含硅苯并噁嗪的制备及其对双马来酰亚胺树脂固化反应动力学的影响
Preparation of Si-containing Benzoxazine and Its Influence on Curing Reaction Kinetics of Bismaleimide Ester Resin
通讯作者: 马明阳,副教授,mmywlxy@163.com,研究方向为纳米材料合成及其在分析化学中的应用
责任编辑: 吴岩
收稿日期: 2019-10-15 修回日期: 2019-11-08 网络出版日期: 2020-06-25
| 基金资助: |
|
Corresponding authors: MA Mingyang, Tel: 18009266258, E-mail:mmywlxy@163.com
Received: 2019-10-15 Revised: 2019-11-08 Online: 2020-06-25
| Fund supported: |
|
作者简介 About authors
贾园,女,1988年生,博士
通过溶剂法设计合成出了结构中含有硅元素的新型苯并噁嗪单体(Si-BOZ),以其作为改性体系对双马来酰亚胺树脂(BMI)进行共混改性,在降低BMI预聚物粘度的同时优化其固化工艺,改善其综合性能。选用平板小刀法测定了Si-BOZ、BMI、Si-BOZ/BMI等树脂体系的凝胶时间,红外光谱(FTIR)跟踪研究了Si-BOZ和BMI在固化过程中所发生的化学反应,非等温差示扫描量热法(DSC)研究了Si-BOZ/BMI树脂体系的固化反应动力学特征,并通过Kissinger法和Ozawa法对两者固化过程中的各参数进行了讨论。
关键词:
A new Si-containing BOZ resin monomer (Si-BOZ) was prepared via chemical synthesis method, which was then used as the modifier to blend with BMI, so that to yield the BMI prepolymer with lower viscosity, and the modified BMI resin can also exhibits excellent heat resistance, radiation resistance and mechanical properties. The gelation time of Si-BOZ, BMI, Si-BOZ/BMI resin was studied by plate small knife method, the chemical reactions of Si-BOZ and BMI during curing process were studied by FTIR, and the effect of the addition of Si-BOZ on the curing reaction kinetics of BMI was studied by non-isothermal scanning calorimetry (DSC). The role of parameters in the curing process was also discussed by Kissinger method and Ozawa method.
Keywords:
本文引用格式
贾园, 张黎英, 马明阳, 师瑞峰.
JIA Yuan, ZHANG Liying, MA Mingyang, SHI Ruifeng.
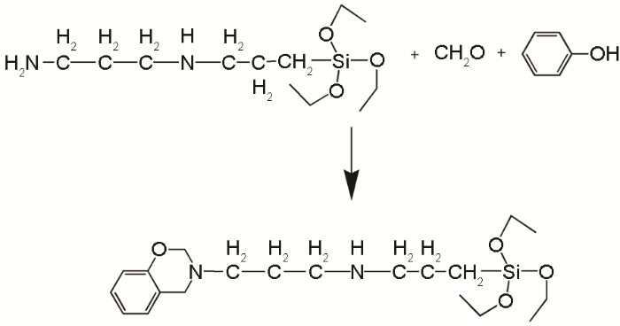
双马来酰亚胺(BMI)树脂作为一种典型的热固性树脂,单体末端含有两个对称的酰亚胺环,赋予其良好的热稳定性[1,2,3],因此在工业领域中应用较为广泛。但是,传统BMI树脂的预聚物溶解性较差、粘度过高,严重影响了其加工成型性,且BMI固化物交联度过大,韧性和耐热性有限,难以实现BMI大规模工业化和在苛刻条件下的应用。因此,在降低BMI树脂预聚物粘度的前提下实现对其耐热性能和韧性的优化,是BMI改性研究中的一个热点。由于BMI末端含有两个高反应活性的马来酰亚胺官能团,使其与其他有机树脂具有良好的相容性[4,5,6,7],因此选择合适的有机树脂对其进行共混改性是一种简单可行的方法。苯并噁嗪(BOZ)树脂具有传统酚醛树脂的高耐湿热性、高阻燃性等特点,同时表现出更多的优点。