材料研究学报  2017 , 31 (8): 576-584 https://doi.org/10.11901/1005.3093.2016.728

研究论文

基于位错密度理论的超高强双相钢DP1000热变形本构模型

徐梅1, 米振莉1, 李辉2, 唐荻3, 江海涛1

1 北京科技大学 工程技术研究院 北京 100083
2 烟台南山学院工学院 烟台 265700
3 北京科技大学 钢铁共性技术协同创新中心 北京 100083

Constitutive Model Based on Dislocation Density Theory for Hot Deformation Behavior of Ultra-high Strength Dual Phase Steel DP1000

XU Mei1, MI Zhenli1, LI Hui2, TANG Di3, JIANG Haitao1

1 Institute of Engineering Technology, University of Science and Technology Beijing, Beijing 100083, China
2 College of Engineering,Yantai Nanshan University, Yantai 265700, China
3 Collaborative Innovation Center of Steel Technology, University of Science and Technology Beijing, Beijing 100083, China

中图分类号:  TG111

文章编号:  1005-3093(2017)08-0576-09

通讯作者:  通讯作者 米振莉,教授, mi.zhenli@163.com,研究方向为先进汽车用钢开发和钢材深加工

收稿日期: 2016-12-11

网络出版日期:  2017-08-25

版权声明:  2017 《材料研究学报》编辑部 《材料研究学报》编辑部

基金资助:  国家自然科学基金(51371032)

作者简介:

作者简介 徐 梅,女,1983年生,博士生

展开

摘要

对超高强双相钢DP1000进行单道次热模拟压缩实验,研究了其在950~1150℃和0.05~10 s-1条件下的热变形行为,分析了变形温度和变形速率对流变应力的影响,建立了基于位错密度理论的热力学本构模型,确定了可表征微观硬化和软化机制的材料特征参数,量化了加工硬化、动态回复和动态再结晶对宏观力学行为的影响。结果表明:超高强双相钢DP1000的热变形应变速率ε˙≤0.05 s-1时以动态再结晶软化机制为主,应变速率ε˙>0.1 s-1时以动态回复软化机制为主,应变速率0.05 s-1<ε˙≤0.1 s-1时由这两种软化机制共同作用。这个本构模型的预测值与实验值具有较高的一致性,能准确预测超高强双相钢DP1000在高温变形条件下的流变应力。

关键词: 金属材料 ; 位错密度 ; 本构关系 ; 超高强双相钢 ; 动态再结晶 ; 临界应变

Abstract

The compression deformation behavior of ultra-high strength dual phase steel (UHS-DP1000) was investigated by strain rates from 0.05 s-1 to 10 s-1 at temperatures from 950°C to 1150°C. The influence of deformation temperature and strain rate on the hot flow curves was analyzed. Then a constitutive model for hot deformation of the steel UHS-DP1000 was established based on the dislocation density theory. The relevant softening mechanism of the steel was revealed in terms of the following two aspects that by low strain rates (lower than 0.05 s-1) at high temperatures the dynamic recrystallization (DRX) softening mechanism was more evident, while by strain rates higher than 0.1 s-1 the dynamic recovery (DRV) softening mechanism was dominant. The two softening mechanisms worked simultaneously by strain rates in a range between 0.05 s-1 and 0.1 s-1. The stress-strain values predicted by the present model for the steel UHS-DP1000 are well agreed with those acquired from experiments, which further confirmed that the established constitutive model could give an accurate estimate for the flow stress of high temperature deformation of the steel UHS-DP1000.

Keywords: metallic materials ; dislocation density ; constitutive relationship ; ultra-high strength dual phase steel (UHS-DP1000) ; dynamic recrystallization ; critical strain

0

PDF (979KB) 元数据 多维度评价 相关文章 收藏文章

本文引用格式 导出 EndNote Ris Bibtex

徐梅, 米振莉, 李辉, 唐荻, 江海涛. 基于位错密度理论的超高强双相钢DP1000热变形本构模型[J]. 材料研究学报, 2017, 31(8): 576-584 https://doi.org/10.11901/1005.3093.2016.728

XU Mei, MI Zhenli, LI Hui, TANG Di, JIANG Haitao. Constitutive Model Based on Dislocation Density Theory for Hot Deformation Behavior of Ultra-high Strength Dual Phase Steel DP1000[J]. Chinese Journal of Material Research, 2017, 31(8): 576-584 https://doi.org/10.11901/1005.3093.2016.728

