等温淬火温度对贝/马复相42CrMo钢组织和力学性能的影响 |
| 江腾, 李星, 刘汉强, 崔珊, 刘宏亮, 刘军, 栾义坤, 姜周华 |
|
Effect of Isothermal Quenching Temperature on Microstructure and Mechanical Properties of Bainite/Martensite Multi-phase 42CrMo Steel |
| JIANG Teng, LI Xing, LIU Hanqiang, CUI Shan, LIU Hongliang, LIU Jun, LUAN Yikun, JIANG Zhouhua |
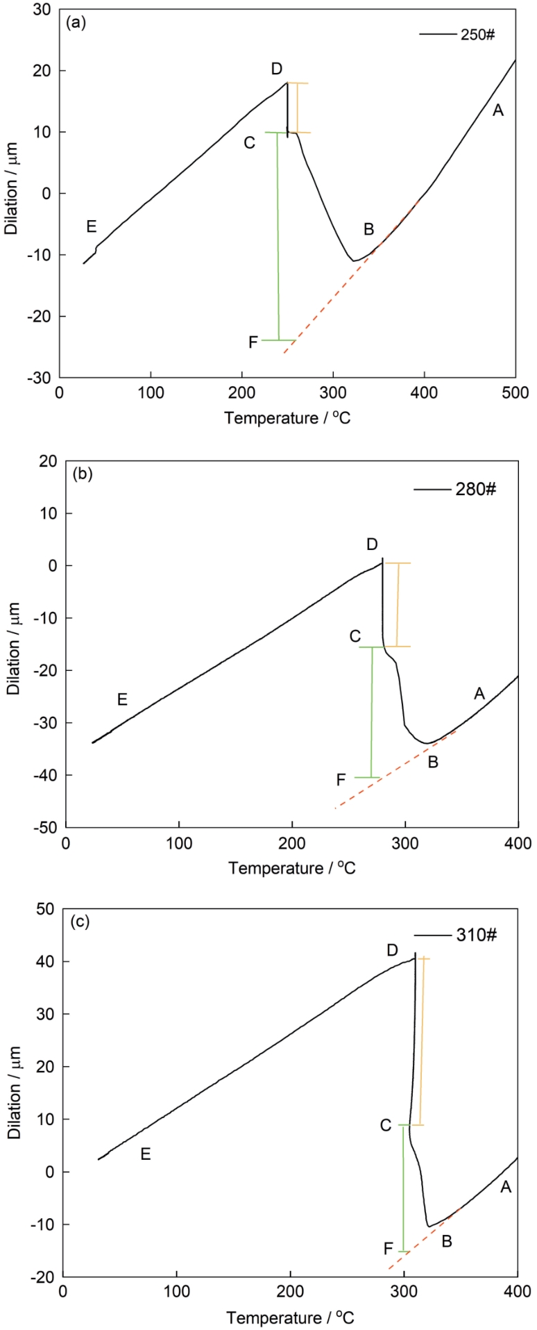
| 图6 不同温度等温淬火后试验钢的热膨胀曲线 |
| Fig.6 Thermal expansion curves of tested steel after isothermal quenching at different temperature (a) 250#; (b) 280 #; (c) 310 # |
|