性能,400 s后石墨失效使摩擦系数急剧升高。在850 ℃摩擦系数从0.5升高到0.9后下降,最终稳定在大约0.55;在900 ℃摩擦系数稳定在大约0.7。以上结果和图3中的SEM照片表明,在850和900 ℃的加热保温阶段涂层已经失去润滑性能,因为涂层中的石墨完全氧化。
图4
图4
AP粘结涂层在不同温度下的摩擦曲线、平均摩擦系数和磨损率
Fig.4
Friction curves (a), average friction coefficient and wear rate (b) of AP bonded coating at different temperatures
使用AP粘结剂制备的润滑涂层,在800 ℃其平均摩擦系数(0.22)和磨损率(2.07 × 10-3 mm3·N-1·m-1)最低。其原因是,温度为700 ℃时AP中的Al2P6O18相开始转化为Al(PO3)3,温度达到800 ℃时全部转化为Al(PO3)3,Al(PO3)3与石墨的协同作用使涂层的摩擦系数大大降低[28]。
为了比较在不同温度TA1圆盘AP涂层的磨损性能,图5给出了磨损表面的三维形貌和二维磨痕截面曲线。可以看出,磨痕的宽度和深度的变化规律与摩擦系数的变化规律,都是先减小后增大。在800 ℃磨痕宽度为1102 µm,深度为36.88 µm,磨损程度较轻、表面平整。在700和750 ℃磨痕宽度分别为1379.91和1181.02 µm,深度分别为59.62和37.47 µm。而在850和900 ℃圆盘(涂层)的磨痕宽度(1581.26和2201.99 µm)和深度(76.12和142.78 µm)都比较大,因为温度的提高使涂层几近处于干摩擦状态。
图5
图5
在不同温度下TA1盘AP粘结涂层磨痕表面的磨损轨道、三维轮廓图以及二维高度轮廓曲线
Fig.5
Wear mark surfaces of TA1 discs at different temperatures for AP-bonded coatings were analyzed using wear tracks (a-e), 3D contour maps (a1-e1), and 2D height profile curves (a2-e2)
图6给出了温度为850 ℃时TA1盘AP粘结涂层磨痕表面的SEM照片。可以看出,在磨痕处有较深的犁沟和较多的磨屑。EDS元素分析结果表明,这些磨屑是在一定的压力下摩擦使TA1盘涂层的表面发生剥落,属于典型的磨粒磨损。将磨痕区域的局部放大,可见磨痕表面由典型的犁沟,还有大量的孔洞。EDS分析结果表明,磨痕区域的石墨显著减少,只有AP(磷酸铝)形成的润滑膜。这些孔洞,可能是在高温加热过程中石墨溢出所致。元素分析结果表明,磨痕区域的C元素含量显著低于P、Al和O元素的含量。这表明,在850 ℃磨痕处石墨润滑组分的含量极低。这是在850 ℃摩擦系数增大和磨损率升高的主要原因。同时,对磨痕区域磨屑的分析结果表明,其主要成分是氧化铝。在磨屑下方可见暴露的钛合金基体,表明润滑膜未能形成连续且稳定的保护层。这表明,为了在800 ℃以上的温度实现连续润滑,不能只使用AP粘结剂与石墨的混合物。
图6
图6
AP涂层TA1盘磨痕、磨屑表面在850 ℃下的SEM和EDS照片
Fig.6
SEM and EDS of AP-coated TA1 disc wear mark surfaces (a, b) and wear chips (c) at 850 oC
2.3 杂化AP粘结剂涂层的高温摩擦学性能
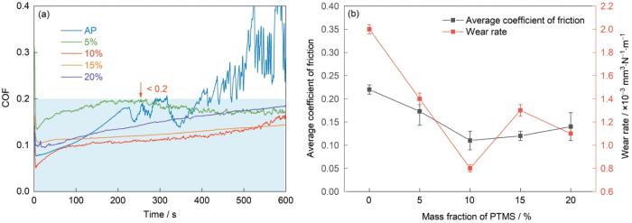
图7a给出了在AP中加入5%、10%、15%、20% PTMS的粘结涂层在800 ℃的高温摩擦学性能。可以看出,加入PTMS后摩擦曲线较为平缓。PTMS含量为5%的粘结涂层,其摩擦曲线先上升后下降,在350 s后摩擦系数约为0.17,磨损率为1.4 × 10-3 mm3·N-1·m-1。PTMS含量为10%的粘结涂层,其平均摩擦系数最低(0.1139),磨损率为0.8 × 10-3 mm3·N-1·m-1。随着PTMS含量分别提高到15%和20%,粘结涂层的平均摩擦系数分别为0.1248、0.1465,磨损率分别为1.3 × 10-3和1.1 × 10-3 mm3·N-1·m-1。这表明,添加PTMS能延长润滑剂的作用时间,平均摩擦系数均小于0.2,PTMS含量为10%的涂层润滑剂性能最好。
图7
图7
不同含量PTMS的涂层在800 ℃下的摩擦曲线、平均摩擦系数和磨损率
Fig.7
Friction curves (a), average friction coefficient and wear rate (b) of coatings with different PTMS contents at 800 °C