双相钢(Dual Phase Steel,DP钢)是一种重要的低合金高强度钢(High Strength Low Alloy Steel),在室温下的组织由铁素体(F)和马氏体(M)构成,具有高的加工硬化率、低的屈强比及连续屈服等特点。双相钢适于制造多种汽车部件,尤其可减轻汽车的重量并兼顾汽车的安全性与节能性,是一种受到广泛关注的汽车用钢[1]

目前提出的双相钢的变形抗力模型,主要针对800 MPa级以下的中低强度的双相钢。余万华等[2]和陈靖等[3]研究了热轧DP600双相钢的变形抗力模型,得到了精确度较高的周纪华-管克智变形抗力模型。庞启航等[4]根据多相材料中间混合法则和Swift方程建立了双相钢DP590和DP780的微观应力-应变模型,描述了材料的变形行为。对高强或超高强双相钢的组织和性能虽已进行了大量研究[5-10],但是关于变形抗力模型方面的研究结果较少。模型的匮乏导致实际生产过程中对轧制力预报精度降低,引发厚度超差或异常浪形。因此,有必要建立800 MPa级以上的高强双相钢的变形抗力模型。变形抗力模型的选择,与材料的高温变形特点密切相关。在高温低应变速率条件下,高强或超高强双相钢有明显的动态再结晶现象[11-15],流变应力曲线呈现出加工硬化-动态回复和动态再结晶两个阶段。因此,常见的Arrhenius型方程[13-17]、周纪华和管克智等[18-20]的模型不能完整描述应力-应变曲线的复杂变化,也不能体现微观组织演变对宏观力学行为的影响。

本文对超高强双相钢DP1000(Ultra High Strength DP1000,简称UHS-DP1000)进行单道次热模拟压缩实验,建立基于位错密度理论的高温热变形本构模型,使用对θ-σ曲线和lnθ-ε曲线分别进行三次多项式拟合求拐点的方法准确计算临界应变,将其作为加工硬化-动态回复和动态再结晶两个演变阶段的分水岭,并讨论不同阶段、不同软化机制下材料的高温热力学行为,建立基于位错密度理论的热力学本构模型。

1 实验方法

实验用超高强双相钢UHS-DP1000用50 kg真空感应熔炼炉熔炼,其化学成分(质量分数,%)为:C 0.16,Si 0.6,Mn 2.02,Cr 0.45,Al 0.066,P 0.009,S 0.007,Fe余量。将铸锭在1200℃锻造成尺寸为40 mm×80 mm×90 mm的板坯,用线切割从锻后的坯料上切取直径10 mm长15 mm的小圆柱,作为热模拟试样。

在Gleeble 3500多功能热模拟试验机上进行单道次压缩试验。以10℃/s的速率将试样加热到1200℃,保温180 s后以5℃/s的速率冷却到变形温度,保温30 s以使内部温度及微观组织均匀化,然后按照设定的试验方案进行压缩变形。变形温度分别选取950,1000,1050,1100和1150℃;应变速率为0.05,0.1,1,5和10 s-1;变形量50.34%(相当于真应变0.7)。

2 结果和讨论

2.1 热变形软化机制分析

图1给出了UHS-DP1000在不同变形条件下的流变应力曲线。由图1可见,在变形的起始阶段应力均随着应变量的增加迅速提高到某一峰值,流变应力曲线呈现出明显的加工硬化特征。在热变形过程中金属的晶格畸变,产生了大量的位错增殖和缠结,加工硬化远远大于原子扩散和位错湮灭引起的软化。在随后的变形过程中,当应变速率为0.05 s-1时,随着应变量的继续增加位错密度不断增加,再结晶的驱动力不断增大,动态再结晶软化速率加快,应力-应变曲线表现为真应力的增加速度(加工硬化率)随应变的增加不断减小。当流变应力达到峰值应力(对应峰值应变εp)后,继续变形时动态再结晶得以继续发展,软化作用占主导地位,流变应力曲线呈下降趋势,直至再结晶软化和加工硬化处于动态平衡,流变应力趋于稳定值[21]。这种流变应力曲线的变化特点说明,在变形过程中发生了动态再结晶(图1a)。在应变速率相同的条件下,随着变形温度的升高UHS-DP1000的峰值应力σp和峰值应变εp均逐渐降低。其原因是,随着温度的升高原子发生扩散和位错发生攀移的驱动力增大,动态软化速率加快,峰值应力降低。结合图1f,在变形温度相同的条件下,变形速率越小,在相同的位错增殖积累条件下有更多的时间进行动态回复,流变应力曲线的峰值应力越低,对应的峰值应变越小,越容易发生动态再结晶[22]。在较低温度(T=950~1050℃)及较高应变速率( ε˙>1 s-1)条件下变形时,随着应变量的增加位错密度增加,位错之间相互作用形成位错塞积、割阶和位错林等,阻碍了位错运动。由于变形温度低和速率较高,动态再结晶受到抑制,应力达到峰值后即进入了稳定状态,流变应力曲线呈动态回复型(图1c,d,e)。

