材料研究学报(中文版)  2018 , 32 (11): 861-866 https://doi.org/10.11901/1005.3093.2018.265

Orginal Article

退火氧分压对AZO薄膜的透光和导电性能的影响

王艳雪1, 李瑞武1, 范巍2, 郭媛媛1, 周艳文1, 吴法宇1

1 辽宁科技大学表面工程研究所 鞍山 114051
2 辽宁荣信兴业电力技术有限公司 鞍山 114051

Effect of Annealing Oxygen Partial Pressure on Transmittance and Conductivity of AZO Thin Films

WANG Yanxue1, LI Ruiwu1, FAN Wei2, GUO Yuanyuan1, ZHOU Yanwen1, WU Fayu1

1 School of Surface Engineering Institute, University of Science and Technology Liaoning, Anshan 114051, China
2 Liaoning Rongxin Xingye Power Technology Co. Ltd., Anshan 114051, China

中图分类号:  TB34

文章编号:  1005-3093(2018)11-0861-06

通讯作者:  通讯作者 吴法宇,副教授,photon_phonon@163.com,研究方向为光电纳米材料

收稿日期: 2018-04-10

网络出版日期:  2018-11-20

版权声明:  2018 《材料研究学报》编辑部 《材料研究学报》编辑部

基金资助:  国家自然科学基金(51502126和51672119),辽宁科技大学重点实验室开放课题(USTLKFSY201705)

作者简介:

作者简介 王艳雪,女,1991年生,硕士生

展开

摘要

在室温下采用射频磁控溅射粉末靶在玻璃基底上制备掺铝氧化锌(AZO)薄膜,采用扫描电镜、X射线衍射仪、紫外可见分光光度计和霍尔效应仪等手段表征和分析了薄膜的微观结构和光电性能,研究了退火氧分压对薄膜光电性能的影响。结果表明:退火后的AZO薄膜仍具有c轴择优取向的六方纤锌矿结构,薄膜的表面致密光滑;随着退火氧分压的降低AZO薄膜光学带隙变窄、透光率有所降低,但是其值均高于80%;随着退火氧分压的降低载流子浓度显著升高,电导特性明显改善,电阻率最低达到2.1×10-3 Ω·cm。

关键词: 无机非金属材料 ; 掺铝氧化锌薄膜 ; 磁控溅射 ; 氧分压 ; 电学性能 ; 光学性能

Abstract

The transparent conductive films aluminum doped zinc oxide (AZO) was prepared on a glass substrate by RF magnetron sputtering from powder targets. AZO films were annealed by controlling the temperature and oxygen partial pressure. The morphology and microstructure,as well as the optical and electrical properties of the as-deposited and annealed films were characterized by Scanning electron microscope(SEM),X-ray diffraction (XRD),UV-visible Spectrophotometer and the Hall-effect measure-ment.The results show that annealed AZO film keep a (002) preferred orientation hexagonal wurtzite structure, and the smooth and compact surface. With the decrease of annealing oxygen partial pressure the optical band gap becomes narrow, and the transmittance of AZO films decreases slightly but still above 80%. As the annealing oxygen partial pressure decreases, the electrical conductivity of AZO films is significantly improved with evident increase of charge carrier concentration. The resistivity is reduced to 2.1×10-3 Ω·cm.

Keywords: Inorganic non-metallic materials ; AZO film ; RF magnetron sputtering ; oxygen partial pressure ; electrical property ; optical property

0

PDF (3716KB) 元数据 多维度评价 相关文章 收藏文章

本文引用格式 导出 EndNote Ris Bibtex

王艳雪, 李瑞武, 范巍, 郭媛媛, 周艳文, 吴法宇. 退火氧分压对AZO薄膜的透光和导电性能的影响[J]. 材料研究学报(中文版), 2018, 32(11): 861-866 https://doi.org/10.11901/1005.3093.2018.265

