氮对钒微合金钢粗晶热影响区(CGHAZ)的组织和性能的影响
Effect of Nitrogen on Microstructure and Mechanical Properties for Simulated CGHAZ of Normalized Vanadium Micro-alloyed Steel
通讯作者: 柴 锋,正高级工程师,chaifeng666@vip.sina.com,研究方向为船舶及海洋工程用钢
责任编辑: 黄青
收稿日期: 2019-03-18 修回日期: 2019-06-16 网络出版日期: 2019-11-11
Corresponding authors: CHAI Feng, Tel: (010)62182761, E-mail:chaifeng666@vip.sina.com
Received: 2019-03-18 Revised: 2019-06-16 Online: 2019-11-11
作者简介 About authors
柴锋,男,1979年生,博士
用热模拟方法研究了氮含量对钒微合金钢粗晶热影响区(CGHAZ)的组织和性能的影响。结果表明,氮含量为0.0031%或0.021%时,CGHAZ的韧性较差。氮含量0.0031%时CGHAZ中有少量的Ti(C,N),晶界铁素体(GBF)较少,晶内有大量尺寸较大的侧板条铁素体(FSP),解理裂纹沿FSP的直线扩展使其韧性较差。氮含量0.021%时在CGHAZ中生成了较为粗大的(Ti, V)(C, N)和GBF,解理裂纹沿GBF扩展使其韧性较差。氮含量为0.012%时低温韧性较好,在CGHAZ中生成了大量细小的(Ti, V)(C, N)粒子,且GBF尺寸相对较小,晶内有大量的针状铁素体(AF)。这些因素都有利于阻止裂纹扩展,使其低温韧性显著提高。
关键词:
The effect of N-content on the microstructure and mechanical properties for the simulated coarse-grain heat-affected zone (CGHAZ) of normalized vanadium micro-alloyed steel was investigated by thermal simulation method. The results show that N-content has significant effect on the low-temperature toughness, precipitates, impact fracture morphology and the ultimate microstructure. The steel containing 0.0031% N or 0.021% N has poor CGHAZ toughness. The steel with 0.012% N has optimal CGHAZ toughness. There is slight Ti-enriched carbonitride and grain boundary ferrite in the steel of 0.0031% N, the large-sized ferrite side-plate in the major microstructure can be as the channel of crack resulting the poor CGHAZ toughness. CGHAZ of 0.021% N contains coarse (Ti, V)CN and coarse grain boundary ferrite, the crack can extend along the coarse grain boundary ferrite resulting in poor toughness. CGHAZ of 0.012% N contains thin (Ti, V)CN, the fine grain boundary ferrite and abundant acicular ferrite, which can act as an obstacle to the crack extension, resulting in preferable CGHAZ toughness.
Keywords:
本文引用格式
柴锋, 师仲然, 杨才福, 王佳骥.
CHAI Feng, SHI Zhongran, YANG Caifu, WANG Jiaji.