将PTMS含量为10%的涂层分别在不同温度(700、750、800、850和900 ℃)保温5 min后,在20 N和47 mm/s条件下进行高温摩擦实验,结果在图8a中给出。可以看出,温度为700 ℃时摩擦系数随着时间的延长从初始值0.1缓慢提高到0.2141。与图4a中AP粘结润滑涂层摩擦系数的变化(从0.1677提高到0.6723)相比,杂化涂层使摩擦系数的提高速率显著降低。温度为750 ℃时摩擦曲线缓慢上升,摩擦系数从初始值0.079提高到0.2093。与图4a中AP粘结涂层的摩擦系数变化(从0.09上升至0.7742)相比,杂化涂层显著降低了摩擦系数的上升速率。温度提高到850 ℃的摩擦曲线在50 s短暂上升后便下降且达到稳定,平均摩擦系数为0.1219,比杂化前下降了77%。温度为900 ℃时摩擦系数约为0.4,虽然与其它温度相比摩擦系数骤增,但是摩擦曲线平缓稳定,比杂化前平均摩擦系数下降了57.9%。如图8c所示,温度为700、750、800、850和900 ℃时试样的磨损率分别为1.8 × 10-3、2.1 × 10-3、1.35 × 10-3、1.11 × 10-3和3.1 × 10-3 mm3·N-1·m-1,与未杂化的AP粘结涂层相比,杂化后的涂层降低了石墨的氧化速度,延长了石墨的润滑时间,提高了涂层的润滑性能。
图8
图8
10%杂化AP作为粘结剂在不同温度下的摩擦曲线、平均摩擦系数和磨损率
Fig.8
Friction curves (a), average friction coefficient (b), and wear rate (c) of 10% hybrid AP as a binder at different temperatures
图9给出了10%杂化AP粘结涂层在不同温度的磨损轨道、三维轮廓图像和对应的二维高度轮廓曲线。温度为700、750、800、850和900 ℃的磨损轨道宽度分别为1257.18、1173.28、1067.88、800.67和1508.62 μm。与AP粘结涂层相比,其磨痕宽度和磨痕深度都降低了,850 ℃的宽度和深度分别降低了49.3%和63.8%。900 ℃的宽度和深度分别降低了31.5%和55.6%。并且与AP粘结涂层相比,杂化涂层的磨痕更光滑。这表明,杂化粘结剂在摩擦过程中能保护基体。其原因是,杂化粘结剂形成的联结结构具有优异的抗裂能力,使层状结构中的石墨免受破坏,并且外力使层间相对滑动而减磨润滑[29]。
图9
图9
在不同温度下10%杂化AP粘结涂层TA1盘磨痕表面的磨损轨道、三维轮廓图以及二维高度轮廓曲线
Fig.9
Wear trace surfaces of 10% hybrid AP bond-coated TA1 discs at different temperatures were analysed using wear traces (a-e), 3D contour plots (a1-e1) and 2D height profile curves (a2-e2)
如图10所示,温度为700、750、800和850 ℃时,Si3N4小球的磨损量很小,从三维轮廓图像(曲线X和Y是分别沿滑动方向和垂直于滑动方向测量的)可以看出,小球磨损区域上的高度甚至高于小球的最高点。这表明,在滑动程中磨损量较小,且在小球表面生成的转移膜具有润滑性能。从900 ℃的图像可见,与较低的温度相比表面磨损量增加,最高点已磨平。这表明,温度为900 ℃时润滑涂层的润滑性能大大降低。
图10
图10
在不同温度下10%杂化AP粘结涂层Si3N4小球的磨损轨道、三维轮廓图像和对应的二维高度轮廓曲线
Fig.10
Wear trace surfaces of 10% hybrid AP bond-coated Si3N4 ball at different temperatures were analysed using wear traces (a-e), 3D contour plots (a1-e1) and 2D height profile curves (a2-e2)
2.4 杂化AP粘结涂层的润滑机理
图11给出了10%杂化AP粘结涂层在850 ℃磨痕的SEM照片和EDS分析结果。可以看出,在磨痕表面只有较少的犁沟。EDS分析结果表明,Ti元素主要分布在犁沟的底层。这表明,在沟壑底部的钛合金基体表面生成了一层润滑膜。从图6可见,AP粘结涂层的磨痕表面出现了大量较宽且较深的犁沟,Ti元素分布在整个磨痕区域。这一结果表明,杂化粘结涂层在850 ℃仍能形成润滑膜而使其润滑性能提高。EDS分析结果表明C含量为34.87%,证明润滑膜中的石墨有重要的作用。对磨屑的分析结果表明,其主要成分是P、O、Al,而C和Si主要分布在磨痕,是润滑膜的主要成分。图11c表明,涂层表面磨屑的主要成分是P、O、Al等元素。这表明,在磨损过程中可能生成了Al(PO3)3颗粒,因此发生了磨粒磨损[30]。Si主要分布在磨粒下方的磨痕处,表面有机物PTMS杂化生成的杂化联结物可保护基体[30]。
