等温淬火温度对贝/马复相42CrMo钢组织和力学性能的影响
1.
2.
3.
Effect of Isothermal Quenching Temperature on Microstructure and Mechanical Properties of Bainite/Martensite Multi-phase 42CrMo Steel
1.
2.
3.
通讯作者: 李星,xingli@imr.ac.cn,研究方向为特殊钢组织和性能调控
责任编辑: 黄青
收稿日期: 2025-01-16 修回日期: 2025-04-20
| 基金资助: |
|
Corresponding authors: LI Xing, Tel:
Received: 2025-01-16 Revised: 2025-04-20
| Fund supported: |
|
作者简介 About authors
江 腾,男,2000年生,硕士生
使用扫描电镜(SEM)、电子背散射衍射(EBSD)、X射线衍射(XRD)、热膨胀仪等手段表征贝/马复相42CrMo钢并测试其力学性能,研究了在低于Ms点的不同温度等温淬火对42CrMo钢贝/马复相的微观组织和力学性能的影响。结果表明,在250 ℃、280 ℃和310 ℃等温淬火后42CrMo钢的显微组织均由贝氏体和马氏体复相组成。随着等温淬火温度的提高贝氏体相变速率随之提高,其体积分数从18%提高到63%,冲击断口由脆性解理断裂向混合式断裂转变,冲击韧性显著提高。250#和280#的贝/马复相组织的尺寸较小,而310#的贝氏体和马氏体板条都发生粗化,抗拉强度降低。280#总晶界的长度分别为250#和310#的1.65倍和2.43倍。晶界密度的显著提高使280#的屈服强度最高。在280 ℃等温淬火保温1.5 h后,42CrMo钢的屈服强度和抗拉强度分别达到1399 MPa和1708 MPa,延伸率和冲击吸收功分别为12.3%和51.6 J。与310#和250#相比,280#的综合力学性能更优。
关键词:
The effect of isothermal quenching temperatures below Ms point on the microstructure and mechanical properties of bainite/martensite multi-phase 42CrMo steel was studied by scanning electron microscopy (SEM), electron backscatter diffraction (EBSD), X-ray diffraction (XRD), thermal expansion analyzer and mechanical property tester. The results show that the microstructure of 42CrMo steel is composed of bainite and martensite phase after isothermal quenching at 250 oC, 280 oC and 310 oC, correspondingly, the quenched 42CrMo steels were named as 250#, 280# and 310# steel respectively. With the increasing isothermal quenching temperature, the phase transformation rate of bainite is enhanced, and bainite volume fraction increases from 18% to 63%. The mode of impact fracture transforms from brittle cleavage fracture to mixed fracture, while the impact toughness is significantly improved. The bainite/martensite multi-phase microstructure of 250# and 280# steels is fine. However, bainite and martensite laths of 310# coarsens, and large-sized martensite block appears, so that its tensile strength decreases. The total grain boundary length of 280# is 1.65 times that of 250#, and 2.43 times that of 310# respectively. The significantly increased grain boundary density makes 280# possess the highest yield strength. After being isothermally hold at 280 oC for 1.5 h then quenched, the yield strength and tensile strength of 42CrMo steel reach 1399 MPa and 1708 MPa, respectively, and the elongation and impact absorption energy are 12.3% and 51.6 J, respectively. Compared with 310# and 250#, the 280# steel has better overall mechanical properties.
Keywords:
本文引用格式
江腾, 李星, 刘汉强, 崔珊, 刘宏亮, 刘军, 栾义坤, 姜周华.
JIANG Teng, LI Xing, LIU Hanqiang, CUI Shan, LIU Hongliang, LIU Jun, LUAN Yikun, JIANG Zhouhua.