图1   超高强双相钢DP1000不同变形条件下的流变应力曲线

Fig.1   Flow stress curves of UHS-DP1000 deformed at different temperatures and strain rates (εc-critical strain; εp-peak strain) of ε˙=0.05 s-1 (a), ε˙=0.1 s-1 (b), ε˙=1 s-1 (c), ε˙=5 s-1 (d), ε˙=10 s-1 (e) and at ε˙=0.05~0.1 s-1 and T=1050~1150℃ (f)

根据上述分析,在建立UHS-DP1000试验钢高温热力学本构关系模型时,应对两种软化机制(即加工硬化-动态回复型和动态再结晶型)分别进行研究。按照不同的工况条件,UHS-DP1000软化机制的分类如表1所示。

表1   UHS-DP1000在不同变形条件下的软化机制

Table 1   Softening mechanism of UHS-DP1000 deformed at different temperatures and strain rates

Deformation temperature/℃Srain rate/s-1Softening mechanism
1050~1150≤0.1work hardening (WH)-dynamic recovery (DRV)-dynamic recrystallization (DRX)
950~1050≤0.05
1050~1150>0.1work hardening (WH)-dynamic recovery (DRV)
950~1050>0.05

新窗口打开

2.2 高温流变应力本构模型

不同的本构模型,对应不同的高温变形软化机制。对于以加工硬化-动态回复软化机制为主的高温变形过程,可基于位错密度模型来表征;对于以动态再结晶软化机制为主的高温变形过程,可将其划分为加工硬化-动态回复与动态再结晶两个阶段,并以临界应变作为分水岭。两个阶段,由于软化机制不同需分别建立不同的流变应力本构模型,还需准确计算出其临界应变值。

2.2.1 加工硬化-动态回复型本构模型 在金属热加工变形过程中,总是存在加工硬化和动态回复软化两个过程。在加工硬化过程中位错密度不断增大,动态回复软化过程位错密度不断减小,位错密度的变化取决于这两个过程竞争的结果。根据文献,在“加工硬化+动态回复”过程中位错密度变化满足[23]

=h-(1)

式中 ρ为初始位错密度; 为随着应变量的增加位错密度的增加率;h代表加工硬化对位错密度的增殖作用;r为动态回复系数,表征动态软化对位错密度的湮灭;ε为应变。由(1)推导可得 ρ=ρ0e-+hr1-e-(2)

式中 ρ0为初始位错密度。

金属材料发生高温塑性变形时,流变应力和位错密度的关系为[24-26]

σ=αμbρ12(3)

σ0=αμbρ012(4)

式中σ为流变应力;σ0为屈服应力; α为材料常数;μ为剪切模量;b为Burgers矢量。

将式(3)和式(4)代入式(2),可得

σ=σ02e-+αμb2hr1-e-12(5)

ε趋于无穷时σ趋于σsat(动态回复后的稳态应力),于是有

σsat=αμbhr(6)

将式(6)代入式(5),可得

σ=σsat2-σsat2-σ02exp-12(7)

2.2.2 动态再结晶型本构模型 随着温度的升高或者应变速率的降低,动态再结晶现象越来越明显。若发生动态再结晶后存在稳态阶段,则流变应力模型为[27]

σ=F1expaε-εp2+F2ε>εc(8)

式中εp为峰值应力σp对应的峰值应变;εc为动态再结晶临界应力σc对应的临界应变;当ε=εp时,F1=σp-F2;F2与稳态时的应力值有关;a为热变形材料常数。

2.2.3 动态再结晶的临界应变 近年来,许多学者提出了各种用于判断动态再结晶开始的临界条件的数学模型。根据动态再结晶与加工硬化-动态回复过程的不同,Ryan[28]和Mecking[29]将加工硬化率θ-σ ( θ=)曲线上θσ开始偏离线性关系时的应力作为临界应力,对应的应变即为临界应变。Poliak和Jonas[30]认为高温变形是一个不可逆过程,将 -θσ-σ曲线上 -θσmin对应的真应力确定为动态再结晶发生时的临界应力,最后根据流变应力曲线确定临界应变,即P-J法。后来Najafizadeh和Jonas[31]简化了P-J法,用三阶多项式拟合加工硬化的数据确定了动态再结晶发生时的临界应力与临界应变。本文采用与Najafizadeh-Jonas相似的方法对UHS-DP1000流变应力曲线进行处理,确定其动态再结晶的临界应变。