例如:一定温度下,BOZ单体能够在不加入催化剂的条件下进行开环固化,且BOZ固化树脂的体积收缩率几乎为零[8,9]。此外,当与其他有机树脂进行共混时,BOZ单体上的噁嗪环能够与其他活性官能团发生反应,不但能增强两种基体的界面结合强度,形成均一稳定的共混体系[10,11],还能将两种树脂的性能良好结合,所得到的新型树脂共混材料在胶粘剂、耐磨材料、电子封装材料等领域得到广泛应用[12,13]。尤其是BOZ与BMI共聚时,BOZ单体开环产生的胺基能进一步催化BMI末端双键的反应,使BOZ与BMI之间形成稳定的交叉氢键和网络互穿结构,改善BMI树脂的耐热性能和力学性能[14,15]。但是,BOZ树脂过高的固化温度严重影响其加工性能,且其固化物力学性能较差,因此,需要开发出综合性能优异的新型BOZ树脂 [16]。BOZ单体的合成原料价格低廉,结构灵活,分子设计方法是对其改性的较为经济、简便的一个方法。用该方法能将硼、硅、溴和磷等杂原子引入到BOZ分子结构中,提高BOZ的耐热性、阻燃性、硬度以及成型加工性能[17]。与传统的粒子共混法相比,该方法的合成工艺简便,产品性能良好。鉴于此,以末端含有氨基的硅烷偶联剂N-β-(氨乙基)-γ-氨丙基三甲氧基硅烷(KH-792)和苯酚分别作为胺源和酚源,以多聚甲醛为原料,通过溶剂法合成结构中含有硅元素的BOZ树脂单体(Si-BOZ),并以其作为改性体系与BMI树脂进行共混,研究Si-BOZ单体对Si-BOZ/BMI树脂体系固化动力学的影响。
1 实验方法
1.1 实验用原料
双酚A型苯并噁嗪(bA-BOZ),实验室制备;双马来酰亚胺树脂(BMI),工业级;二烯丙基双酚A(活性稀释剂),工业级;硅烷偶联剂N-β-(氨乙基)-γ-氨丙基三甲氧基硅烷(KH-792),分析纯;多聚甲醛、苯酚、二甲苯、丙酮、三氯甲烷,分析纯。
1.2 试样的制备
(1) 有溶剂法制备Si-BOZ
将一定比例的KH-792、多聚甲醛溶于二甲苯中,并加入到带有温度计、回流管、搅拌桨的三口烧瓶中,在均匀搅拌的同时,逐渐升温到40℃。反应进行1~2 h后向其中加入0.94 g苯酚,并缓慢升温到120~130℃。反应进行8~10 h后冷却到室温,用三氯甲烷溶解所得混合物以除去副产物,减压蒸馏去除溶剂并在60℃下真空干燥后,得到的浅黄色固体即为Si-BOZ单体。制备路线如图1所示。
图1
(2) Si-BOZ/BMI预聚物的制备
以二烯丙基双酚A为活性稀释剂,并按照3:4的质量比将其与BMI在130℃下共聚30 min,之后向混合物中加入一定量的Si-BOZ单体(含量为BMI的15.0%,质量分数),并在该温度下继续预聚15 min,得到深黄色粘稠状液体即为Si-BOZ/BMI预聚物。将预聚物冷却至室温待用。
1.3 性能表征
使用WQF-310傅立叶变换红外光谱仪测试Si-BOZ单体和Si-BOZ/BMI在不同固化温度下试样的红外光谱,扫描波长范围为400~4000 cm-1。采用平板小刀法分别测定Si-BOZ单体,bA-BOZ单体,BMI树脂及Si-BOZ/BMI共混树脂四个体系的凝胶时间,温度间隔为10℃,温度范围为130~180℃。
使用MDSC2910型DSC试验仪在氮气氛下分别对BMI预聚物和Si-BOZ/BMI预聚物进行非等温DSC测试。试样含量为3 mg,选择温度范围30~380℃,选择升温速率分别为5、10和15℃/min。
2 结果和讨论
2.1 Si-BOZ的结构和性能
图2给出了Si-BOZ的红外光谱图(FTIR)。图2中758 cm-1处的峰值为噁嗪环相邻苯环的面外震动峰,在2924 cm-1、3429 cm-1处观察到的两个吸收峰,分别为苯环上C-H键和苯环上取代-OH的特征吸收峰。这些结果,证明了与噁嗪环相邻苯环的存在。同时,1116 cm-1处和1582 cm-1处分别可以观察到C-N-C的不对称拉伸震动峰和N-H的拉伸振动峰,而在1462 cm-1的特征峰则源于噁嗪环中的N-CH2-上亚甲基。这些结果,证实了噁嗪环的存在。1010 cm-1处的特征吸收值为Si-O-C的特征吸收峰,说明Si元素已成功引入到Si-BOZ结构中。这些结果证实,已经成功地合成出了Si-BOZ。还分别测定了Si-BOZ与传统bA-BOZ凝胶时间-温度曲线(图3)。从图3可见,随着温度的升高,两种BOZ体系的凝胶时间均出现明显的降低,说明温度的升高有利于促进BOZ的反应活性[18];此外,Si-BOZ的凝胶时间始终比bA-BOZ的低,说明所制备的Si-BOZ具有优于传统bA-BOZ的反应活性。
图2
图3
图3
两种BOZ体系的凝胶时间随温度变化关系图