WANG Yanxue, LI Ruiwu, FAN Wei, GUO Yuanyuan, ZHOU Yanwen, WU Fayu. Effect of Annealing Oxygen Partial Pressure on Transmittance and Conductivity of AZO Thin Films[J]. Chinese Journal of Material Research, 2018, 32(11): 861-866 https://doi.org/10.11901/1005.3093.2018.265

掺铝氧化锌(AZO)薄膜是一种光学透明导电薄膜,在可见光区的透光性能非常好,可用于制造节能玻璃、发光二极管以及薄膜太阳能电池基板。与ITO(Sn掺杂In2O3)薄膜相比,AZO薄膜的电学与光学特性与其相似[1]。但是AZO薄膜的原料丰富、价格低廉、无毒、易于掺杂、热稳定性好和制备温度低,是最具潜力的透明导电薄膜。

制备AZO薄膜的方法,有磁控溅射法[2]、脉冲激光沉积法[3]、化学气相沉积法[4]、超声喷雾热解法[5]和溶胶-凝胶法[6]等。磁控溅射法的沉积速率高,制备出的薄膜附着力较大,表面光滑且生长参数易于控制。以往用磁控溅射法制备透明导电薄膜,大多以陶瓷[7]为靶材。但是进口的陶瓷靶价格高,自制陶瓷靶的烧结温度高,工艺复杂且成本高。陶瓷靶有固定的刻蚀范围,击穿开裂后不能再用。而粉末靶的制作工序简单,成分可控且可重复使用。P. J. Kelly等[8]使用粉末靶磁控溅射成功制备出高质量的AZO薄膜。

在薄膜的制备过程中,薄膜与衬底之间较大的晶格失配和热膨胀系数差导致AZO薄膜的结晶性差并产生残余应力。同时,掺杂原子难以固溶到基体中形成有效掺杂[9],特别是在室温下沉积薄膜。真空退火可在一定程度上改善薄膜的结晶性能,提高氧空位浓度和电导率,是消除应力最有效和便捷的方法[10]。本文使用射频磁控溅射粉末靶制备AZO薄膜,并对其在不同温度和氧分压下退火,研究退火温度对晶格有序度和氧分压对氧空位的影响。

1 实验方法

使用射频反应磁控溅射粉末靶制备AZO薄膜(使用AE600X型射频电源),靶材为自制粉末靶。将质量分数为99. 99%的Al2O3按原子百分比3%与质量分数为99.99%的ZnO混合,制备粉末靶。

AZO薄膜的制备:以载玻片作为基体,将其依次用丙酮、酒精和去离子水超声清洗15 min,用氮气吹干后放入镀膜机的真空腔内,本底真空度达到3×10-3 Pa时通入10 sccm质量分数为99.9%的氩气。溅射镀膜的工作压强为0.1 Pa,溅射功率为300 W,沉积时间为70 min。

对AZO薄膜进行退火处理:(1)退火炉达到实验所需的真空度后开始加热,升温速率为1℃/s,在60℃—110℃—200℃分别保温5 min以去除薄膜表面吸附水蒸气等吸附物,加热到450℃后在目标氧分压下退火1 h。(2)退火炉的真空度达到2.5×10-4 Pa氧分压时开始加热,分别在350℃、400℃、450℃和470℃退火1 h。

使用Sigma HD场发射扫描电子显微镜(SEM)分析薄膜的形貌;使用X'Pert Pro X射线衍射仪(X-ray diffraction,XRD)的小角衍射模块分析薄膜物相结构;使用Lambda 900紫外–可见分光光度计测试薄膜透光率;用Hall 8800霍尔效应仪测试薄膜的电学性能。