氮是影响钢焊接性的重要元素,但是关于氮对低合金钢焊接热影响区的影响一直有不同的观点。在普碳钢中增N,对焊接热影响区的韧性是有害的[7]。研究发现,在普碳钢中增N使焊接热影响区27 J冲击转变温度显著提高;Hamada等研究了N含量对Nb-V-Ti微合金钢焊接CGHAZ的低温韧性[8],发现N含量约为0.008%时焊接CGHAZ的低温韧性最佳,最佳N含量比理想化学配比的N含量至少高0.002%。Shi等研究了N含量对V-Ti钢焊接热影响区组织和性能的影响[9],发现N含量从0.0044%提高到0.0094%使有效晶粒尺寸(晶粒取向差角≥15℃)细化,焊接热影响区的50% FATT降低。当N含量进一步提高到0.019%时焊接热影响区50% FATT温度显著提高,低温韧性降低。Zajac等的研究结果表明,固溶氮不是影响钒微合金钢焊接性的主要因素。中小热输入时高氮钢表现出良好的低温韧性,而大热输入时低氮钢焊接性较好[10]。本文采用焊接热模拟的试验方法,研究氮含量对正火型钒氮微合金钢焊接粗晶热影响区组织和性能的影响。
1 实验方法
1.1 实验用材料
实验用钢为四种不同氮含量的钒微合金化钢,分别标记为31N、82N、120N和210N,其化学成分列于表1。用50 kg真空感应炉冶炼实验用钢。先将其锻造成厚度为57 mm的钢坯,然后轧制成12 mm钢板。对轧制钢板进行正火热处理,正火温度为900℃,保温时间30 min后空冷。
表1 实验用钢的化学成分
Table 1
| Steels | C | Mn | Si | S | P | Ti | N | Al | V |
|---|---|---|---|---|---|---|---|---|---|
| 31N | 0.16 | 1.56 | 0.35 | 0.003 | 0.006 | 0.015 | 0.0031 | 0.012 | 0.060 |
| 82N | 0.16 | 1.58 | 0.33 | 0.003 | 0.006 | 0.015 | 0.0082 | 0.015 | 0.062 |
| 120N | 0.16 | 1.53 | 0.36 | 0.003 | 0.006 | 0.015 | 0.0120 | 0.014 | 0.060 |
| 210N | 0.16 | 1.55 | 0.35 | 0.003 | 0.006 | 0.016 | 0.0210 | 0.013 | 0.059 |
使用Gleeble-3800热模拟试验机模拟焊接CGHAZ的组织变化和冲击韧性变化。沿钢板纵向切取焊接热模拟试样,其尺寸为10.5 mm×10.5 mm×65 mm。采用三维雷卡林模型(Rykalin-3D)模拟80 mm厚钢板经历的焊接热循环过程。以100℃/s的加热速度加热到峰值温度1350℃并保温1 s,从800℃冷却到500℃所需的时间(t8/5)为30 s,对应的实际焊接热输入为117 kJ/cm。
1.2 性能表征
在焊接热模拟试样的焊接热电偶处开缺口,并加工成尺寸为10 mm×10 mm×55 mm的标准夏比“V”型冲击试样,然后在NI 500型摆锤冲击试验机上测试CGHAZ -40~0℃的冲击功。用Leica MEF4M金相显微镜观察CGHAZ的显微组织。用10%高氯酸酒精溶液对EBSD试样进行电解抛光,使用FEI Quanta 650 FEG扫描电镜配备的Oxford Nordlys F+型一体化系统进行EBSD试验,加速电压为20 kV,扫描步长为0.4 μm,扫描区域大小200 μm×200 μm。用碳膜萃取复型方法在加速电压为200 kV的JEM 2010高分辨透射电子显微镜(TEM)下观察析出粒子的尺寸和形貌,并使用配备的X射线能谱仪确定其成分。
2 实验结果
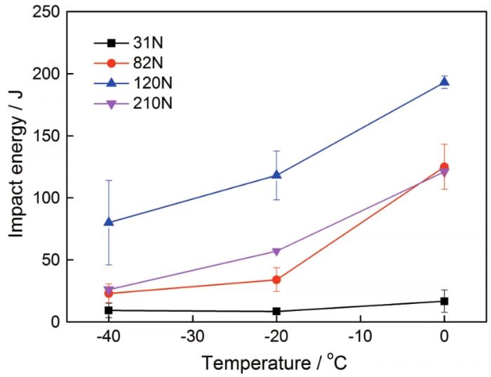
2.1 CGHAZ冲击韧性
在-40~0℃测试了四种钢CGHAZ冲击韧性,结果如图1所示。可以看出,氮含量对试验钢的CGHAZ的冲击功有显著的影响。当氮含量从0.0031%提高到0.012%时在试验钢的冲击功增大,低温韧性显著提高。氮含量从0.012%提高到0.021%则CGHAZ冲击功降低,CGHAZ低温韧性显著降低。这些结果表明,在t8/5=30 s时氮含量为0.012%的钢CGHAZ低温韧性最好。
图1
图1
焊接粗晶区在不同温度下冲击功的实验结果
Fig.1
Impact test result of CGHAZ at different temperature
2.2 钒微合金钢的显微组织
图2给出了不同氮含量钒微合金钢的CGHAZ显微组织。从图2可见,当含量较低(0.0031%)时,原始奥氏体晶粒较为粗大,晶界较为明显,晶界铁素体(GBF, Grain boundary ferrite)较少,晶内是大量沿着晶界生长并平行排列的侧板条铁素体(FSP, Ferrite side-plate)组织。此外,在同一个原奥晶粒内还出现了不同位向的侧板条铁素体组织。随着氮含量的提高(0.0082%),沿晶界开始出现相对细小的晶界铁素体组织,此时很难观察到原始奥氏体晶界。在奥氏体晶粒内,一方面有一定量的侧板条铁素体组织,但是单个侧板条铁素体块的尺寸大幅度减小;另外一方面,在奥氏体晶粒内出现了一定量的针状铁素体(AF, Acicular ferrite)组织。当氮含量提高到0.012%时原始奥氏体的晶粒明显细小,沿着原奥晶界分布的铁素体明显增多且晶粒细小。此时晶内针状铁素体的数量明显增多,侧板条铁素体的数量明显减少。与其他氮含量的实验钢相比,晶内的组织最为细小。当氮含量增加到0.021%时原始奥氏体晶粒尺寸也较为细小,但是晶界铁素体的数量显著增多且尺寸显著粗大。此时晶内仍然以针状铁素体和侧板条铁素体组织为主。