42CrMo钢的机械性能、淬透性和可加工性优异,可用于制造高强度机械零部件,在汽车、航空、能源等领域得到了广泛的应用[1~3]。对42CrMo钢进行常规淬火[4~6],可使其具有较高的强度,但是塑性和韧性较差,严重影响其在海洋、风力发电和矿山等特定工况下的应用[7,8]。贝氏体/马氏体多相钢兼具高强度和良好韧性,可用于多个领域[9~11]。在42CrMo钢的热处理过程中,贝氏体相变影响其强度、韧性和塑性等力学性能[12]。Ji等[13]控制Ms点以上的等温温度和时间,使42CrMo钢具有不同比例的贝氏体和马氏体的复相组织。在350 ℃等温30 min实现了强度-塑性的最佳匹配。在等温淬火过程中,淬火温度对贝氏体的形核和长大有决定性的影响。研究表明,等温淬火温度的变化不仅显著影响贝氏体的形态、尺寸和分布,还决定了42CrMo钢的最终力学性能[14]。文超等[15]证实,与在Ms点以上的温度等温淬火相比,在Ms点以下的温度等温淬火时优先产生的淬火马氏体促进随后发生的贝氏体相变,能细化贝氏体板条并提高力学性能。
在Ms点以下的温度等温淬火时相变过程较为复杂,马氏体和贝氏体的相转变还有待进一步研究。同时,贝/马板条尺寸大小和晶界密度可提高力学性能,需要深入定量分析。鉴于此,本文研究在Ms点以下的不同温度等温淬火时淬火温度对42CrMo高强钢中贝/马复相组织转变特征和力学性能的影响并揭示其机理。
1 实验方法
表1 42CrMo钢的化学成分
Table 1
| Steel | C | Si | Mn | Cr | Mo | La |
|---|---|---|---|---|---|---|
| 42CrMo | 0.40 | 0.27 | 0.76 | 1.10 | 0.21 | 0.011 |
图1
基于Ms点和Mf点温度的实测结果,进行42CrMo钢在Ms点以下的等温淬火实验。先将样品在860 ℃保温1 h使其完全奥氏体化,随后迅速转移至盐浴炉中分别在250 ℃、280 ℃和310 ℃保温1.5 h,最后将其油冷至室温。等温淬火的流程如图2所示。将在不同温度等温淬火的样品分别命名为250#、280#和310#,其中的250、280和310为等温淬火温度。
图2
将等温淬火后的样品用砂纸打磨后用金刚石抛光膏抛光,使其表面无划痕。用4%的硝酸乙醇将其腐蚀后用TESCAN CLARA场发射扫描电子显微镜(SEM)观察样品的微观组织。EBSD测试用样品制备:将机械抛光后的样品用二氧化硅溶液振动抛光,工作电压为20 kV。用EBSD技术测试样品,使用AZtecCrystal软件处理数据。测试样品的XRD谱,扫描速度为1(°)/min,衍射角范围为40°~102°。测试在不同温度等温淬火的42CrMo钢样品的室温拉伸和冲击性能。使用Zwick Z050拉伸实验机测试样品的拉伸性能,样品的尺寸为M10-Φ5 mm × 60 mm。用SANS-ZBC2452-C冲击实验机进行冲击实验,标准U型缺口样品的尺寸为10 mm× 10 mm × 55 mm。用SEM观测拉伸和冲击断口的形貌。用线切割沿着冲击断口纵截面切开,用EBSD分析断口附近二次裂纹处的微观结构特征。
2 实验结果和讨论
2.1 等温淬火温度对实验钢微观组织的影响
图3
图3
不同温度等温淬火后试验钢的微观组织
Fig.3
Microstructure of tested steel after isothermal quenching at different temperature (a) 250#; (b) 280#; (c) 310#
图4
图4
不同温度等温淬火后试验钢的EBSD图像
Fig.4
EBSD diagram of tested steel after isothermal quenching at different temperature (a) 250#; (b) 280#; (c) 310#; (d) boundary length
表2 不同温度等温淬火后样品的板条尺寸
Table 2
| No. | Bainite width /μm | Bainite length / μm | Martensite width / μm | Martensite length /μm |
|---|---|---|---|---|
| 250# | 1.05 | 10.55 | 1.57 | 11.28 |
| 280# | 1.12 | 10.65 | 1.64 | 12.31 |
| 310# | 1.55 | 11.27 | 2.26 | 14.22 |
图4d给出了EBSD统计的大、小角度晶界的长度。结果表明,280#的小角度晶界(2°~15°)长度和大角度晶界(> 15°)长度都明显比250#和310#的大。在41.5 μm × 27 μm的观测区域,280#的晶界总长度达到3288.2 μm,分别是250#和310#晶界总长度的1.65倍和2.43倍。由于310#贝氏体和马氏体组织均粗化严重,其晶界总长度最小;同时,250#贝氏体的含量最低,而贝氏体板条的尺寸比马氏体板条的小,因此280#的晶界总长度最大。
