Chinese Journal of Material Research  2016 , 30 (6): 427-437 https://doi.org/10.11901/1005.3093.2015.691

研究论文

莫来石填充的聚四氟乙烯复合材料及其摩擦学性能*

李翠, 孙桃, 石国军, 袁月, 张辰恺

扬州大学化学化工学院 扬州 225002

Polytetrafluoroethylene Composites Filled with Mullite and their Tribological Performance

LI Cui, SUN Tao, SHI Guojun**, YUAN Yue, ZHANG Chenkai

School of Chemistry and Chemical Engineering, Yangzhou University, Yangzhou 225002, China

中图分类号:  TH117TQ325

文章编号:  1005-3093(2016)06-0427-11

通讯作者:  **To whom correspondence should be addressed, Tel: (0514)87937661, E-mail: gjshi@yzu.edu.cn

收稿日期: 2015-12-3

网络出版日期:  2016-06-25

版权声明:  2016 《材料研究学报》编辑部 《材料研究学报》编辑部

基金资助:  * 江苏省自然科学基金BK2012681, 教育部博士点基金20123250120008和江苏省优势学科资助项目

展开

摘要

采用机械混匀、带温预压、烧结等工艺制备了莫来石填充的聚四氟乙烯(PTFE)复合材料, 通过万能材料试验机、X射线衍射仪(XRD)、静态热机械分析仪(TMA)分别表征了复合材料的力学性能、物相和热学性质; 研究使用MRH-3型高速环块磨损试验机来测试复合材料的耐摩擦磨损性能, 借助场发射扫描电子显微镜研究了复合材料摩擦面形貌并分析摩擦磨损机理。结果表明: 莫来石在PTFE体系中起填充增强作用, 改性聚四氟乙烯复合材料的弹性模量显著增加; 莫来石的填充提高了聚四氟乙烯的玻璃化转变温度, 其平均线膨胀系数也呈下降趋势; 当莫来石的质量分数由0增加至50%时, 复合材料的摩擦系数呈先降低、后升高的趋势, 复合材料的耐磨损性能显著改善; 当莫来石的质量分数为40%时, 其磨损率降低至纯聚四氟乙烯的1/530。

关键词: 复合材料 ; 聚四氟乙烯 ; 莫来石 ; 摩擦系数 ; 磨损率

Abstract

Polytetrafluoroethylene (PTFE) composites filled with mullite were prepared by mechanical blending, heat compression and then sintering at elevated temperature. The mechanical properties, crystal structure and thermal properties were characterized by universal material testing machine, X-ray diffraction (XRD) and thermal mechanical analysis (TMA), respectively. The friction coefficient and wear rate of the prepared PTFE composites were tested by an MRH-3 high speed friction and wear tester, and the surface morphologies of the composites after friction test were analyzed by a field-emitting scanning electron microscope. It was found that mullite fillings were well dispersed in PTFE, and the thermal and mechanical properties of the composites were enhanced, such as modulus of elasticity, glass transition temperature and average linear expansion coefficient. The friction coefficients of the prepared composites with mullite fillings less than 10% (mass fraction) were smaller than that of pure PTFE, and the larger friction coefficient was found for those with higher among of mullite fillings. It was more important to find that the wear rate of the composites filled with 40% (mass fraction) of mullite fillings decreased to 1/530 of that for the pure PTFE.

Keywords: composite ; PTFE ; mullite ; friction coefficient ; wear rate

0

PDF (1194KB) 元数据 多维度评价 相关文章 收藏文章

本文引用格式 导出 EndNote Ris Bibtex

李翠, 孙桃, 石国军, 袁月, 张辰恺. 莫来石填充的聚四氟乙烯复合材料及其摩擦学性能*[J]. , 2016, 30(6): 427-437 https://doi.org/10.11901/1005.3093.2015.691

LI Cui, SUN Tao, SHI Guojun, YUAN Yue, ZHANG Chenkai. Polytetrafluoroethylene Composites Filled with Mullite and their Tribological Performance[J]. Chinese Journal of Material Research, 2016, 30(6): 427-437 https://doi.org/10.11901/1005.3093.2015.691

聚四氟乙烯(PTFE)具有优异的自润滑性能、耐高低温性能和化学稳定性能, 以及良好的电绝缘性能、不燃性能和耐候性能[1-4], 是航空航天、机械、石油化工等工业领域不可缺少的材料之一。但由于聚四氟乙烯非极性、表面能和内聚能密度极低的特点, 因此在摩擦过程中在偶件表面所形成转移膜的附着能力较差而导致耐磨损性能不佳。此外, 聚四氟乙烯材料还具有易蠕变, 线膨胀系数大等缺点[5, 6]。目前, 为提高聚四氟乙烯(PTFE)的综合性能, 研究人员一直致力于它的改性研究。

PTFE的改性主要包括填充改性、共混改性和化学改性[7-9]。由于纯聚四氟乙烯磨损性能低, 研究人员通过填充纳米氧化铝[10, 11]、MoS2[12]、纤维[13]及其他的无机粉末[14-17]等填料对PTFE进行改性, 结果表明适量的无机填料均可提高聚四氟乙烯材料的摩擦学性能。莫来石具有一定的强度和断裂韧性[18, 19], 可用来改善聚丙烯的力学性能和结晶性能[20, 21]以及改善丁苯橡胶的固化特性[22]。由于聚四氟乙烯本身优异的自润滑性能、耐高温性能和化学稳定性, 填充改性后的复合材料能够应用于温度更高、条件更复杂的摩擦磨损场合, 拓宽其使用范围。如在石油采掘的有杆抽油系统中, 通过在抽油杆接箍上外衬工程塑料能够显著改善杆管偏磨, 延长杆管使用寿命。但是在井深较大的场合, 由于地层温度较高, 一些工程塑料不能使用, 而改性得到的耐磨耐高温的PTFE复合材料能显著改善有杆抽油系统中杆管偏磨现象, 延长修井周期。

本文采用莫来石填充PTFE复合材料, 通过带热预压、烧结、冷压的方法制备聚四氟乙烯复合材料, 考察了复合材料的力学性质、热学性质和摩擦学性能, 以期改性后的复合材料能够用于有杆抽油的系统中具有较高地层温度的杆管偏磨场合。