基于UHS-DP1000热压缩实验得到的真应力-真应变曲线,将其按六次多项式进行拟合:

σ=P1ε6+P2ε5+P3ε4+P4ε3+P5ε2+P6ε+P7(9)

式中P1~P7均为常数。

对式(9)求导,即

θ=(10)

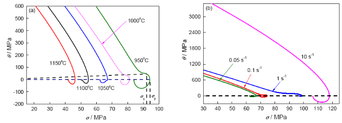
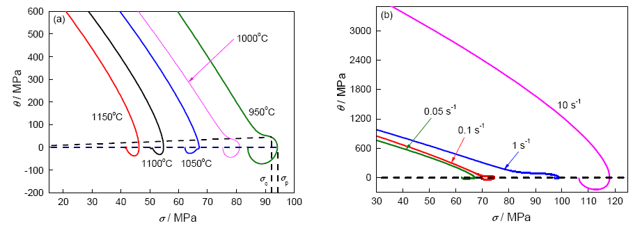
由式(9)和式(10)求得UHS-DP1000在变形速率0.05 s-1、不同变形温度下和变形温度1050℃、不同变形速率下的θ-σ关系曲线图,如图2所示。

图2   UHS-DP1000在不同变形条件下应力与加工硬化率的关系

Fig.2   Relationship between stress and working hardening of UHS-DP1000 deformed at different temperatures and strain rates of ε˙=0.05 s-1 different temperatures (a), 1050℃ and different strain rates (b)

图2表明,加工硬化率随着应变速率的减小及温度和流变应力的增加均呈减小趋势,因为加工硬化率是位错的增殖与湮灭相互竞争的结果[32]。随着应力继续增大加工硬化率减小的速度减慢,直至达到临界应力σc,位错密度所积蓄的能量达到最大,加工硬化率曲线出现拐点,开始发生动态再结晶。拐点处 -达到最小值,但是θ≠0。随后加工硬化率再次快速减小,当加工硬化率θ=0时即达到峰值应力σp。由图2a还可以看出,随着变形温度的降低峰值应力σp增大。由图2b可知,随着应变速率的增大峰值应力增大。只发生动态回复效应的曲线( ε˙=10 s-1),明显不同于动态回复与再结晶共同作用的曲线( ε˙=0.05 s-1)。

为了精确确定动态再结晶临界条件,需选择合适的临界应力分析数据。以变形温度950℃、变形速率0.05 s-1的分析过程为例,采用与文献[32]相似的方法确定UHS-DP1000动态再结晶临界条件。分别对θ-σ曲线和lnθ-ε曲线进行三次多项式拟合,得到拟合方程

θ=P8σ3+P9σ2+P10σ+P11(11)

lnθ=P12ε3+P13ε2+P14ε+P15(12)

根据J. J. Jonas,动态再结晶开始时的临界处存在一个拐点,即

2θ2σ=0(13)

将式(11)代入式(12),可得

2θ2σ=6P8σc+2P9=0(14)

由式(13)可得

σc=-P93P8(15)

同理,可得

εc=-P133P12(16)

上述对再结晶临界应变εc的求解,并没有直接根据流变应力曲线由求得的σc对应得到。其原因是,σ-ε曲线是通过六次多项式拟合而得,不像实验曲线离散点那样一一对应,σc较小的偏差用σ-ε曲线对应的εc偏差也有可能很大。

图3可知,应变速率0.05 s-1、温度950℃变形时,UHS-DP1000的θ-σ曲线和lnθ-ε曲线及其三次多项式拟合计算值高度吻合。因此,用三次多项式拟合的结果完全可以描述加工硬化率与应力、应变的关系。结合式(15)和式(16),根据流变应力曲线可以得到不同工况下的临界应力和临界应变,结果及其拟合曲线如图4所示。

图3   在950℃、0.05 s-1变形条件下加工硬化率与应力和应变及其三次多项式拟合关系图

Fig.3   θ-σ curve (a) and lnθ-ε curve (b) at 950℃ and 0.05 s-1 with their corresponding third order polynomial for UHS-DP1000

图4   基于θ-σ曲线和lnθ-ε曲线三次多项式拟合出的峰值应力与临界应力、峰值应变与临界应变的关系

Fig.4   Relationship of σp-σc (a) and εp-εc (b) based on third order polynomial of θ-σ curve and lnθ-ε curve