Fig.3
Relationship between gelation time and temperature of two BOZ system
2.2 Si-BOZ/BMI固化过程的化学反应
为了进一步研究Si-BOZ/BMI树脂共混体系在固化过程中所发生的化学反应,在不同固化温度下对Si-BOZ/BMI的FTIR进行了跟踪测试,其结果如图4所示。图4表明,在150℃时1498 cm-1处的峰值为NH2的弯曲振动特征峰,1718 cm-1左右的特征峰为BMI中马来酰亚胺上C=O的伸缩振动引起的,而816 cm-1处的吸收峰则有BOZ噁嗪环上N-CH2-O键的伸缩振动引起。但是,随着温度的升高这些峰均表现出了减弱的趋势,且816 cm-1处的吸收峰在220 ℃明显变弱,说明噁嗪环发生了开环反应[19];从图中还可以看到,随着温度的升高,1265 cm-1处的C-O-C键的特征峰也有一定程度的减弱,说明有少量Si-BOZ也发生了自聚反应;这些结论证实,随着温度的升高Si-BOZ中的噁嗪环和BMI中的双键逐渐开始发生反应,并在220℃形成了均一稳定的体系。
图4
2.3 Si-BOZ/BMI体系的凝胶时间
凝胶时间是指树脂在特定温度下从流动态转化为凝胶态所用的时间,是研究树脂固化工艺的重要指标。凝胶时间的缩短则表示热固性树脂的固化反应得到了促进。鉴于此,分别测定了BMI树脂与Si-BOZ含量(质量分数)为15.0%的Si-BOZ/BMI树脂体系凝胶时间随温度变化的曲线(图5)。从图5可见,随着温度的升高,两个树脂体系的凝胶时间均逐渐降低,且Si-BOZ/BMI树脂体系的凝胶时间始终低于BMI,说明在加入Si-BOZ树脂单体后,BMI树脂体系的反应活性得到了明显提高。此外,130℃时Si-BOZ/BMI树脂体系的凝胶时间为94 min,与BMI树脂体系(116 min)相比有了较大幅度的降低;而温度升高到180℃时Si-BOZ/BMI树脂共混体系的凝胶时间缩短到了10 min,远低于此温度下BMI的凝胶时间(19 min)。这表明,随着温度的升高两个树脂体系的固化过程均得到了较大幅度的促进,且温度的升高也有利于Si-BOZ与BMI之间的反应活性。
图5
图5
BMI和Si-BOZ/BMI体系的凝胶时间与温度关系图
Fig.5
Relationship between gelation time and temperature of BMI and Si-BOZ/BMI resin
2.4 Si-BOZ/BMI体系的固化动力学
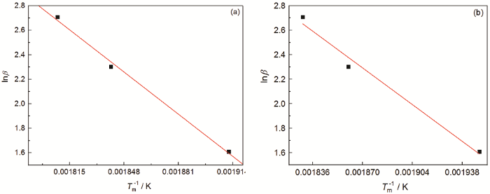
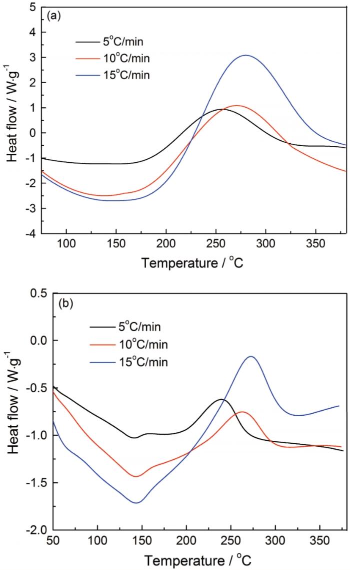
非等温差示扫描量热法(DSC)具有测量准确、操作简单的优点,因此测量同一数值体系在不同升温速率下的DSC曲线,并根据曲线上放热峰的特征参数可确定热固性树脂的固化工艺,并准确计算树脂的表观活化能E和固化反应级数n[20]。图6分别给出了BMI和Si-BOZ/BMI两个树脂体系的非等温的DSC曲线。在不同升温速率下,将图中两体系放热峰上的特征值分别列于表1和表2。T-β外推法(即经线性回归所得到的T=aβ+b)能够极大降低固化工艺参数的误差性,因此选用该方法对两表中的参数进行线性拟合,可分别做出两树脂体系的线性回归图(图7),根据相应的截距推算出两者的固化工艺。BMI体系的其凝胶温度、固化温度、后处理温度分别为160.32℃,238.56℃,266.54℃(如图7a所示的截距);Si-BOZ/BMI体系的相应温度则分别为175.16℃,225.43℃,283.17℃(如图7b所示的截距)。结合树脂固化反应过程中不同温度下的化学反应变化、以及上述计算中两者的固化工艺和凝胶时间等因素,最终确定Si-BOZ/BMI树脂体系的分段固化工艺[9]:140℃/2 h,180℃/2 h,220℃/4 h;后处理:250℃,6 h。
图6
图6
BMI和Si-BOZ/BMI体系的非等温DSC曲线
Fig.6
DSC of BMI and Si-BOZ/BMI resin in different rate of temperature increase (a: BMI, b: Si-BOZ/BMI)
表1 BMI的DSC固化曲线上放热峰的峰值温度
Table 1
| Heating rate/℃·min-1 | 5 | 10 | 15 |
|---|---|---|---|
| Temperature of onset (Ti)/℃ | 175.74 | 203.76 | 212.85 |