1 实验方法

1.1 原料及试样制备

试验所用的PTFE原料由大金氟化工有限公司生产, 平均粒径为25 μm; 莫来石由郑州市中天特种氧化铝有限公司生产, 粒径小于320目。

将与PTFE的质量比为0%、10%、20%、30%、40%、50%的莫来石与PTFE放入高速万能粉碎机中进行共混, 由于聚四氟乙烯在温度较高时易团聚, 因此每次搅拌10 s, 冷却5 min, 重复5-6次, 得到较均匀的混合物。先在250℃下对混合物带热预压, 再在370℃下烧结1 h, 然后经冷压快速冷却制成样品, 最后通过切割、冲片得到待测试样。纯PTFE和莫来石的质量分数为10%、20%、30%、40%、50%的PTFE复合材料分别用PTFE、PTFE+10%Mul、PTFE+20%Mul、PTFE+30%Mul、PTFE+40%Mul、PTFE+50%Mul表示, 莫来石用Mul表示。

1.2 试验方法

物相分析: 采用Tensor27型红外光谱仪(FT-IR)进行测定, 样品加入KBr压片, 测试范围为4000-400 cm-1, 扫描次数32次, 波数精度≤0.1 cm-1, 分辨率<0.3 cm-1。同时采用D8 Advance型X射线衍射仪(XRD)测试物相, Cu靶, Ni滤波, 管压40 kV, 管流40 mA, 扫描范围10°-80°(2θ)。

拉伸性能试验: 试样的拉伸应力-应变行为按GB/T 1040.1-2006标准在3119-409型万能材料试验机上进行测试, 试样为哑铃型试样, 平直部分尺寸为46.0 mm×5.6 mm×2.0 mm, 拉伸速率10 mm/min, 试验温度为室温, 每种材料至少取5个样。

洛氏硬度试验: 用XHRD-150型洛氏硬度计测量样品的硬度, 硬度标尺选E标尺, 压头直径为3.175 mm, 初试验力为98.07 N, 主试验力为980.7 N。

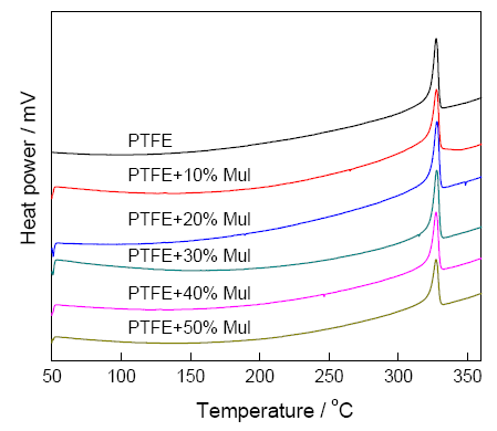
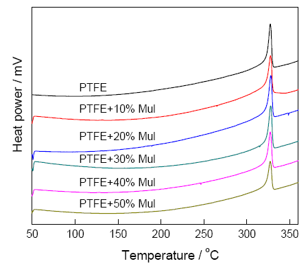
热学性质测试: 在DSC 8500型差示扫描量热仪(DSC)上进行, 氮气流量20 mL/min, 升温速率10℃/min。

热膨胀系数和玻璃化转变温度测试: 在TMA/SS 6300型热机械分析仪(TMA)上进行测试, 先从30℃开始, 以3℃/min升至350℃, 然后降温至30℃以消除热历史, 最后再次从30℃以3℃/min升至350℃摄谱。测试过程中的负重保持为100 mN。

摩擦磨损试验: 在MRH-3型高速环块磨损试验机上进行, 干摩擦条件下对纯PTFE进行60 min试验, 其余样品进行120 min试验, 对摩偶件为45#钢环, 载荷200 N, 转速200 r/min, 大气环境, 室温条件, 其中PTFE及其与莫来石的复合材料的平均摩擦系数均为3次测量的平均值, 体积磨损率为在单位试验力(1 N)下滑动单位距离(1 m)时的体积损失量, 纯PTFE的摩擦时间为1 h(因为其磨损较快), 其余莫来石填充的PTFE复合材料的摩擦时间为2 h。实验前对摩偶件需用200#金相砂纸打磨至相同的表面粗糙度(Ra: 0.51-0.76 μm), 然后用丙酮超声清洗干净。

磨损面形貌观察: 分别采用S-4800型场发射扫描电子显微镜(SEM)和Zeiss LSM型激光共聚焦扫描显微镜观察并分析了PTFE及其复合材料的磨损表面形貌。由于PTFE复合材料不导电, 因此在SEM分析前需对材料的磨损表面进行喷金处理。

2 结果与讨论

2.1 填料对复合材料微观结构的影响

2.1.1 红外光谱分析 图1是莫来石、纯PTFE以及PTFE+10%Mul复合材料的红外光谱图。可以看出, PTFE在1212 和1153 cm-1处有两个较强的峰, 它们为-CF2-的反对称和对称伸缩振动峰, 637 cm-1处的峰为C-F的弯曲振动峰, 而555和504 cm-1处为C-F键的变形振动的吸收带[23]。莫来石谱图中的1164、912、822、567和463 cm-1处的峰均为莫来石的特征吸收峰[24]。而从PTFE+10%Mul复合材料的红外光谱图可以看出, 在3685和3425 cm-1处出现了两个宽的氢键的吸收峰, 证明PTFE基体与莫来石颗粒之间有氢键作用力存在, 这可能是因为在高温压片的过程中, 空气中的水在莫来石表面形成了羟基, 而羟基与PTFE中的F形成氢键从而增强了莫来石与PTFE之间的界面结合[25]

图1   PTFE、莫来石及PTFE-莫来石复合材料的红外光谱

Fig.1   FT-IR spectra of the PTFE, mullite and mullite-PTFE composite

2.1.2 物相分析 图2给出了PTFE以及不同质量分数莫来石填充的PTFE复合材料的XRD谱。可以看出, 纯PTFE样品在17.9°、31.4°和36.5°存在3个主要的衍射峰, 通过与标准卡片进行对照, 证实为纯PTFE的特征衍射峰。填充莫来石以后, 在复合材料的XRD谱中的16.4°、25.9°和26.2°等处发现了莫来石的特征衍射峰, 与标准卡片对照发现它为斜方晶系。随着莫来石填充量的增加, PTFE的特征衍射峰强度下降, 莫来石特征衍射峰强度增加, 这可能是由于PTFE相对质量分数下降, 莫来石相对浓度增加所致。添加莫来石的聚四氟乙烯复合材料的XRD特征衍射峰强度下降也表明了莫来石没有起到显著的异相成核作用, 这应归因于莫来石的相对较大的尺寸。

