镍基高温合金GH4169的热机械疲劳行为
Investigation on Thermo-mechanical Fatigue Behavior of GH4169 Alloy
Corresponding authors: QIAN Chunhua, Tel:
Received: 2021-09-22 Revised: 2021-11-05
作者简介 About authors
钱春华,男,1984年生,博士生
在不同温度区间、不同条件下进行GH4169合金的热机械疲劳实验测试其热机械疲劳数据,研究了这种合金的热机械疲劳行为。结果表明:GH4169合金在热机械条件下的迟滞回线具有明显的拉压不对称性;同相位时材料承受压应力,反相位时承受拉应力。拉应力,是影响疲劳寿命的主要因素。应变幅较高时GH4169合金出现平均应力松弛,在高温半周为先循环软化后循环稳定,在低温半周始终趋于循环稳定。
关键词:
The thermo-mechanical fatigue behavior of GH4169 alloy was investigated via MTS809 fatigue testing machine by applied multiple test loads at different temperature range. It is found that the hysteresis loops of GH4169 alloy have obvious asymmetry in tension and compression under thermo-mechanical condition. The material bears compressive stress when the mechanical strain amplitude in phase, whilst tensile stress for out of phase. The tensile stress is the main cause affecting the fatigue life. The average stress relaxation occurs at higher strain amplitude. In the high temperature half cycle, the alloy softens first and then becomes stable. In the low temperature half cycle, the alloy tends to be stable.
Keywords:
本文引用格式
钱春华, 崔海涛, 温卫东.
QIAN Chunhua, CUI Haitao, WEN Weidong.
航空发动机的热端部件受交变机械载荷和交变温度载荷的叠加作用,产生的损伤使其疲劳寿命严重降低[1~9]。GH4169是应用最广的热端部件材料,研究其热机械疲劳行为,对设计部件的结构和预测其寿命都极为重要。Evans等[10]研究了IN718的同相位和反相位的热机械疲劳,在R=0(应变比)和R=-∞条件下研究了这种材料的热机械疲劳寿命和应变幅的关系。Jacobsson等[11]也进行了IN718多个应变比的同相位及反相位热机械疲劳实验,研究裂纹扩展并分析了疲劳断口。Johan J等对IN718进行热机械疲劳实验,研究了保持时间对裂纹扩展的影响[12, 13]。德国弗赖堡弗劳恩霍夫材料力学研究院也进行了IN718的热机械疲劳实验,发现低应变速率导致较高的裂纹扩展速率。随着实验设备的更新和实验水平的提高,中国学者也开始了材料的热机械疲劳实验研究[14~19]。但是,对GH4169合金的研究只限于改进制作工艺和讨论高温低周疲劳性能,缺少热机械疲劳实验数据。鉴于此,本文对GH4169合金进行不同温度区间的机械疲劳实验,研究相位、温度、应变速率等因素对其热机械疲劳特性的影响。
1 实验方法
表1 GH4169合金的化学成分
Table 1
| C | Cr | Mo | Al | Ti | Nb | Fe | Si | B | P | Mn | S | Ni |
|---|---|---|---|---|---|---|---|---|---|---|---|---|
| 0.03 | 18.92 | 3.3 | 0.56 | 1.00 | 5.35 | 17.6 | 0.07 | 0.011 | 0.022 | 0.02 | 0.002 | Bal. |
图1
热机械疲劳实验在MTS809疲劳实验机上完成,实验温度由射频感应加热系统控制,使用热电偶采集,用感应线圈加热,用空气压缩机通过多个喷嘴进行冷却;用高温引伸计采集应变数据。
依据标准《金属材料热机械疲劳实验方法》(GJB6213-2008)进行实验,实验加载包括温度和机械应变。在进行热机械疲劳实验时,温度处于循环变化状态,温差的变化产生热应变,因此在热机械疲劳实验前必须补偿热应变以得到机械应变,从而实现机械加载循环的实时控制,具体方法见GJB 6213-2008。疲劳实验时用总应变控制的三角波加载,总应变为热应变与机械应变之和。本文对多个工况进行了应变控制的热机械疲劳实验,应变比R=-1,循环周期分别为100、125、200 s;实验温度范围为200~450℃和400~650℃;机械应变幅包括±0.55%(反相位),±0.6%(同,反),±0.8%(同),±0.9%(同)。对于每个工况进行两次实验,取两次实验结果的平均值。热机械疲劳实验后,用扫描电镜(SEM)观察疲劳断口。