| Temperature of peak (Tm)/℃ | 250.67 | 270.33 | 280.07 |
| Temperature of ending (Tf)/℃ | 294.82 | 310.89 | 345.27 |
表2 Si-BOZ/BMI的DSC固化曲线上放热峰的峰值温度
Table 2
| Heating rate/℃·min-1 | 5 | 10 | 15 |
|---|---|---|---|
| Temperature of onset (Ti)/℃ | 186.33 | 205.97 | 212.91 |
| Temperature of peak (Tm)/℃ | 239.75 | 264.36 | 273.54 |
| Temperature of ending (Tf)/℃ | 295.05 | 320.86 | 325.75 |
图7
图7
BMI和Si-BOZ/BMI树脂体系峰值温度的线性回归直线
Fig.7
Linear regression curve of peak temperature of DSC of BMI and Si-BOZ/BMI (a: BMI, b: Si-BOZ/BMI)
选用Kissinger法和Ozawa法两种方法分别计算了BMI和Si-BOZ/BMI树脂体系的相关固化动力学参数。
(1) Kissinger法
Kissinger公式在研究树脂固化反应特征时,不用深入讨论树脂固化反应机理就能较为准确地计算出固化反应过程中树脂体系表观活化能,从而避免了计算引起的误差。Kissinger的公式为
式中β、Tm、R、E分别代表升温速率(℃/min)、DSC曲线中放热峰的峰顶温度(℃),理想气体常数(8.314 J/mol·K),和表观活化能(kJ·mol-1)。计算不同升温速率所对应的-ln(β/Tm2)值与1/Tm值,线性拟合后得到BMI和Si-BOZ/BMI树脂体系的Kissinger直线方程[21],分别为Y=9354.2X-6.958 (图8a),Y=7760.6X-4.241(图8b)。通过两个Kissinge拟合直线的斜率9354.2、7760.6可计算出两体系的E值,分别为77.77 kJ·mol-1、64.52 kJ·mol-1。可以看出,Si-BOZ/BMI体系的E值明显低于BMI体系。该结果显示,Si-BOZ/BMI体系的固化反应与纯的BMI树脂体系相比更易进行。但是,Kissinger法假定反应过程中的反应级数始终为1,因此当树脂体系固化反应级数未知时,需要进一步进行验证。
图8
图8
BMI和Si-BOZ/BMI树脂体系Kissinger线性拟合
Fig.8
Linear regression curve of Kissinger(a: BMI, b: Si-BOZ/BMI)
(2) Ozawa法
选择Ozawa法对Si-BOZ/BMI树脂体系的固化反应动力学特征参数进行计算。Ozawa公式为
同样,计算
图9
图9
BMI和Si-BOZ/BMI树脂体系Ozawa线性拟合
Fig.9
Linear regression curve of Ozawa (a: BMI; b: Si-BOZ/BMI)
Crane方程能够准确计算固化反应级数n,有助于深入探索树脂固化过程中所发生的化学反应:
将用
3 结论
用溶剂法制备其结构中含有Si元素的新型苯并噁嗪单体(Si-BOZ/NH2),并以其作为有机体系对双马来酰亚胺树脂(BMI)进行改性,结果表明:Si-BOZ/BMI体系的分段固化工艺为140℃/2 h,180℃/2 h,220℃/4 h,后处理工艺为250℃/6 h;Si-BOZ的加入能够极大地降低BMI的表观活化能,有效促进BMI体系的固化反应,最终制备出一种固化工艺简单、综合性能优异的Si-BOZ/BMI树脂材料。
参考文献
Thermosetting bismaleimide resins generating covalent and multiple hydrogen bonds
[J].
Preparation and properties of silicon carbide/glass fibres/bismaleimide composites
[J].
Nanosheets of MoS2 and reduced graphene oxide as hybrid fillers improved the mechanical and tribological properties of bismaleimide composites