图2   PTFE、莫来石及PTFE-莫来石复合材料XRD谱

Fig.2   XRD patterns of the PTFE, mullite and PTFE-mullite composites

2.2 填料对复合材料力学性能的影响

2.2.1 拉伸性能 图3是莫来石填充的PTFE复合材料拉伸应力与应变随莫来石质量分数变化的关系曲线。可以看出, 纯PTFE拉伸强度为31.6 MPa。当莫来石的质量分数为10%时, 复合材料的拉伸强度增加到32.6 MPa。进一步增加莫来石的质量分数导致复合材料的拉伸强度降低。当莫来石的质量分数为50%时, 复合材料的拉伸强度为16.9 MPa。莫来石填充改性的PTFE复合材料的断裂伸长率随着填料质量分数的增加呈下降趋势。纯PTFE的断裂伸长率为220%。值的注意的是, 当莫来石的质量分数达到50%时, 其断裂伸长率仍然高达151%, 其韧性保持得相当好。图4比较了不同莫来石质量分数的PTFE复合材料的拉伸模量。可以看出, PTFE复合材料的拉伸模量一直随莫来石质量分数的增加而增加, 从430 MPa增加至1160 MPa左右, PTFE+50%Mul复合材料的弹性模量为纯PTFE的近3倍。

图3   PTFE-莫来石复合材料拉伸性能随莫来石质量分数的变化曲线

Fig.3   Variations of tensile properties of PTFE-mullite composites with mass fraction of mullite

图4   PTFE-莫来石复合材料弹性模量随莫来石质量分数的变化图

Fig.4   Variations of elastic modulus of PTFE-mullite composites with mass fraction of mullite

图5是纯PTFE材料和不同质量分数莫来石填充改性的PTFE复合材料的拉伸断口形貌图。由图5a可以看出, 纯PTFE材料断口处平整, 没有出现明显的裂纹和空洞, 这是因为纯PTFE材料没有屈服点, 属于一种韧性材料, 本身就具有较高的拉伸强度。可以看出, 当莫来石质量分数为10%时(图5b), PTFE复合材料在被拉断时出现了垂直于断面的丝状条状物, 其原因可能是复合材料受力使得PTFE大分子沿着施力方向高度取向, 后因为材料的断裂外力忽然消失, 大分子不能完全缩回, 这也是聚合物及其复合材料粘弹性的一种体现, 这种现象呈现出了典型的韧性断裂特征[26]。莫来石质量分数较低时(本实验中即为10%时), PTFE复合材料断面排列相对整齐并且密实, 没有大量的聚集块, 说明没有团聚现象, 界面结合较好, 莫来石在基体材料中能够很好地被分散, 而且莫来石和基体材料之间有着较强的相互作用, 从而莫来石在基体材料中起到连接增强和传递应力的作用, 所以填充改性得到的PTFE复合材料比纯的PTFE的拉伸强度有所增加。随着莫来石填料质量分数的增加, 它在基体中的分散性有所下降, 连接增强和传递应力的能力下降。由图5c-f可以看出, 随着莫来石质量分数的增加, 莫来石和PTFE不能很好地相互作用致使界面结合能力变弱, 逐渐出现聚集块, 而且在断口形貌中可见莫来石与基体脱粘, 在无机填料四周出现越来越多的空隙, 过多的莫来石填料将一定程度上破坏PTFE复合材料的连续性, 从而使材料内部出现微观缺陷[13], 说明两者之间的亲和性变差, 因此通过莫来石填充改性PTFE获得的强度提高是有限度的, 过多的填充反而导致拉伸强度降低。

图5   PTFE及PTFE-莫来石复合材料的拉伸断口形貌

Fig.5   Tensile fracture morphologies of PTFE and PTFE-mullite composites containing different mass fractions of mullite, (a) PTFE, (b) PTFE+10%Mul, (c) PTFE+20%Mul, (d) PTFE+30%Mul, (e) PTFE+40%Mul, (f) PTFE+50%Mul

同时由于莫来石颗粒与PTFE基体结合形成的界面为有机-无机界面, 当受到的张力增加到一定程度时, 填料与基体有脱粘的倾向, 产生微小空洞, 导致其断裂伸长率随着填料质量分数的增多而下降[27]。但是莫来石被基体牢固粘附不能轻易被拔出, 使改性后的复合材料仍具备较高的拉伸强度和断裂伸长率[28]

图5中均没有发现PTFE复合材料中大量团聚的现象, 莫来石都较为均匀的分散在PTFE基体材料中。在拉伸形变过程中, 应力可以通过有机-无机界面转移到弹性模量较大的无机刚性材料莫来石上, 从而提高PTFE复合材料的拉伸模量。而且PTFE复合材料中含有莫来石使拉伸时需要消耗更大的拔出功, 对复合材料力学性能有一定的增强作用。弹性模量是材料抵抗弹性形变能力大小的尺度, 也从微观上表征了材料中分子和/或原子间相互结合的紧密程度。弹性模量越大, 代表了PTFE复合材料在摩擦过程中抵抗塑性形变的能力越高[29], 在相同条件下也意味着材料在摩擦副中对摩时抗摩擦磨损能力越强[30]

2.2.2 洛氏硬度 图6给出了莫来石填充改性的PTFE复合材料硬度随填充量变化的关系曲线。可以看出, 当莫来石的质量分数小于20%时, 随着莫来石质量分数的增加, 复合材料的洛氏硬度增加明显。但当莫来石的质量分数大于20%时, 随着莫来石质量分数的增加, 复合材料的洛氏硬度逐渐降低, 甚至低于纯PTFE的硬度。这是因为少量的莫来石可以和聚四氟乙烯分子之间形成较强的相互作用, 以高度分散状态存在于聚四氟乙烯树脂中; 莫来石本身具有比基体材料高得多的硬度, 在基体材料中可以充当刚性支撑点和物理交联点的作用, 限制了聚四氧乙烯分子的运动, 能够有效地承担和传递荷载, 起到了填充增强的作用, 从而提高了基体材料抵抗应力变形的能力和材料的硬度。较高的硬度表明了材料提高的承载能力, 可以降低材料在摩擦面的磨痕宽度, 有利于提高复合材料的耐磨损性能[16]。但当莫来石的质量分数较高时, 莫来石颗粒在基体中的分散性有所下降, 连接增强和传递应力的能力下降。过多的无机填料将一定程度上破坏PTFE复合材料的连续性, 复合材料内部的缺陷也会增多[13], 从而导致复合材料的硬度下降。

图6   PTFE及PTFE-莫来石复合材料洛氏硬度随莫来石质量分数的变化曲线

Fig.6   Variations of hardness of PTFE and PTFE-mullites composites with mass fraction of mullite

2.3 填料对复合材料热学性能的影响

2.3.1 差示扫描量热分析(DSC) 通过公式(1)[31, 32]计算由DSC法测定的结晶度(Xc)