2 结果和讨论

2.1 退火氧分压的影响

2.1.1 AZO薄膜的形貌 图1给出了AZO薄膜在不同氧分压下450℃退火的SEM照片,可见AZO薄膜的结构比较致密,表面颗粒较小。退火氧分压较高时薄膜的颗粒增大,随着退火氧分压的降低薄膜的颗粒尺寸变小,氧分压降低至2.5×10-4 Pa时颗粒粒径明显减小。退火氧分压较高时退火气氛中的氧与氧空位复合且与锌原子结合[11],在晶粒之间起桥接作用使晶粒合并长大。随着退火氧分压的降低使氧空位复合的几率降低,晶粒尺寸减小,退火氧分压降低到2.5×10-4 Pa时晶粒迅速减小。此时进入晶格间隙的氧远少于从晶格中脱离的氧,氧空位迅速增多,晶格受到内应力,因此晶粒变小。

图1   在不同氧分压下退火的AZO薄膜的SEM照片

Fig.1   SEM of AZO films annealed at different oxygen partial pressure (a) unannealed; (b) 4.2×10-2 Pa; (c) 3.2×10-3 Pa; (d) 2.5×10-4 Pa; (e)3.2×10-5 Pa

2.1.2 AZO薄膜的结构 图2给出了AZO薄膜在不同氧分压下退火的XRD图,可见AZO具有ZnO典型的六角纤锌矿结构[12]。在所有样品的谱中都出现了较强的(002)衍射峰表现出较强的c轴择优取向,薄膜内的晶粒倾向于沿着(002)轴柱状生长。随着氧分压的降低退火样品的(002)衍射峰峰位由未退火时的34.25°偏移至34.45°、34.40°、34.37°、34.32°,均向大角度方向偏移。其原因是,退火使薄膜内的位错和堆垛层错减少,并且退火气氛中的氧在一定程度上与氧空位复合,薄膜内点缺陷减少使薄膜内应力降低和晶格完整度提高。而随着氧分压的降低峰位向小角发生偏移,因为AZO中的氧脱离晶格的速度大于退火气氛中的氧进入的速度,氧空位缺陷增加使衍射峰向小角度偏移。

图2   在不同氧分压下退火的AZO薄膜的X射线衍射谱

Fig.2   XRD patterns of AZO films annealed at different oxygen partial pressure (a) in a wide range of angles ;(b) (002) peaks in detail

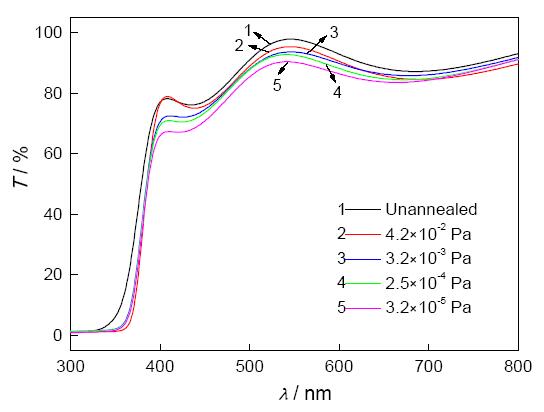
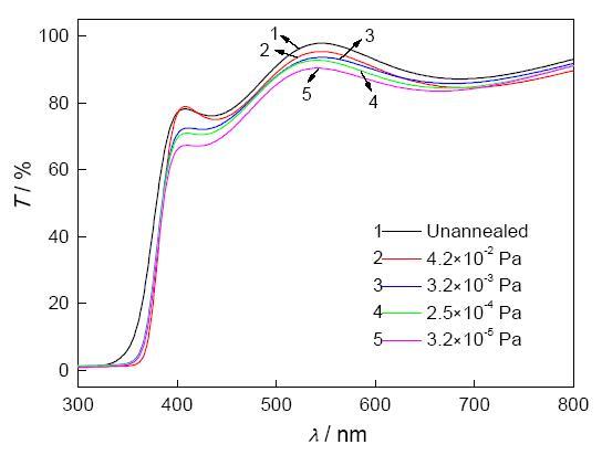
2.1.3 薄膜的光学性能 图3给出了AZO薄膜在不同氧分压下退火的透光率曲线,可见各样品在400~800 nm的范围内的透光率均高于80%。退火后的薄膜在可见光波段范围内的透光率低于初始薄膜,吸收限向长波方向移动,并且随着退火氧分压的降低透光率也逐渐降低,最低降至83.24%(见表1)。随着退火氧分压的降低氧空位浓度增加,缺陷能级增多,从而使AZO薄膜在可见光范围内的吸收增强,透光率下降;其次,退火氧分压的降低使晶粒尺寸减小,晶界散射和晶格散射增强,也使透光率下降。吸收限向长波方向移动可归因于随着退火氧分压降低,氧空位增加使薄膜的金属性增强,带隙变窄,吸收限向长波方向移动。