图2
图2
不同氮含量实验钢焊接粗晶区的显微组织
Fig.2
CGHAZ microstructures of different nitrogen content experimental steels
2.3 EBSD实验结果
图3
图3
不同氮含量试验钢焊接粗晶区的EBSD取向差分布
Fig.3
Orientation distribution of CGHAZ in different nitrogen content experimental steels
图4
图4
不同氮含量实验钢焊接粗晶区的EBSD取向差分布
Fig.4
Distribution of boundary misorintation angles in different nitrogen content experimental steels (a) 30N steel (b) 82N steel (c) 120N steel (d) 210N steel
图5
图5
不同氮含量实验钢焊接粗晶区有效晶粒的尺寸
Fig.5
EBSD mean effective size of the tolerance angle 15o
图6
图6
不同氮含量试验钢CGHAZ析出粒子的TEM照片
Fig.6
TEM analysis micrographs of precipitations in simulated CGHAZ (a) 30N steel (b) 82N steel (c) 120N steel (d) 210N steel
2.4 析出物
用碳萃取复型方法观察实验钢CGHAZ析出物,结果示于图6。可以看出,当氮含量较低(0.0031%)时钢中仅形成少量方形的析出物,析出物棱角较为分明。结果表明,析出物主要为钛的碳氮化物Ti(C,N)。随着氮含量的提高(0.0082%),钢中析出物的数量逐渐增多,析出物边缘逐渐圆滑。能谱分析结果表明,主要为Ti、V的碳氮化物(Ti, V)(C, N)。当氮含量提高到0.012%时析出物的数量显著增多,析出物中V的含量进一步提高。当N含量进一步提高到0.021%时析出物明显粗化,析出物中V的含量也显著提高。
表2给出了对不同氮含量实验钢CGHAZ中析出物的能谱统计结果。可以看出,随着氮含量从0.0031%提高到0.012%,(Ti, V)(C, N)的体积分数从0.007%增加到0.124%,V在析出物中的比例也从21.4%大幅度提高到44.7%。这表明,氮能显著促进CGHAZ中V的析出。析出物的平均直径表明,氮含量从0.0031%提高到0.012%析出物的粒度显著减小,体积分数也显著提高。但是进一步提高氮含量,析出物的数量增加不明显但是粗化。总之,氮含量为0.012%时出现大量、更为细小的(Ti, V)(C, N)析出物粒子。
表2 试验钢模拟CGHAZ析出粒子的定量统计
Table 2
| Steels | Type | d / nm | Volume fraction/% | V/(V+Ti)/% |
|---|---|---|---|---|
| 31N | Ti(C,N) | 51.6±24.1 | 0.007 | 21.4 |
| 82N | (Ti ,V)(C,N) | 28.2±10.3 | 0.022 | 22.7 |
| 120N | (Ti,V)(C,N) | 28.1±9.7 | 0.114 | 30.4 |
| 210N | (Ti,V)(C,N) | 33.9±9.0 | 0.124 | 44.7 |
3 讨论
通过Thermo-Calc热力学计算平衡状态下析出了粒子的情况,结果如图7所示。热力学计算结果表明,不同氮含量实验钢在平衡条件下有三种析出相粒子,分别为(Ti, V)(C, N)、MnS和(V, Ti)(C, N),其析出开始温度依次降低。随着氮含量从0.0031%提高到0.012%(Ti, V)(C, N)的析出开始温度从1418℃提高到1484℃,析出相的质量数随着温度的降低而增大,但是当温度降低到1000℃以下时其质量百分数基本不变;当氮含量提高到0.021%时(Ti, V)(C, N)的析出开始温度略有提高(为1486℃),其析出数量随着温度的降低而增多。因为0.021%氮促进了V的析出,先析出的(Ti, V)(C, N)作为后续V析出的形核位置,从而使(Ti, V)(C, N)质量百分数呈现增加的趋势,并且使(V, Ti)(C, N)析出数量比其他钢低。Thermo-Calc热力学计算了平衡状态下析出粒子(V, Ti)(C, N)析出粒子析出开始温度,结果在图8中给出。从图8可以看出,随着氮含量的提高,(V, Ti)(C, N)析出温度从806℃提高到1038℃。这表明,增氮能促进(V, Ti)(C, N)析出粒子的析出,与CGHAZ透射的结果一致。