Xc=Hm/(Hm0×α)(1)

式中, △Hm0—完全结晶试样的熔融热, 经验值为69 J/g; △Hm—试样的熔融热, J/g; α—复合材料中PTFE树脂的质量分数。

图7给出了PTFE及莫来石和碳纤维的PTFE复合材料的DSC图, 计算分析结果见表1。可以看出, 当莫来石的质量分数为10%时, 复合材料的结晶度明显增加, 而再增加莫来石的质量分数后, 复合材料的结晶度与纯PTFE几乎一样, 说明少量的莫来石对PTFE熔体冷却结晶起到一定的异相成核作用。而结晶度的增加一般意味着材料硬度的增加和耐磨性增强[33]。其次, 经过莫来石的PTFE复合材料的玻璃化转变温度和熔点与纯的PTFE几乎一样。研究通过物理填充来提高PTFE复合材料的耐摩擦磨损性能, 填料和基体材料PTFE之间主要靠较弱的范德华力作用, 填料在试验条件下是不能熔融的, 因此不大可能会改变基体材料的熔点。玻璃化转变温度变化不明显, 一方面可能是由于莫来石的填充较为紧密, 在无机填料的周围并未产生能使基体分子链段自由活动的空间, 从而没有降低其玻璃化转变温度; 另一方面, 也可能是由于填料和基体材料主要靠范德华力相互作用, 没有显著的物理交联和化学交联来引起其交联度的上升, 从而未造成其耐热性能的显著增强。

图7   PTFE及PTFE-莫来石复合材料的DSC图

Fig.7   DSC curves of PTFE and PTFE-mullite composites

表1   PTFE及其复合材料的量热性质

Table 1   Thermal properties of PTFE and PTFE-mullite composites

SampleGlass transition
temperature /℃
Melting point /℃Melting heat
/(J/g)
Degree of
crystallinity/%
PTFE322.8327.420.7330.04
PTFE+10%Mul322.1327.623.2637.08
PTFE+20%Mul323.0327.917.3130.10
PTFE+30%Mul323.2327.816.9531.93
PTFE+40%Mul322.4327.315.3431.12
PTFE+50%Mul322.4327.313.7329.85

新窗口打开

2.3.2 静态热机械分析(TMA) 图8给出了纯PTFE以及不同质量分数的莫来石填充的复合材料的TMA图, 由此计算得到的复合材料的平均线膨胀系数和玻璃化转变温度概括见表2。从图8表2可以看出, 纯PTFE和由莫来石填充的PTFE复合材料在30℃至160℃之间的线膨胀系数在1.10×10-4-1—1.31×10-4-1之间, 且由莫来石填充的复合材料的线膨胀系数均不大于纯PTFE的线膨胀系数。当莫来石的质量分数增加到50%时, 其在30℃至160℃之间的平均线膨胀系数由1.31×10-4-1降至1.10×10-4-1。线膨胀系数对于复合材料用于金属材料的外衬十分重要。金属的线膨胀系数较小, 钢的平均线膨胀系数约为1×10-5-1。在实际应用中, 如果通过外衬制得的抽油杆复合接箍(钢塑复合件, 本体为N80钢接箍, 外衬耐磨耐高温的高分子复合材料)中塑料的线膨胀系数大很多, 就有可能导致抽油杆接箍的外衬材料在受热的条件下脱落或隆起, 从而影响其使用效果和寿命。结果表明, 经过莫来石填充改性的PTFE复合材料的线膨胀系数保持在一个较低的值, 有利于这一改性PTFE复合材料在钢塑复合抽油杆接箍中的应用。

图8   PTFE及PTFE-莫来石复合材料的TMA图

Fig.8   TMA curves of PTFE and PTFE-mullite composites containing different mass fractions of mullite

表2   PTFE及其复合材料的平均线膨胀系数及玻璃化温度

Table 2   Average values of coefficient of linear expansion and glass transition temperature of PTFE and PTFE-mullite composites

SampleCoefficient of linear
expansion (×10-4-1)(30-160℃)
Glass transition
temperature/℃
PTFE1.31307.4
PTFE+10% Mul1.24311.3
PTFE+20% Mul1.31309.0
PTFE+30% Mul1.26310.6
PTFE+40% Mul1.31310.0
PTFE+50% Mul1.10311.0

新窗口打开

当温度升高, 达到300℃左右时, 基体和改性的PTFE复合材料的线膨胀系数急剧增加, 由此可以通过静态热机械分析图求得材料的玻璃化转变温度。从表2可以得出, 经过莫来石填充改性的PTFE复合材料的玻璃化转变温度在309℃至312℃之间, 都比纯PTFE的玻璃化转变温度307.4℃大, 此结果表明, 莫来石的填充提高了PTFE材料的玻璃化转变温度。

2.4 填料对复合材料摩擦学性能的影响

图9给出了含不同质量分数莫来石的PTFE复合材料在室温条件下干摩擦系数随滑动距离变化的关系曲线。由于纯PTFE的耐磨损性能较差, 在试验条件下, 当摩擦磨损试验进行到1 h时(滑动距离大于1800 m), 试片几乎磨穿, 所以滑动距离采用了其它填充莫来石的复合材料的一半。从图可以看出, 实验条件下纯PTFE的摩擦系数较小, 随滑动距离的增加呈增加的趋势, 经过将近2000 m的摩擦磨损后其摩擦系数由0.20增加至0.26左右。值得注意的是, 在经莫来石填充的PTFE复合材料中, 当莫来石的质量分数为10%时, 复合材料的摩擦系数最小, 小于纯PTFE的摩擦系数; 其摩擦系数在摩擦磨损过程中有些波动, 随着滑动距离的增加呈增加的趋势, 在滑动距离为3200 m以后基本趋于稳定, 保持在0.25左右。当莫来石的质量分数为20%和更大时, PTFE复合材料的摩擦系数总体上比纯PTFE大, 而且莫来石的质量分数越高, 复合材料在试验条件下的摩擦系数越大。从图9中也发现, 随着PTFE中莫来石质量分数的增加, 摩擦试验中复合材料的摩擦系数趋于稳定的滑动距离缩短, 从质量分数为10%时的3200 m缩短到质量分数为50%时的1000 m左右。

图9   PTFE及PTFE-莫来石复合材料摩擦系数随滑动距离变化曲线

Fig.9   Friction coefficient vs. sliding distance curves for PTFE and PTFE-mullite composites