图5
图5
不同温度等温淬火后试验钢的XRD谱和相体积分数
Fig.5
XRD pattern (a) and phase volume fraction (b) of tested steel after isothermal quenching at different temperature
2.2 等温淬火温度对贝氏体相变的影响
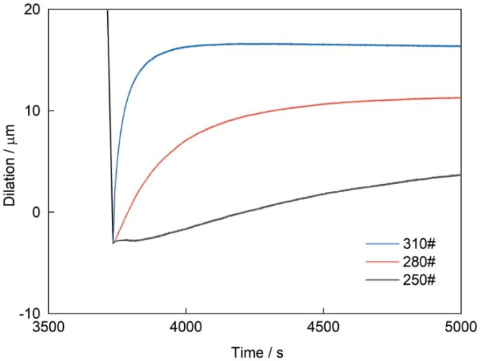
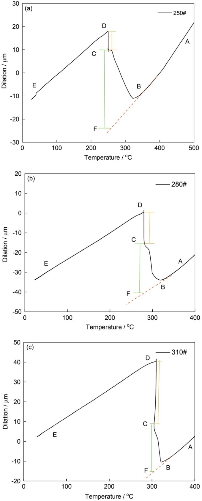
图6给出了在不同温度等温淬火后42CrMo钢中的马氏体和贝氏体相变曲线。可以看出,在温度迅速降低到Ms点前曲线的斜率不变,表明钢中没有发生相变(AB段)。温度到达Ms点后(BC段)曲线的斜率变化,表明发生了马氏体相变,马氏体转变量可由曲线截距(CF)表征。马氏体的生长属于切变机制而无扩散,形核速率较高。相变与过冷度密切相关[18]。当温度继续降低到等温温度并保温1.5 h (CD段),过冷度不再提高,马氏体的体积分数停止提高,表明发生了贝氏体相变。贝氏体的生成与马氏体不同,贝氏体板条的生长依赖碳的扩散[19]。温度降低到等温温度前,因冷却较快碳原子没有足够时间扩散,贝氏体相变无法进行。而在等温阶段,碳原子能充分扩散使贝氏体相变发生。CD段的膨胀量反映了贝氏体相变的转变量。在温度进一步冷却到室温的过程中(DE段),膨胀曲线的斜率趋于平稳,表明钢中所有奥氏体已(在BD段)完全转变为马氏体和贝氏体,DE段不再有相变发生。用膨胀法[20]计算出相比例,250#、280#和310#的贝氏体含量分别为23%、42%和60%,与图5b中的实验统计数据基本相同。图7给出了在不同温度等温淬火样品的膨胀量-时间曲线。可以看出,所有热膨胀曲线达到等温温度时均无孕育期,相变迅速发生。同时,随着等温淬火温度的提高曲线的斜率(即贝氏体相变速率)增大,完成贝氏体相变所需的时间缩短,表明等温淬火温度主要通过影响过冷度和相变速率改变微观组织的形貌和相比例。
图6
图6
不同温度等温淬火后试验钢的热膨胀曲线
Fig.6
Thermal expansion curves of tested steel after isothermal quenching at different temperature (a) 250#; (b) 280 #; (c) 310 #
图7
图7
不同温度等温淬火后试验钢的膨胀量-时间曲线
Fig.7
Expansion-time curves of tested steel after isothermal quenching at different temperature
2.3 等温淬火温度对力学性能的影响
图8给出了在不同温度等温淬火后的应力-应变曲线和冲击吸收功。所有力学性能都列于表3。从图8可见:首先,应力-应变曲线未出现明显的屈服平台。其次,随着等温淬火温度的提高抗拉强度逐渐降低,延伸率和冲击吸收功逐渐增大。随着等温淬火温度从250 ℃提高到280 ℃,抗拉强度从1770 MPa小幅降至1708 MPa,延伸率从11.6%升至12.3%,冲击吸收功从41.0 J升至51.6 J。但是,280#的屈服强度不降反升。其原因是,随着贝氏体含量的提高晶界密度随之显著提高(图4d)。晶界数量的增加使屈服强度提高[21],抵消了马氏体体积分数降低引起的屈服强度的降低。随着等温淬火温度继续提高到310 ℃,抗拉强度进一步降至1550 MPa,延伸率和冲击吸收功分别增至13.0%和55.6 J。与传统42CrMo钢淬回火工艺(860 ℃保温1.5 h后淬火+580 ℃保温2 h回火)不同[22],本文对280#样品在低于Ms点的温度等温淬火。280#样品的延伸率基本不变,其抗拉强度和屈服强度分别提高了50%和30%以上。
图8
图8
不同温度等温淬火后试验钢的工程应力-应变曲线和U型缺口冲击吸收功
Fig.8
Engineering stress-strain curves (a) and U-shaped notch impact absorption energy (b) of tested steel after isothermal quenching at different temperature
表3 不同温度等温淬火后试验钢的力学性能
Table 3
| No. | Yield strength / MPa | Ultimate tensile strength / MPa | Elongation / % | Impact energy / J |
|---|---|---|---|---|
| 250# | 1352 ± 21.7 | 1770 ± 15.2 | 11.6 ± 0.3 | 41.0 ± 1.6 |