图11
图11
在850 °C下10%杂化AP粘结涂层TA1盘磨痕处的SEM和EDS照片
Fig.11
SEM and EDS patterns of 10% hybrid AP bonded coatings at 850 °C for TA1 disc wear marks (a, b), abrasive chips (c)
对在850 ℃摩擦产生的磨痕表面进行了XRD及XPS分析。XRD图谱如图12所示,主要元素的窄谱峰如图13a~f所示。图13b给出了C 1s的光谱,其中284.8 eV对应C-C单键,286.0 eV对应C=C双键和C-C单键,288.5 eV处对应C=O基团。石墨中出现了氧化型基团,表明石墨在850 ℃高温摩擦磨损时部分氧化[31]。图13c给出的Al 2p光谱中75.6 eV处的峰对应Al-O化学键。O 1s光谱(图13a)中532.2 eV处的Al-O/C-O键和P 2p光谱(图13d)中134.5 eV处的P-O键,以及图12中在850 ℃摩擦磨痕的XRD谱证实,磨痕表面存在Al(PO3)3 [30]。在850 ℃摩擦时,涂层中未杂化的Al(H2PO4)3分解生成Al(PO3)3。图13e给出的Si 2p光谱中102.5 eV处的峰和图13a给出的O 1s光谱中532.7 eV处的峰归属于Si-O-Si键,Si 2p光谱中101.9 eV处的峰对应P-O-Si键,都证明在850 ℃摩擦未破坏P-O-Si。图13f给出的Ti光谱中未出现明显的峰形,是元素含量少所致,与在850 ℃摩擦磨痕的EDS图中Ti元素的含量一致。磨痕表面生成的润滑膜不仅延缓了石墨的氧化,还阻隔了氧与钛合金基体的接触。润滑膜降低了摩擦系数,使涂层的摩擦学性能提高。
图12
图12
10%杂化AP粘结涂层在850和900 ℃的XRD谱
Fig.12
XRD patterns of 10% hybridized AP bonded coating at 850 and 900 oC
图13
图13
10%杂化AP粘结涂层在850 °C的TA1盘磨痕处XPS谱
Fig.13
XPS mapping of 10% hybrid AP bonded coating at 850 °C at TA1 disc wear marks (a) O 1s, (b) C 1s, (c) Al 2p, (d) P 2p, (e) Si 2p, (f) Ti 2p
如图14所示,AP粘结剂的脆性使涂层出现了裂纹和孔洞。虽然Al(PO3)3包裹的层状石墨硬度较高,但是在涂层中的分散性较差。通过Si3N4小球对涂层施加载荷时,涂层中硬度较小的区域产生裂纹。裂纹在机械摩擦的作用下逐渐扩展而使氧进入涂层和基体使其氧化。杂化AP粘结涂层中PTMS与AP的有机-无机杂化引入的长链柔性有机硅形成大分子网状结构,从而提高了石墨基润滑涂层的韧性。涂层内大量的网状物可分散被Al(PO3)3包裹的层状石墨,形成致密的网络结构。这种网络结构能抵消涂层受到部分外力,从而使包裹的层状石墨难以从涂层中拉出。有机硅长链的引入也降低了涂层的固体表面张力和附着力,提高了石墨的抗氧化性能和涂层的高温润滑性能。同时,杂化AP产生的丝状物质填充了涂层内部的孔洞和裂缝,在摩擦过程中可修补表面磨损[30]。杂化AP粘结剂能提高涂层的韧性、致密性和承载能力,从而使涂层的耐磨性能提高。
图14
图14
有机-无机杂化AP粘结剂的润滑机理
Fig.14
Organic-inorganic hybrid AP binder lubrication mechanism diagram
3 结论
(1) PTMS与AP粘结剂反应生成P-O-Si键,使杂化AP粘结剂具有网状交联结构。杂化后的AP粘结涂层比纯AP粘结剂固化的粘结固体润滑涂层更致密,使石墨的耐氧化性能提高。
(2) AP粘结涂层在800 ℃的摩擦系数(0.22)和磨损率(2.07 × 10-3 mm3·N-1·m-1)最小,添加10%PTMS的杂化效果最佳。
(3) 杂化AP引入的柔性有机硅长链在包覆层中形成延展性良好的网状物质,使Al(PO3)3包覆层状石墨的抗拔出性能提高。网状物质填充涂层内部的孔洞和裂纹,延长或阻断了氧气的扩散路径,使涂层的耐磨性提高。
参考文献
High temperature self-lubricating Ti-Mo-Ag composites with exceptional high mechanical strength and wear resistance