图10给出了PTFE以及不同质量分数莫来石填充的复合材料的平均摩擦系数和体积磨损率随莫来石质量分数变化的曲线图。根据文献[34-36], 研究选定了比较苛刻的条件来进行摩擦磨损试验(见实验方法)。从图10可以看出, 随着莫来石质量分数的增加, PTFE复合材料的平均摩擦系数先降低再上升, 平均摩擦系数由最低的0.23左右上升至0.34左右。当莫来石的质量分数小于20%时, 复合材料的磨损率随莫来石质量分数的增加而急剧降低; 但当莫来石的质量分数大于20%时, 复合材料的磨损率先趋于平稳后有小幅度增加趋势。总体而言, PTFE复合材料的磨损率由纯PTFE的磨损率848×10-6 mm3(Nm)-1左右降至1.6×10-6 mm3(Nm)-1左右, 复合材料的磨损率仅为纯PTFE磨损率的1/530。添加莫来石的PTFE复合材料的耐磨性比添加玻璃纤维[13]、BaSO4[14]、含碳纳米管[15]、 MoS2[11]等无机填料的PTFE复合材料的耐磨性要好。

图10   PTFE及PTFE-莫来石复合材料体积磨损率和平均摩擦系数变化的关系曲线

Fig.10   Variations of wear rate and average friction coefficient of PTFE and PTFE-mullite composites with mass fraction of mullite

图11给出了纯PTFE及一些不同质量分数的莫来石填充改性的PTFE复合材料在干摩擦条件下的摩擦面的形貌图。图11a是纯PTFE在干摩擦条件下摩擦1 h后的摩擦面的SEM和3D图。从SEM图(其中水平方向为摩擦方向)可以看出, 纯PTFE的摩擦面较光滑, 在摩擦方向上有些犁沟, 这可能是由对摩偶件钢环上的粗糙度在材料表面耕犁造成的, 除此之外, 摩擦表面上还附着一些片状磨屑。在3D图中, X轴方向为摩擦方向, 同样可以看出在摩擦方向上有许多犁沟, 磨损表面伴有大量突起的“小尖峰”, 使得纵向深度较大, 最高点和最低点相差4 μm左右, 因此纯PTFE的主要的磨损形式应该是以磨粒磨损为主, 粘着磨损为辅。图11b是PTFE+10%Mul复合材料在干摩擦条件下摩擦2 h后的摩擦面的3D图。在3D图中, Y轴方向为摩擦方向, 填充10%莫来石的样品磨损表面突起的“小尖峰”变得不明显使得复合材料表面磨损相对均匀, 纵向深度差低于纯PTFE的, 也低于30%和50%的莫来石填充样品的, 而且更少的犁沟表明填充10%莫来石起到了耐摩擦磨损性能。这和其摩擦系数最小是一致的。磨损表面沿着Y轴方向有一定的坡度和较浅的沟槽, 材料从沟槽向两侧转移形成了脊缘, 表明是以犁削的形式被磨损, 此复合材料应该是首先向环块表面转移, 然后聚合物中的微凸体产生弹性形变, 最终使转移膜剥离成磨粒, 因此主要表现为磨粒磨损。

图11   PTFE及PTFE-莫来石复合材料在干摩擦条件下的摩擦面的SEM图和3D激光显微镜图

Fig.11   SEM and 3D laser microscope images of PTFE and PTFE-mullite composites under dry sliding condition

图11c是PTFE+30%Mul复合材料在干摩擦条件下摩擦2 h后的摩擦面的SEM和3D图。从SEM图(其中水平方向为复合材料的摩擦方向)可以看出, 摩擦表面上有很多裸露在外的莫来石固体颗粒, 表面上还粘着一些磨屑和较小的沟壑, 没有明显裂纹。在3D图中, Y轴方向为摩擦方向。可以看出, 与纯PTFE相比, 摩擦表面较平整, 磨损比较缓和, 犁沟明显减少, 摩擦表面上有些凹坑, 这应该是摩擦过程中莫来石受到环块的挤压造成了颗粒破碎继而脱落而留下来的空洞, 落入环块和材料表面的破碎颗粒被重新压入材料表面又留下凸起部分[37], 因此莫来石填充的PTFE复合材料的磨损形式应为粘着磨损。图11d是PTFE+50%Mul复合材料在干摩擦条件下摩擦2h后的摩擦面的3D图。在3D图中, Y轴方向为摩擦方向, 表面凹凸不平, 中间橘红色部分突起, 说明局部被磨损, 而且没有明显的犁沟, 四周突起的“小尖峰”说明材料在磨损的过程中有被拉拽的倾向, 材料表面在循环接触应力的作用下发生较为严重的塑性变形, 纵深差较大, 说明添加50%莫来石后PTFE复合材料的磨损机理是以粘着磨损为主。

纯PTFE样品的摩擦系数较小, 磨损率较大, 且其摩擦系数随着滑动距离的增加而增加, 其原因应该是纯PTFE在摩擦过程中, 摩擦热的不断积聚致使材料表面局部软化, PTFE大分子被拉出结晶区, 并向对摩面转移, 以库仑力和范德华力在对摩面上形成PTFE转移膜, 使得此时摩擦副之间的接触表现为转移膜与PTFE材料之间的接触, 减少了接触面的剪切应力, 降低了摩擦系数, 从而起到自润滑的作用, 因此在摩擦初期摩擦系数较小。然而由于纯PTFE的内聚能密度较小, 分子之间和分子与对摩面之间的作用力较弱, 转移膜不断被挤向两边, PTFE自润滑层不断减少, 而且随着摩擦的进行, 摩擦面和对摩面的温度不断升高, 表面塑性变形和粘着加剧, 所以导致摩擦系数不断增加, 磨损率越来越大, 最终导致磨损失效[38]

当填充了质量分数为10%的莫来石后, PTFE复合材料的摩擦系数比纯PTFE的摩擦系数小, 这可能是因为基体材料填充了少量的莫来石以后, 摩擦面上的莫来石较少, 大部分仍然是聚四氟乙烯在摩擦, 而在摩擦过程中, 少量的莫来石微凸体与对磨面进行摩擦, 虽然会在一定程度上增加摩擦力, 但使摩擦过程中的接触面减少, 从而使摩擦系数减小。但当莫来石的质量分数为20%和更高时, 复合材料的摩擦系数升高, 这可能是因为随着莫来石质量分数的增加, 试样表面的莫来石成分也随之增多, 莫来石粒子参与摩擦的几率也增大, 而莫来石和对偶面的摩擦系数比纯PTFE大, 从而使材料的摩擦系数也增大。其次, 压力与相对运动是产生摩擦力的原因, 而材料与金属间的相对运动必须克服摩擦副微凸体间啮合的阻碍作用, 而且填料越多这种作用越强, 摩擦面的微凸体越多, 摩擦力越大, 摩擦系数越大。此外, 颗粒填料的加入在摩擦过程中能够破坏转移膜, 实验条件下的PTFE复合材料含有莫来石颗粒, 这使PTFE转移膜难以在对磨面表面形成完整的润滑膜, 从而提高了复合材料的摩擦系数[23]

