有机-无机杂化改性磷酸盐/石墨润滑涂层的高温摩擦学性能 |
| 张若云, 王伟, 宫鹏辉, 丁士杰, 刘显昊, 孙壮, 吕凡凡, 高原, 王快社 |
|
High-temperature Tribological Performance of Organic-inorganic Hybrid Modified Phosphate/Graphite Lubricating Coatings |
| ZHANG Ruoyun, WANG Wei, GONG Penghui, DING Shijie, LIU Xianhao, SUN Zhuang, LV Fanfan, GAO Yuan, WANG Kuaishe |
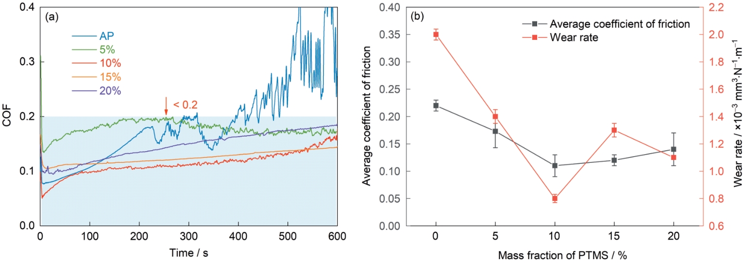
| 图7 不同含量PTMS的涂层在800 ℃下的摩擦曲线、平均摩擦系数和磨损率 |
| Fig.7 Friction curves (a), average friction coefficient and wear rate (b) of coatings with different PTMS contents at 800 °C |
|