图4表明,UHS-DP1000动态再结晶的σcσpεcεp存在定量关系。当εp较小时εc/εp位于直线的下方,即变形温度较高、应变速率较小时动态再结晶相对来说比较容易发生;当εp较大时εc/εp基本上位于直线的上方,即变形温度较低、应变速率较大时动态再结晶相对滞后。

2.2.4 本构关系模型 根据得到的UHS-DP1000单道次压缩实验数据进行计算,可以得到各工况下模型中的参数,如表2所示。

表2   各工况下本构关系模型参数的计算值

Table 2   Calculated parameters of constitutive relationship at different temperatures and strain rates

No.Strain rate/s-1Deformation temperature/℃σsatrF2a
d010.05115058.37.03841.95-297.9
d020.05110070.925.72250.43-181.2
d030.05105085.055.4864.64-159.5
d040.05100095.955.29277.17-66.84
d050.05950114.94.87585.45-35.88
d100.1115059.327.32546.59-244.4
d090.1110065.686.45156.75-170.5
d080.1105083.936.37671.28-100.8
d070.11000104.75.836
d060.1950126.75.339
d111115080.897.331
d121110097.526.829
d1311050105.45.852
d1411000145.35.474
d1519501705.322
d2051150104.96.447
d1951100122.26.408
d1851050145.16.332
d1751000163.76.004
d165950187.65.723
d211011501107.355
d22101100134.46.848
d23101050152.56.356
d241010001835.728
d2510950210.35.106

新窗口打开

对于各工况条件下的σsatrF2a,满足

σsat=A1ε˙b1expQRTr=A2ε˙b2expQRTF2=A3ε˙b3expQRTa=A4ε˙b4expQRT(17)

式中A1-A4b1-b4均为与材料相关的常数,R为气体常数。结合表2,对各变形条件下的参数值进行回归计算,可得UHS-DP1000不同阶段的流变应力模型,如表3所示。

表3   不同工况下UHS-DP1000的本构关系

Table 3   Constitutive relationship of UHS-DP1000 deformed at different temperatures and strain rates

Deformation temperature/°CStrain rate/s-1Hot deformation constitutive model
1050~1150≤0.1σ=σsat2-σsat2-σ02exp-12,ε&lt;εcσ=σp-F2expaε-εp2+F2,ε&gt;εc
σsat=1.042×ε˙-0.01566exp47460RT
r=75.84×ε˙0.1254exp-24380RT
F2=0.9203×ε˙0.1676exp51660RT
a=-9.785×106×ε˙-0.2707exp-132700RT
950~1050≤0.05
1050~1150>0.1σ=σsat2-σsat2-σ02exp-12
σsat=4.333×ε˙0.1144exp28700RT
r=25.95×ε˙0.002238exp-12490RT
950~1050>0.05

新窗口打开

为了验证本文所建立的本构模型的准确性,另选取四组工艺,即:1000℃-0.03 s-1、1100℃-0.07 s-1、1000℃-0.07 s-1和1000℃-7 s-1进行热压缩试验,实验值和预测值的应力应变曲线如图5所示。由图5可知,本文依据加工硬化-动态回复和动态再结晶两个阶段建立的本构模型,能准确地预测UHS-DP1000不同变形条件下的热变形行为。

图5   不同变形条件下的预测流变应力值与实验值的比较

Fig.5   Comparison of predicted flow stress values and experimental values under different deformation condition

3 结论

(1) 超高强双相钢DP1000在热变形过程中存在两种软化机制。当应变速率 ε˙低于0.05 s-1、变形温度介于950~1150℃或应变速率 ε˙低于0.1 s-1、变形温度介于1050~1150℃时,流变应力曲线呈现典型的动态再结晶型。当应变速率 ε˙大于0.1 s-1时流变应力达到峰值后进入持续稳定状态,流变应力曲线呈现动态回复型。

(2) 对 θ-σ曲线和 lnθ-ε曲线进行三次多项式拟合后求解拐点,可确定该超高强DP1000钢发生动态再结晶的临界应力和临界应变;通过对各变形条件下材料特征参数的回归,分别为加工硬化-动态回复型和动态再结晶型建立了能完整描述高温热变形条件下超高强DP1000的高温流变应力模型。

(3) 使用建立的本构模型预测了该钢在其他变形条件下的流变应力,具有很高的精确度,能准确预测超高强DP1000高温变形条件下的流变应力。

The authors have declared that no competing interests exist.


/