PTFE复合材料的磨损率随着莫来石质量分数的增大而降低, 当莫来石的质量分数大于40%时, 又呈增加趋势。磨损率降低是因为无机材料莫来石这种填料颗粒具有较高的强度和刚度, 且与基体材料有较强的相互作用, 在摩擦过程中这种填料承受外界负荷, 降低了PTFE本体所受的作用力, 起到支持负荷的作用[39], 且随着莫来石质量分数的增加, 试样表面的莫来石成分也随之增多, 莫来石粒子参与摩擦的几率也增大, 从而使复合材料的磨损率随着莫来石质量分数的增加而逐渐降低。而且, 通过前面的力学性能和热学性能的分析可以知道, 当莫来石的质量分数增加时, 其弹性模量增加, 玻璃化转变温度比纯PTFE高, 有利于其耐磨损性能的提高。但是, 当莫来石的质量分数高达50%时, 虽然复合材料的弹性模量和玻璃化转变温度都达到较大值, 但是其磨损率与莫来石的质量分数为40%的复合材料相比有增加的趋势, 这可能是由于无机粒子质量分数过高, 会发生团聚现象, 不能很好地分散在PTFE体系中, 从而造成材料结构不均匀, PTFE分子链被阻断, 因此耐磨性变差。

填充了莫来石的复合材料的摩擦系数总体上随莫来石质量分数的增加呈增加趋势, 磨损率反而降低, 这可能是因为PTFE复合材料与钢环摩擦的过程中, 增加的莫来石填充量造成了钢环和莫来石直接接触的概率增加, 从而导致其与钢环的摩擦系数增加; 而复合材料的磨损率随着莫来石填充量增加而呈下降趋势则可能是源于填充的莫来石在PTFE基体材料中起到了刚性支撑点的作用, 并且在一定范围内, 莫来石质量分数越高, 这种效果越显著。

3 结论

1. 经莫来石填充的PTFE复合材料的拉伸强度和断裂伸长率有所下降, 但仍然保持较大的绝对值, 当莫来石的质量分数高达50%时, 复合材料的拉伸强度为16.9 MPa, 断裂伸长率为151%; 改性材料的弹性模量显著增加, 从430 MPa增加至1160 MPa左右, 表明其外力作用下抗形变能力增强。

2. 莫来石填充改性的PTFE复合材料的玻璃化转变温度增加, 由307.4℃增加至311℃左右; 平均线膨胀系数呈下降趋势, 显示改性材料的耐热性能增强。

3. 莫来石填充改性的PTFE复合材料的摩擦系数随莫来石的质量分数增加呈现先降低、后上升的趋势, 其耐磨损性能显著改善。当莫来石的质量分数为40%时, 复合材料的磨损率仅为纯PTFE的1/530。

The authors have declared that no competing interests exist.


参考文献

[1] K. P. Murali, S. Rajesh, O. Prakash, A. R. Kulkarni, R. Ratheesh,

Preparation and properties of silica filled PTFE flexible laminates for microwave circuit applications

, Composites Part A Applied Science & Manufacturing, 40(8), 1179(2009)

DOI      URL      [本文引用: 1]      摘要

Micron and nano size silica fillers are incorporated in the PTFE matrix to prepare flexible composite substrates. A proprietary process comprising of sigma mixing, extrusion, calendering followed by hot pressing (SMECH process) has been employed to obtain nearly isotropic and dimensionally stable filled PTFE substrates. Theoretical modeling has been employed to predict the effective dielectric constant of the composite system and validated the results with experimental data. The distribution of particulate filler in the PTFE matrix has been studied using scanning electron microscopy. The linear coefficient of thermal expansion and ultimate tensile strength of the composite systems with respect to filler loading have been found out. Dielectric properties of the composite substrates at X-band frequency (8.2鈥12.4GHz) are measured using waveguide cavity perturbation technique. Moisture absorption of fused silica filled substrates is found out conforming to IPC-TM-650 2.6.2.
[2] P. R. Barry, P. Y. Chiu, S. S. Perry, W. G. Sawyer, S. B. Sinnott, S. R. Phillpot,

Effect of temperature on the friction and wear of PTFE by atomic-level simulation

, Tribology Letters, 58(3), 1(2015)

DOI      URL      摘要

The tribological behavior of oriented, self-mated poly(tetrafluoroethylene) ( PTFE ) sliding surfaces is examined as a function of temperature from 25 to 300聽K. Three distinct sliding configurations are considered: sliding perpendicular to the chain alignment in both PTFE surfaces, sliding parallel to chain alignment in both PTFE surfaces and sliding parallel to the chain alignment on one surface but perpendicular to chain alignment on the other. Our simulations reveal a general trend of increasing friction coefficient with decreasing temperature for configurations where the chains are aligned in the direction of sliding or crossed. However, for conditions where the chains are aligned but the sliding motion is perpendicular to this alignment, gross deformation and athermal friction behaviors are observed. The atomic-level processes associated with these increases in friction at low temperatures are characterized.
[3] T. Wang, J. Wang, P. Yan, J. Ran,

Influence of temperature on electrical aging characteristics of polyterafluoroethylene under nanosecong pulses

, IEEE Transactions on Dielectrics and Electrical Insulation, 22(2), 1171(2015)

[4] Z. Zuo, Y. l. Yang, L. z. Song,

Miscibility analysis of polyethersulfone and polytetrafluoroethylene using the molecular dynamics method

, Fibers and Polymers, 16(3), 510(2015)

DOI      URL      [本文引用: 1]      摘要

Investigation of the miscibility between polyethersulfone (PES) and polytetrafluoroethylene (PTFE) will be helpful in the preparation of functional polymers. The miscibility between PES and PTFE in different proportions was studied using molecular dynamics (MD) simulations, Fourier transform infrared spectroscopy (FTIR) and scanning electron microscopy (SEM). PES and PTFE are partly miscible as the weight fraction of PES is less than 30 wt%. The interaction between PES and PTFE polymers cannot be chemical bonding, and the non-bond interaction between them will play an important role in the blending. The hydrogen bond interaction can be ignored due to its low contribution to the non-bonded energies. Compared with hydrogen bond and electrostatic interactions, Van der Waals (vdW) shows a large influence on the non-bond interaction of pure PTFE; but its contribution in PES/PTFE blends decreases with the increasing addition of PES. The presence of PTFE suppresses the mobility of PES chains; nevertheless, the mobility of PTFE chains is unremarkably influenced by PES.
[5] H. Kurz, E. Roos,