2 结果和讨论
2.1 GH4169合金在不同工况下的热机械实验结果
热处理后GH4169合金的晶粒长大,晶粒度约为5级,晶粒直径为80 μm~100 μm;晶界比较平直,晶界和晶内均无明显δ相析出,晶内有较多的孪晶。这种合金处理后析出大量的强化相
表2列出了不同工况下的实验结果。本文为应变控制的热机械实验,输入载荷为机械应变,根据实验数据可直接得出寿命、塑性应变、最大应力、最小应力及平均应力。从表2可见,相位角、温度范围(ΔT)、周期(T)、机械应变(
表2 不同实验条件下的热机械疲劳实验结果
Table 2
| Phase | ΔT/℃ | T/s | N | Δεp/% | σmax/MPa | σmin/MPa | σm/MPa | |
|---|---|---|---|---|---|---|---|---|
| IP | 200~ 450 | 0.6 | 125 | 2701 | 0.440 | 406 | -600 | -194 |
| 0.7 | 1747 | 0.442 | 504 | -723 | -219 | |||
| 0.8 | 103 | 0.446 | 580 | -866 | -286 | |||
| 0.9 | 55 | 0.898 | 636 | -736 | -100 | |||
| IP | 400~ 650 | 0.6 | 100 | 165 | 0.105 | 840 | -998 | -158 |
| 0.6 | 125 | 50 | 0.103 | 735 | -937 | -202 | ||
| 0.6 | 200 | 27 | 0.068 | 820 | -1030 | -210 | ||
| OP | 400~ 650 | 0.55 | 125 | 196 | 0.471 | 816 | -705 | 111 |
| 0.6 | 125 | 170 | 0.393 | 1118 | -868 | 250 |
2.2 循环应力-应变特性
图2
图2
不同试验条件下的稳定滞回曲线
Fig.2
Stable hysteresis curves under different test conditions (a) 200~450℃, T=125 s, IP; (b) 400~650℃, strain 0.6%, IP; (c) 400~650℃, T=125 s, OP
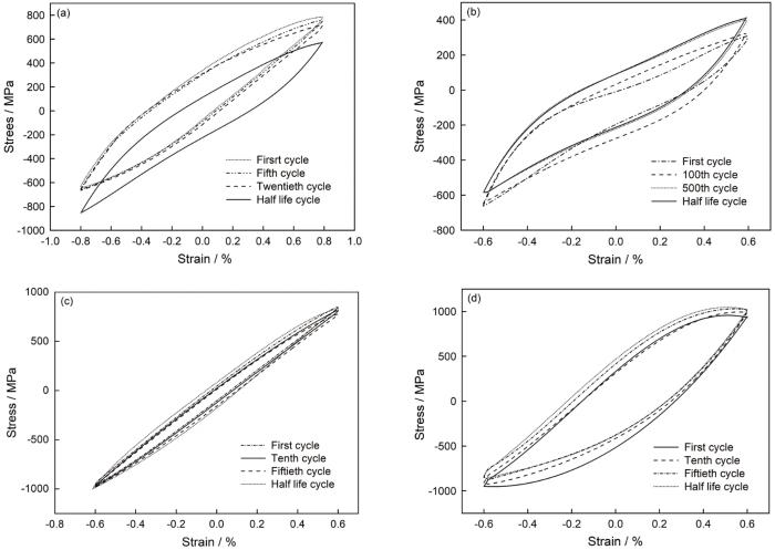
图3
图3
不同实验条件下的滞回曲线
Fig.3
Hysteresis curves under different test conditions (a) 200~450℃, 0.8%, T=125 s, IP; (b) 200~450℃, 0.6%, T=125 s, IP; (c) 400~650℃, 0.6%, T=100 s, IP; (d) 400~650℃, 0.6%, T=125 s, OP
2.3 循环应力响应特性
图4给出了GH4169的热机械疲劳应力响应曲线。可以看出,热机械疲劳时的GH4169合金其应力响应特性与等温疲劳的时不同,在拉伸和压缩半周应力响应特性并不具有对称性,拉伸和压缩半周的响应特性不一致:在同相位条件下,在循环初始阶段,材料在拉伸半周出现明显的软化,在压缩半周硬化不显著,几乎保持循环稳定。在反相位条件下,材料在拉伸半周趋近于循环稳定。在压缩半周,材料在循环初始阶段出现了轻微的循环软化,然后趋于循环稳定。由此可得出以下规律:在高温半周材料出现循环软化现象,在低温半周材料趋于循环稳定。
图4
图4
循环应力响应曲线
Fig.4
Cyclic stress response curves (a) 400~650℃, IP; (b) 400~650℃, OP
2.4 疲劳寿命
图5
图6
从表2可以看出,温度区间和应变幅都对寿命有较大的影响。随着温度的升高GH4169的寿命急速下降,因为较高的温度使晶界弱化,在机械载荷的作用下晶界滑动使晶界空洞和裂纹萌生和寿命降低。在相同的温度区间GH4169同相位时的疲劳寿命低于反相位时,因为裂纹的扩展出现在拉伸半周,同相位时拉伸半周与高温半周对应,高温使大量的晶界滑动,而在压缩半周中晶界滑动不能恢复。由此,在同相位热机械疲劳情况下高温使材料的疲劳损伤加剧。
2.5 疲劳断口的形貌
图7
图7
GH4169的断口形貌(同相位、应变幅±0.6%、400~650℃)
Fig.7
Fracture morphology of GH4169 (IP, strain amplitude ±0.6%, 400~650℃), (a) fatigue source; (b) propagation zone; (c) final rupture regions
图8
图8
GH4169的断口形貌(反相位、应变幅±0.6%、400~650℃)
Fig.8
Fracture morphologies of GH4169 (OP, strain amplitude ±0.6%, 400~650℃) (a) fatigue source; (b) propagation zone; (c) final rupture regions