[J].
Cure characterization in bis(maleimide)/ diallylbisphenol a resin by fluorescence, FT-IR, and UV-reflection spectroscopy
[J].
Thermal ageing effects on mechanical properties and barely visible impact damage behavior of a carbon fiber reinforced bismaleimide composite
[J].
Delamination growth behavior of a woven E-glass/bismaleimide composite in seawater environment
[J].
Interfacial ageing of high temperature carbon/bismaleimide composites
[J].
Synthesis and properties of new crosslinkable telechelics with benzoxazine moiety at the chain end
[J].
Synthesis of high heat-resistant PBOZ-BMI resin and the research of its modification
[D].
耐热耐磨PBOZ-BMI树脂的合成及其改性研究
[D].
A new thermo set system based on cardanol benzoxazine and hydroxy benzoxazoline with lower cure temperature
[J].
Tribology Property of Benzoxazine-Bismaleimide Composites with Hyperbranched Polysilane-Grafted Multi-Walled Carbon Nanotubes
[J].
Cationic ring-opening polymerization of benzoxazines
[J].
Synthesis and thermal properties of the thermosetting resin based on cyano functionalized benzoxazine
[J].
Functionalized multiwalled carbon nanotubes by grafting hyperbranched polysiloxane
[J].
Performances improvement of traditional polybenzoxazines by copolymerizing with cyclotriphosphazene-based benzoxazine monomers
[J].
The development of new tough bismaleimide resins as matrix for advanced composite material
[J].
双马来酰亚胺树脂增韧及用作先进复合材料基体的发展
[J].
High-performance polymer alloys of polybenzoxazine and bismaleimide
[J].
Synthesis and properties of low viscosity epoxy resin
[D].
低粘度环氧树脂的合成制备与性能研究
[D].
Curing behavior and heat resistance of poly (m-diethynylbenzene-methylsilane)/acetylene-functional benzoxazine blended resins
[J].
聚(间二乙炔基苯-甲基氢硅烷)/含乙炔基苯并噁嗪树脂共混体系固化行为及其耐热性能研究
[J].
Propenyl phenyl compound modified bismaleimide resin (ΙΙ) cure and properties of modified BMI resin
[J].
丙烯基苯化合物改性双马来酰亚胺树脂ΙΙ. 改性树脂的固化及性能
[J].
/
| 〈 |
|
〉 |