Design of floating type bolted flange connections with grp flanges

, International Journal of Pressure Vessels and Piping, 89, 1(2012)

DOI      URL      [本文引用: 1]      摘要

The mechanical behavior of bolted flange connections DN50 with grp flanges was investigated and is taken into consideration in a new calculation procedure, that accounts for the specific material properties of grp and thus allows higher bolt forces, what leads to increased tightness and operational reliability of the plants. This draft procedure with experimental pre-tests (already demanded in DIN 16966) is now available to design bolted flange connections with grp flanges.
[6] L. Mazza, A. Trivella, R. Grassi, G. Malucelli,

A comparison of the relative friction and wear responses of PTFE and PTFE-based composite when tested using three different types of sliding wear machines

, Tribology International, 90, 15(2015)

URL      [本文引用: 1]     

[7] M. M. Yang, X. T. Zhu, G. N. Ren, X. H. Men, F. Guo, P. L. Li, Z. Z. Zhang,

Influence of air-plasma treatment and hexagonal boron nitride as filler on the high temperature tribological behaviors of hybrid PTFE/Nomex fabric/phenolic composite

, European Polymer Journal, 67, 143(2015)

URL      [本文引用: 1]     

[8] M. Palabiyik, S. Bahadur,

Tribological studies of polyamide 6 and high-density polyethylene blends filled with PTFE and copper oxide and reinforced with short glass fibers

, Wear, 253(3-4), 369(2002)

DOI      URL      摘要

The mechanical and tribological behaviors of polyamide 6 (PA6) and high density polyethylene (HDPE) polyblends made using maleic anhyride polypropylene as the compatibilizing agent were studied. The compositions investigated for tribological behavior were 8002wt.% PA6–2002wt.% HDPE and 6002wt.% PA6–4002wt.% HDPE. The polyblends were reinforced with glass fiber (GF) and filled with polytetrafluoroethylene (PTFE) and copper oxide (CuO). The polymeric materials were blended using a modular intermeshing co-rotating twin-screw extruder. The reinforced composite specimens with different fiber proportions were made in a reciprocating screw injection molding machine using the blended materials as the feed stock. The friction and wear experiments were run under ambient conditions in a pin-on-disk machine with the polymer pin riding on the flat surface of a steel disk at a sliding speed of 102ms 611 and under a nominal pressure of 0.6402MPa. The tensile strength of the polyblend with composition 8002wt.% PA6–2002wt.% HDPE increased with fiber reinforcement but the material became brittle. The maximum reductions in wear and the coefficient of friction were obtained by filling the polyblends with 1002wt.% PTFE. The fiber glass reinforcement was not found effective in lowering the already low wear rate of the polyblend.
[9] J. Ye, H. S. Khare, D. L. Burris,

Transfer film evolution and its role in promoting ultra-low of a PTFE nanocomposite

, Wear, 297(1-2), 1095(2013)

URL      [本文引用: 1]     

[10] A. A. Pitenis, K. L. Harris, C. P. Junk, G. S. Blackman, W. G. Sawyer, B. A. Krick,

Ultralow wear PTFE and alumina composites: It is all about tribochemistry

, Tribology Letters, 57(1), 1(2015)

DOI      URL      [本文引用: 1]      摘要

Over the last decade, researchers have explored an intriguing polymer composite composed of granular polytetrafluoroethylene (PTFE) 7C and alumina particles. This material is extraordinary becausea very small amount of alumina additive (<5wt%) decreased the wear rate of the PTFE composite by over four orders of magnitude. Previous studies have shown that this wear resistance was initiated and maintained by the formation of a stable, robust, and uniform polymeric transfer film on the surface of the countersample. Although its importance to this tribological system is clear, the transfer film itself has not been well understood.Careful spectroscopic analysis throughout the stages of transfer film development revealed that tribochemistry plays a major role in the significant wear rate reductions achieved in PTFE and alumina composites. Fourier transform infrared spectroscopy and X-ray photoelectron spectroscopy reveal that PTFE chains break due to the mechanical stresses at the wear surface and, in the presence of oxygen and water in the ambient environment, produce carboxylic acid end groups. These carboxylic acid end groups can chelate to the exposed metal on the steel surface and nucleate the formation of the transfer film. The resulting thin and robust fluoropolymer transfer film protects the surface of the steel and changes the sliding interface from polymer on steel to polymer on polymer transfer film. These effects keep friction coefficients and wear rates low and stable. Ultimately, the real mechanisms responsible for the exceptional wear performance of these materials are all about the tribochemistry.
[11] XIANG Dinghan, PAN Qinglin, YAO Zhengjun,

Design theory and friction experiment for brass-plastic self-lubricating composite

, Chinese Journal of Materials Research, 17(5), 549(2003)

Magsci      [本文引用: 2]     

(向定汉, 潘青林, 姚正军,

铜-塑自润滑复合材料的设计和性能

, 材料研究学报, 17(5), 549(2003))

Magsci      [本文引用: 2]      摘要

提出了铜—塑自润滑复合材料的一种新设计方法,导出了其极限承载力与摩擦系数的关系。在此设计理论基础上研制出新型铜—塑复合材料NTS-100。自润滑复合材料承受的弹性模量越小、接触应力越大,其承载力越大;接触面的剪切强度越小,摩擦系数越小。铜—塑自润滑纳米滑块的承载能力高、摩擦系数小。填充纳米Al2O3在保持低摩擦系数同时,提高承载力,抑制PTFE塑料的蠕变,减少实际接触面积,降低时效摩擦系数。
[12] Y. X. Wang, F. Y. Yan,

Tribological properties of transfer films of PTFE-based composites

, Wear, 261(11-12), 1359(2006)

DOI      URL      [本文引用: 1]      摘要

PTFE-based composites containing 15聽vol.% MoS 2 , graphite, aluminum and bronze powder, were respectively prepared by compression molding at room temperature and subsequent heat treatment in atmosphere. Transfer films of pure PTFE and these composites were prepared on the surface of AISI-1045 steel bar using a friction and wear tester in a pin on disk contacting configuration. Tribological properties of these transfer films were investigated using another tribometer by sliding against GCr15 steel ball in a point-contacting configuration. Morphology of the transfer films and worn surface of the steel ball were observed and analyzed using SEM and optical microscopy. It was found all these fillers improved wear resistant capability of the composites. Compared with pure PTFE, introduction of the fillers made the corresponding transfer films have longer wear life. This is mainly attributed to strongly adhering transfer film and smaller wear debris particles lead by addition of the fillers. These smaller debris particles are prone to stay longer at the contacting region during the friction process. Introduce of fillers is helpful to improve load bearing capability of the transfer films when sliding against steel ball which are also favorable to prolong the wear life of the transfer films. Tribological properties of these transfer films are sensitive to load change. Generally, increased load shortened wear life of transfer film.
[13] YAN Luke, LI Weiguang, SUN Zengzhi,