[J].Titanium alloys are of keen interest as lightweight structural materials for aerospace and automotive industries. However, a longstanding problem for these materials is their poor tribological performances. Herein, we designed and fabricated a multiphase Ti-Mo-Ag composite (TMA) with heterogeneous triple-phase precipitation (TPP) structure by spark plasma sintering. A lamellar α-phase (α<sub>L</sub>) precipitates from the β-phase under furnace cooling conditions and maintains a Burgers orientation relationship (BOR) with β-matrix. An active eutectic transition also occurs in the titanium matrix, resulting in TiAg phase. The intersecting acicular TiAg and lamellar α<sub>L</sub> cut β grains into fine blocks and the primary equiaxed α phase also provides many interfaces with β phase, which together effectively impede dislocation movement and increase strength. Compared with other titanium composites, TMA with TPP microstructure gets an excellent combination of strength (yield strength 1205 MPa) and toughness (fracture strain 27%). Furthermore, the TPP structure endows TMA with strong cracking resistance, which aids in reducing abrasive debris at high temperatures during sliding and obtaining a low wear rate. Simultaneously, Ag particles distributed at grain boundaries will easily diffuse to the wear surface, in situ forming the necessary lubricating phase Ag<sub>2</sub>MoO<sub>4</sub> with Mo-rich matrix debris via oxidation. TMA possesses excellent tribological properties with especially low wear rate of 8.0 × 10<sup>-6</sup> mm<sup>3</sup>N<sup>-1</sup>m<sup>-1</sup> and friction coefficient (CoF) of merely 0.20 at 600 °C. Unlike other self-lubricating composites with high volume fraction of soft ceramic lubricants, which inevitably sacrifice their mechanical strength and ductility, the composite TMA possesses well-balanced strength, toughness and self-lubricating properties. It holds important implications to design other metal matrix self-lubricating composites (MMSCs) used for load-bearing moving parts.