| 280# | 1399 ± 15.1 | 1708 ± 21.2 | 12.3 ± 0.3 | 51.6 ± 2.0 |
| 310# | 1266 ± 11.4 | 1550 ± 31.4 | 13.0 ± 0.2 | 55.6 ± 2.5 |
图9给出了在不同温度等温淬火后拉伸断口的形貌。可以看出,所有样品的断裂都是韧性断裂。断口分为三个区域:纤维区、放射区和剪切唇。其中,中心的纤维区材料的塑性变形最大。随着等温淬火温度的提高纤维区的面积增加,表明材料断裂前吸收更多能量而表现出更大的塑性。图10给出了在不同温度等温淬火后冲击断口的形貌。结果表明,在250 ℃等温淬火后冲击断口表现出典型的河流解理断裂特征,裂纹在高应力集中条件下以穿晶方式扩展,呈脆性断裂模式。随着等温淬火温度提高到280 ℃和310 ℃,冲击断口的解理平面逐渐减少并出现大量细小的韧窝,表明材料的断裂模式从脆性解理向混合式断裂转变。韧窝的产生说明冲击断裂过程中局部变形增大而吸收更多的能量,有利于提高冲击韧性。
图9
图9
拉伸断口的宏观形貌
Fig.9
Macroscopic morphology of tensile fracture (a) 250#; (b) 280#; (c) 310#
图10
图11
图11
冲击断口处二次裂纹的EBSD图像
Fig.11
EBSD diagram of secondary cracks at the impact fracture (a) 250#; (b) 280#; (c) 310#
以上结果表明,随着等温淬火温度的提高,组织的差异不仅表现在贝氏体体积分数的变化,还表现在马氏体和贝氏体板条形貌和尺寸的变化。一方面,随着等温淬火温度的提高硬相马氏体减少而贝氏体增加,使抗拉强度降低而延伸率和冲击韧性提高。另一方面,在280 ℃和250 ℃的较低温度等温淬火,生成的贝/马复相组织尺寸细小;而在310 ℃等温淬火,较高的温度使贝氏体和马氏体粗大,从而使材料的抗拉强度降低[23]。虽然310#贝氏体的含量最高而改善了材料塑性和韧性,但是微观组织的粗化使其塑韧性的提高极为有限,且其屈服强度和抗拉强度都显著降低。与280#相比,310#的延伸率和冲击韧性分别提高0.7%和4 J,但是屈服强度和抗拉强度分别降低133 MPa和158 MPa。
综上所述,280#具有细小均匀的微观组织和良好的强韧性能,其贝氏体的体积分数达到38%,贝氏体和马氏体板条的宽度分别为1.12 μm和1.64 μm,总晶界长度分别是250#和310#的1.65倍和2.43倍。显著增加的晶界密度使280#的屈服强度最高。因此,280#在保持良好冲击韧性的同时仍具有较高的屈服强度和抗拉强度。与310#和250#相比,280#的综合力学性能更优。
3 结论
(1) 等温淬火后42CrMo钢的显微组织由贝氏体和马氏体复相组成。随着等温淬火温度的提高贝氏体体积分数随之提高。
(2) 贝/马复相42CrMo钢的力学性能与钢中微观组织形貌和贝氏体体积分数密切相关,随着等温淬火温度的提高硬相马氏体减少,抗拉强度降低,延伸率和冲击吸收功提高,冲击断口由脆性解理断裂向混合式断裂转变。
参考文献
Friction welding of two carbon low alloy steels 42CrMo and 36Mn2V: effects of forging pressure and post-weld heat treatment on microstructure and mechanical properties
[J].
Simulation study of turning-ultrasonic rolling compound processing for 42CrMo steel
[J].
Improvement of heat treatment and hot-dip galvanizing process for 42CrMo steel multisection draw-bar
[J].
42CrMo钢多节拉杆热处理及热浸镀锌工艺改进
[J].
Study on the structure of grind-hardened layer and parameter of hardening depth of 42CrMo steel
[J].
Research on the properties of grind-hardening and abrasion of 42CrMo steel in agricultural diesel engine crankshaft
[J].
Impact of original micro-structure on grind-hardened layer of 42CrMo steel in grind-hardening
[J].
Novel laser cladding FeCoNiCrNb0.5Mo x high-entropy alloy coatings with excellent corrosion resistance