3 结论
(1) 在热机械条件下,GH4169合金在不同温度半周力学性能不同,使其稳定迟滞回线明显不对称。在热机械疲劳条件下,平均应力总是指向低温半周。材料在较大应变幅(0.8%)条件下出现循环松弛现象。
(2) GH4169合金在高温半周先循环软化后循环稳定,在低温半周始终趋于循环稳定。温度对其应力特性的影响较为明显,高温半周更容易出现软化。应变速率也影响其应力响应特性,在中应变速率时应力响应相对平稳,较高或较低应变速率时应力响应行为比较强烈。
(3) 温度区间、周期、相位、机械应变幅等因素都影响GH4169的寿命,其同相位的疲劳寿命比反相位时低,其中温度区间和应变幅对寿命的影响最大。随着机械应变和周期的减小,热机械疲劳寿命延长。
参考文献
Development and technology of Inconel718 (GH4169) superalloy
[J].
Inconel718(GH4169)高温合金的发展与工艺
[J].
Application of alloy 718 in GE aircraft engines: past, present and next five years
[A].
Alloy 718 at pratt & whitney-historical perspective and future challenges
[A].
The initial years of alloy 718
[A].
Thermal-mechanical and isothermal fatigue of IN792 CC
[J].
Thermomechanical fatigue behavior of the intermetallic γ-TiAl alloy TNB-V5 with different microstructures
[J].
Aspects of high-temperature low-cycle thermomechanical fatigue of a single crystal nickel-base superalloy
[J].
Thermo-mechanical fatigue of Mar-M247
[J].
Thermo-mechanical fatigue and fracture of INCO718
[J].
Thermo-mechanical fatigue crack propagation experiments in Inconel 718
[J].
Hold-time effect on the thermo-mechanical fatigue crack growth be-haviour of Inconel 718
[J].
Experimental investigation of the time and temperature dependent growth of fatigue cracks in Inconel 718 and mechanism based lifetime prediction
[J].
Thermomechanical fatigue properties and life prediction of IC10 alloy
[J].
IC10合金热机械疲劳性能与寿命预测
[J].
Thermal mechanical fatigue properties of 316LN stainless steel for nuclear power
[J].
核电用316LN不锈钢的热机械疲劳性能研究
[J].
Study on thermomechanical fatigue behavior of cast nickel base superalloy K417
[J].
K417铸造镍基高温合金热机械疲劳行为的研究
[J].
Effect of heating rate on thermomechanical fatigue properties
[J].
升温速率对热机械疲劳性能的影响
[J].
Study on thermomechanical fatigue behavior and micromechanism of nickel base superalloy
[D].
镍基高温合金热机械疲劳行为及微观机制研究
[D].
Thermomechanical fatigue properties of IN718 nickel base superalloy
[J].
IN718镍基高温合金的热机械疲劳性能
[J].
Shearing of γ″ precipitates and formation of planar slip bands in Inconel 718 during cyclic deformation
[J].
Effect of long term aging on microstructure evolution and low cycle fatigue behavior of GH4169 alloy
[J].
长期时效对GH4169合金组织演化及低周疲劳行为的影响
[J].
/
| 〈 |
|
〉 |