图3   在不同氧分压下退火的薄膜的透射光谱

Fig.3   Transmittance of AZO films annealed at different oxygen partial pressure

表1   在不同氧分压下退火的AZO薄膜的光电性能

Table 1   Transmittance and conductivity of AZO films annealed at different oxygen partial pressure

Oxygen pressure
/Pa
Transmittance
/%
Resistivity
10-2/Ωcm
Carrier concentration
1017/cm3
Mobility
/cm2v-1s-1
unannealed88.536860.2634.86
4.2×10-287.635971.198.76
3.2×10-386.981726.435.63
2.5×10-486.272.0318631.66
3.2×10-584.560.2128281.09

新窗口打开

2.1.4 薄膜的电学性能 表1给出了AZO薄膜在不同氧分压下退火的光电性能,可见退火AZO薄膜的电阻率明显降低,且随着退火氧分压的降低电阻率变小,载流子浓度增加,迁移率降低。公式 ρ=1nqμ(其中,n是载流子浓度,q是荷电常数,µ是载流子的迁移率)表明,电阻率反比于载流子浓度和迁移率的乘积。

退火氧分压较高时退火气氛中的氧在一定程度上与氧空位复合,在晶粒之间起到搭桥作用使晶粒合并长大,晶界减少易于载流子迁移,导致载流子浓度较低而迁移率较高。在退火过程中随着退火氧分压的降低晶格中处于弱束缚状态下的氧离子被释放,氧空位浓度迅速增加,而晶粒尺寸减小使晶界增多,晶界散射的增加导致迁移率下降。由于电阻率与载流子浓度和迁移率成反比,尽管在氧分压降低的过程中迁移率降低,但是载流子浓度的增加更为明显,对电阻率的影响占主导地位,因此电阻率降低。在2.5×10-4 Pa氧分压下退火的样品,电阻率迅速下降了两个数量级,AZO薄膜已具备了较高的透光性和导电性的良好匹配。

2.2 退火温度的影响

2.2.1 薄膜的形貌 图4给出了在不同温度退火的AZO薄膜的表面形貌。可以看出,未退火的AZO薄膜呈现细小的颗粒状,表面不均匀。由于所有退火样品的氧分压都是2.5×10-4 Pa,在没有充分氧的影响时温度对AZO形貌影响不大,退火AZO薄膜表面的颗粒大小并没有明显的变化。但是在470℃退火的薄膜表面起伏较大,有明显的凹坑,是加热时玻璃软化(正常软化温度在500℃左右)的影响。因此,在实际生产中必须考虑基体材质的影响,不能只靠提高退火温度来改善薄膜性能。

图4   在不同温度退火的AZO薄膜的SEM照片

Fig.4   SEM of AZO films annealed at different temperatures (a) unannealed; (b) 350℃; (c) 400℃; (d) 450℃; (e) 470℃

2.2.2 薄膜的结构 图5给出了AZO薄膜在不同退火温度下的样品的XRD谱,可见AZO薄膜仍具有六角纤锌矿结构且有着较强的c轴择优取向;随着退火温度的提高谱中(002)衍射峰的位置从34.26°向右偏移到34.43°,表明退火薄膜的衍射峰位与标准的ZnO晶体衍射峰位置(34.45°)非常接近,标志着退火薄膜的晶格完整度提高。随着退火温度的提高原子活动能力增大,原先“冻结”的空位、填隙原子以及位错减少或者移到表面和晶界而消失,非平衡缺陷大量消失使应力释放[13],晶格有序度提高,衍射峰均向右偏移。