[J].
Study on theory and finite element simulation of ultrasonic rolling extrusion process
[J].
Microstructural evolution and mechanical performance of friction stir spot welded ultrafine carbide-free bainitic steel: Role of dwell time
[J].
Neural network modelling of the Nb effect on mechanical properties of the ferritic bainitic dual-phase steel
[J].
Microstructural design and mechanical enhancement of δ-TRIP steel through Mo micro-alloying and isothermal bainitic transformation
[J].
Effects of quenching temperature and partitioning temperature on microstructure and properties of Q&P980 steel produced by CSP process
[J].
淬火温度和配分温度对CSP生产的Q&P980钢组织及性能的影响
[J].
Effect of martensitic variant selection on the crystallographic features of bainite/martensite multiphase structure of 42CrMo steel
[J].
The mechanical properties and microstructure of 1,000 MPa grade Cu-Ni TRIP steel at different bainitic isothermal temperatures
[J].
Isothermal quenching and tempering of 42CrMo steel
[J].
42CrMo钢的等温淬火和回火
[J].
On the crystallographic characteristics of nanobainitic steel
[J].
Bainite nucleation mechanism and mechanical properties in low carbon bainite deposited metals with different nickel additions
[J].
The nucleation mechanism of martensite and its interaction with dislocation dipoles in dual-phase high-entropy alloys
[J].
Effect of Si on bainitic transformation kinetics in steels explained by carbon partitioning, carbide formation, dislocation densities, and thermodynamic conditions
[J].
Effect of integrated austempering and Q&P treatment on the transformation kinetics, microstructure and mechanical properties of a medium-carbon steel
[J].
Intrinsic characteristics of grain boundary elimination induced by plastic deformation in front of intergranular microcracks in bcc iron
[J].
Effect of quenching and tempering temperature on microstructure and mechanical properties of a new medium carbon alloy steel 42CrMo4M
[J].
淬火及回火温度对新型中碳合金钢42CrMo4M组织性能的影响
[J].
Improving the microstructure and impact toughness of bainite/martensite bearing steel by rare earth treatment
[J].
/
| 〈 |
|
〉 |