图 7
图 7
不同氮含量实验钢平衡态析出粒子的析出情况
Fig.7
Effect of nitrogen on the particles of steels (a) 30N steel (b) 82N steel (c) 120N steel (d) 210N steel
图8
图8
不同氮含量试验钢平衡态(V, Ti)(C, N)析出粒子的析出温度
Fig.8
Beginning temperature of (V, Ti)(C, N) under equilibrium state
虽然焊接是非平衡过程,但是根据热力学计算结果可以分析焊接热循环过程中析出粒子溶解和析出行为。当将实验钢加热到峰值温度1350℃时,(V, Ti)(C, N)粒子完全溶解,但是CGHAZ中(Ti, V)(C, N)和MnS粒子未完全溶解;在焊接冷却过程中增氮提高了VN粒子的形核能力,使VN依附在在未溶解(Ti, V)(C, N)粒子上析出,从而改变了(Ti, V)(C, N)粒子的形貌和成分。由于VN粒子与铁素体有较小的晶格度配度(1.3%),增氮后VN在(Ti, V)(C, N)析出粒子表面析出,提高了晶内铁素体的形核能力,最终使CGHAZ中生成更多的针状铁素体和多边形铁素体。
不同氮含量的钒微合金钢CGHAZ的显微组织表明,氮含量对CGHAZ的显微组织有较大的影响。氮含量较低时(0.0031%)CGHAZ中晶界铁素体数量较少,晶内是大量尺寸较大的侧板条铁素体组织。从此时CGHAZ的低温冲击断口也可以看出,裂纹在侧板条铁素体组织中直线传播,冲击断口为尺寸较大的河流花样解理面(图9a~c和图10a),此时钢的低温韧性较差。当氮含量为0.012%时在晶界上形成了相对较为细小的晶界铁素体组织,晶内是大量针状铁素体组织。裂纹在传播时遇到晶内针状铁素体组织而受到抑制,在冲击断口上出现大量韧窝状纤维断口,解理面的尺寸也较为细小(图9d~f和图10b)。当氮含量提高到0.021%时,一方面(Ti, V)(C, N)中钒含量最高且铁素体的形核能力最强,使晶界铁素体的数量显著增多,尺寸也明显增大。可以观察到,在冲击断口上二次裂纹主要沿着粗大的晶界铁素体分布,冲击断口上形成的解理面尺寸也大小不一。在晶界部位主要为解理断裂,河流花样尺寸较大;在晶内部位则为解理断裂和韧性断裂混合断裂形成,河流花样的尺寸也相对较小(图9g~i)。
图9
图9
CGHAZ的冲击断口和二次裂纹OM和SEM形貌
Fig.9
OM and SEM micrographs showing impact fracture surface morphologies (a) 30N steel (b) 120N steel
图10
图10
实验钢CGHAZ的冲击断口二次裂纹的EBSD观察
Fig.10
EBSD micrographs showing impact fracture surface morphologies
上述分析结果表明,氮含量对钒微合金钢CGHAZ中V、Ti碳氮化物的析出驱动力、析出物尺寸、成分及数量有显著的影响,不同尺寸和数量的V、Ti碳氮化物析出物通过晶内铁素体形核、阻碍奥氏体晶粒长大等作用机理显著影响CGHAZ的显微组织 [13,14,15],氮含量为0.012%有利于CGHAZ得到细小的晶界铁素体以及晶内铁素体组织,阻碍冲击过程中裂纹的扩展,可显著提高CGHAZ的低温韧性。当氮含量提高到0.021%时,虽然CGHAZ的有效晶粒尺寸最小但是冲击功低于氮含量为0.012%的试验钢。其原因是,一方面CGHAZ中较多的固溶氮使其低温韧性降低,另一方面晶界铁素体尺寸较大时解理裂纹易沿着粗大的晶界铁素体扩展(图9g,h)。因此,氮含量为0.012%的实验钢模拟CGHAZ具有最佳的低温韧性。
4 结论
(1) 氮含量对钒微合金钢焊接热影响区的低温韧性、析出物、冲击断口形貌以及最终的显微组织有显著的影响。氮含量较低(0.0031%)和较高(0.021%)时低温韧性均较低,氮含量为0.012%时焊接粗晶区的低温韧性较好。
(2) 氮含量较低(0.0031%)时CGHAZ中生成少量Ti的碳氮化物,晶界铁素体数量较少,晶内主要是大量尺寸较大的侧板条铁素体组织,冲击断口裂纹易沿着侧板条铁素体直线扩展,低温韧性较差。当氮含量较高(0.021%)时CGHAZ中生成较为粗大的(Ti,V)(C,N),晶界铁素体组织较为粗大,冲击断口裂纹易沿着粗大的晶界铁素体扩展,低温韧性也较差。
(3) 氮含量为0.012%时CGHAZ中生成大量细小的(Ti, V)(C, N)析出物,晶界处的晶界铁素体尺寸较小,晶内是大量针状铁素体组织,都能阻止冲击过程中裂纹的扩展,使低温韧性显著提高。