图5   在不同温度退火的AZO薄膜的X射线衍射谱

Fig.5   XRD patterns of AZO films annealed at different temperatures (a) in a wide range of angles; (b) (002) peaks in detail

2.2.3 薄膜的光学性能 图6给出了AZO薄膜在不同退火温度下的透光率曲线,可见在400 nm~800 nm范围内AZO薄膜的透光率都高于85%。未退火的AZO薄膜透光率为88.53%,退火后的样品透光率降低至86.24%(表2),且退火后吸收限向长波方向移动。其原因是,退火温度的提高使氧空位迅速增加导致点缺陷增多,对光的散射增强,透光率下降。但是,XRD的结果表明,随着退火温度的提高晶格有序度提高,薄膜对光散射降低,使透光率上升,在一定程度上弥补了氧空位增多给透光率带来的的损失。同时,晶格内氧离子的减少使薄膜的金属性增强,ZnO带隙减小,吸收限向长波方向移动,但是移动的距离明显小于氧分压对吸收限的影响。因此,退火温度对薄膜透光率的影响并没有退火氧分压的影响明显。

图6   在不同温度退火的薄膜的透射光谱

Fig.6   Transmittance of AZO films annealed at different temperatures

表2   退火温度不同的AZO薄膜的光电性能

Table 2   Transmittance and conductivity of AZO films annealed at different temperatures

Temperature/℃Transmittance/%Resistivity
10-2/Ωcm
Carrier concentration
1017/cm3
Mobility
/cm2v-1s-1
Unannealed88.536860.2634.86
35087.806.4276.4112.72
40086.933.52765.72.32
45086.272.0318631.66
47086.241.42292.515.02

新窗口打开

2.2.4 薄膜的电学性能 表2给出了AZO薄膜的电阻率、载流子浓度以及迁移率随退火温度的变化。可以看出,随着退火温度从350℃提高到450℃样品的载流子浓度增加,迁移率下降。在2.5×10-4 Pa氧分压退火时进入晶格间隙的氧远少于从晶格中脱离的的氧,AZO薄膜的氧析出提高了氧空位的浓度,因此退火薄膜的载流子明显增多。其次,并不是AZO薄膜所有的Al都能实现有效掺杂,一部分在晶界处形成电中性的Al2O3,还有的被其他受主缺陷补偿(Oi,VZn等)[14]。因此,随着退火温度的提高载流子增多,说明原先未取代锌离子的铝原子因温度的升高被激活而更好的固溶进ZnO中,提供了自由电子。迁移率下降的原因是,随着退火温度的提高晶体点阵原子热振动加剧,阻碍载流子的迁移。尽管如此,载流子浓度的明显提高使样品的电阻率呈下降趋势。而在470℃退火时载玻片的软化[15]影响了薄膜连续性,使载流子浓度大幅度下降。

3 结论

使用射频磁控溅射粉末靶制备的AZO薄膜,在不同温度和氧分压下退火后表面光滑平整,仍具有(002)择优取向的六方纤锌矿结构,晶格有序度提高但是氧空位增多;随着退火温度的提高薄膜表面形貌没有明显变化,透光率略有下降,在450℃退火的薄膜载流子浓度提高到1.86×1020/cm3,电阻率降低到2.03×10-2 Ω·cm;此温度下,随着退火氧分压的降低薄膜表面颗粒尺寸逐渐减小,透光率由88.5%逐渐下降至84.5%,且吸收限向长波方向移动,退火氧分压为3.2×10-5 Pa的薄膜载流子浓度最高,达到2.83×1020/cm3,电阻率降低到2.13×10-3 Ω·cm。

The authors have declared that no competing interests exist.


/