Cryoforged nanotwinned titanium with ultrahigh strength and ductility
[J].[Figure: see text].
Alloy design for aircraft engines
[J].
A study on hot extrusion of Ti-6Al-4V using simulations and experiments
[J].
Tribological behavior of polyimide/epoxy resin-polytetrafluoroethylene bonded solid lubricant coatings filled with in situ-synthesized silver nanoparticles
[J].
Intelligent lubricating materials: A review
[J].
Graphene lubrication
[J].
On the lubrication of rough copper surfaces with graphene
[J].
Tribological properties of cubic, amorphous and hexagonal boron nitride films
[J].
Friction characteristics of impregnated and non-impregnated graphite against cemented carbide under water lubrication
[J].
Graphene: A new emerging lubricant
[J].
Global energy consumption due to friction in passenger cars
[J].
Few layer graphene to reduce wear and friction on sliding steel surfaces
[J].
Role of humidity in reducing sliding friction of multilayered graphene
[J].
Solid lubricants for applications at elevated temperatures
[J].
Study on the tribological behavior and the interaction between friction and oxidation of graphite reinforced by impregnated phosphate at high temperatures
[J].
Graphite-based solid lubricant for high-temperature lubrication
[J].
Tribological behavior of molybdenum disulfide bonded solid lubricating coatings cured with organosiloxane-modified phosphate binder
[J].
Preparation of an aluminium phosphate binder and its influence on the bonding strength of coating
[J].
Incorporation of boron nitride nanosheets in zinc phosphate coatings on mild steel to enhance corrosion resistance
[J].
Aluminum phosphate sealed alumina coating: characterization of microstructure
[J].
Anticorrosion mechanism of Al-modified phosphate ceramic coating in the high-temperature marine atmosphere
[J].
Synthesis of self-healing inhibitor releasing nanocapsules blended phenol novolac resin for high performance anticorrosion coating
[J].
Studies of the surface wettability and hydrothermal stability of methyl-modified silica films by FT-IR and Raman spectra
[J].
Thermal evolution of sol-gel-obtained phosphosilicate solids (SiPO)
[J]. J.
Shape-property synergistic control in closed die forging of large-diameter copper alloy valve body
[J].
Tribological properties of graphite-based solid lubricating coatings for Ti-6Al-4V alloy at 500~800 oC
[J].
Ti-6Al-4V合金表面石墨基粘结固体润滑涂层的高温摩擦学性能
[J].
Toward excellent tribological performance as oil-based lubricant additive: particular tribological behavior of fluorinated graphene
[J].
Preparation and performance characterization of modified phosphate adhesives
[J].
改性磷酸盐胶黏剂的制备及性能表征
[J].
Amino-functionalized Ti3C2T x loading ZIF-8 nanocontainer@ benzotriazole as multifunctional composite filler towards self-healing epoxy coating
[J].
/
| 〈 |
|
〉 |