Preparation of GF/PTFE composites and its properties

, Insulating Materials, 43(4), 3(2010)

[本文引用: 4]     

(颜录科, 李伟光, 孙增智,

玻璃纤维/聚四氟乙烯复合材料的制备与性能研究

, 绝缘材料, 43(4), 3(2010))

DOI      URL      [本文引用: 4]      摘要

通过高速混合、冷压烧结成型法用玻璃纤维(GF)填充聚四氟乙烯(PTFE)制备了GF/PTFE复合材料,探讨了GF用量对GF/PTFE复合材料拉伸性能和摩擦磨损性能的影响,用扫描电子显微镜(SEM)对复合材料微观结构进行了分析研究。结果表明:GF质量分数为15%时,复合材料耐磨性能最好,磨耗量不足1.0×10-3g/h,拉伸强度与常规干法混合制备的复合材料相比提高近30%,高速混合工艺使GF均匀分布于PTFE基体中,并可进一步细化PTFE粉料。
[14] YAN Luke, LI Weiguang, KOU Kaixhang, SUN Zengzhi, XU Ouming,

Frication and wear mechanism of BaSO4/PTFE composites under dry conditions

, Journal of Aeronautical Materials, 30(5), 78(2010)

Magsci      [本文引用: 2]     

(颜录科, 李伟光, 窦开昌, 孙增智, 徐鸥明,

BaSO4/PTFE复合材料在干摩擦条件下的摩擦磨损机理的研究

, 航空材料学报, 30(5), 78(2010))

Magsci      [本文引用: 2]      摘要

采用高速混合、冷压烧结成型的方法通过填充改性制备BaSO<sub>4</sub>/PTFE复合材料,利用M-200型摩擦磨损试验机研究复合材料在干摩擦条件下的摩擦学行为,考察BaSO<sub>4</sub>用量对复合材料摩擦磨损性能的影响,并采用扫描电子显微镜对试样磨损表面进行观察和分析,揭示摩擦磨损机理。结果表明,BaSO<sub>4</sub>可显著提高复合材料的耐磨损性能,在用量为30%时,耐磨损性能与纯PTFE相比提高了两个数量级;PTFE以粘着磨损为主,随着BaSO<sub>4</sub>用量增加,磨粒磨损逐渐占主导,粘着磨损逐渐减少,并最终表现出疲劳磨损特征。
[15] JIAN Xuzhen, LI Hua, FANG Guangqiang, ZENG Qingping, YANG Lei, KANG Hongmei, LIU Hezhou,

Friction and wear properties of PTFE composites containing CNT and grapheme

, Functional Materials, 45(3), 03011(2014)

[本文引用: 1]     

(见雪珍, 李华, 房光强, 曾庆平, 杨磊, 康红梅, 刘河洲,

含碳纳米管、石墨烯的PTFE基复合材料摩擦磨损性能

, 功能材料, 45(3), 03011(2014))

DOI      URL      [本文引用: 1]      摘要

对碳纳米管和石墨烯进行了表面羧基、氨基接枝改性,并制备了碳纳米管/聚四氟乙烯和石墨烯/聚四氟乙烯复合材料.利用表面官能团的供电性和聚四氟乙烯表面氟的强电负性的诱导效应,改善了纳米增强体在基体中的分散性,并实现了纳米增强体/基体界面的强化.复合材料摩擦磨损性能研究结果显示,两类碳系纳米增强体中,均为经过氨基化接枝改性者对复合材料摩擦磨损性能的改善效果最优,而未经改性的增强体最差.两种复合材料均为增强体含量为1%(质量分数)时磨损率最低.碳纳米管在 PTFE 基体中可有效承载,避免基体在载荷剪切下形成的微观撕裂,使得复合材料的磨损率明显降低,最大降幅为69.6%;石墨烯除具有承载功能外,还可以有效地形成转移膜,降低复合材料摩擦系数,复合材料磨损率的降幅更高达73.9%.
[16] YANG Dongya, WANG Yue, DONG Yue, GONG Jun, GAO Gui, WANG Honggan,

Tribological performance of different nanoparticles reinforced PPS-PTFE blends

, Functional Materials, 45(6), 06011(2014)

[本文引用: 1]     

(杨东亚, 王月, 董悦, 龚俊, 高贵, 王宏刚,

不同纳米填料增强PPS-PTFE共混物的摩擦磨损性能分析

, 功能材料, 45(6), 06011(2014))

DOI      URL      [本文引用: 1]      摘要

利用机械共混、冷压成型、烧结 等工艺制备了3种复合材料,并利用MRH-3型摩擦试验机考察了不同速度、不同载荷、不同温度下复合材料的摩擦磨损性能。采用JSM-5600LV扫描电 子显微镜观察分析转移膜形貌及磨损机理。实验结果表明,纳米Al2O3和纳米SiO2都能提高PPS-PTFE基体的耐磨性,且添加5%的纳米粒子的复合 材料耐磨性能最佳。纳米SiO2/PPSPTFE复合材料比纳米Al2O3/PPS-PTFE复合材料更适宜在高温、高速、高载荷工况下工作,两种纳米粒 子添加的复合材料磨损机制主要为磨粒磨损。
[17] P. Liu, T. Huang, R. Lu, T. Li,

Tribological properties of modified carbon fabric/polytetrafluoroethylene composites

, Wear, 289(25), 17(2012)

DOI      URL      [本文引用: 1]      摘要

Various modified carbon fabric (CF)/polytetrafluorothylene (PTFE) composites were prepared by means of CF surface treatment, i.e. air-plasma treatment and HNO 3 etching, introduction of nano-TiO 2 and combined methods. The composites were evaluated for their tribological behaviors and the worn surfaces were observed by a scanning electron microscope (SEM) to understand the mechanism. The water contact angle and the surface topography of the untreated and surface-treated CF were also analyzed. It was found that the surface treatment improved the surface hydrophilicity and changed the surface topography of CF, which contributed to improve the interfacial adhesion of the composites and hence the tribological behaviors. The inclusion of 4wt% nano-TiO 2 provided the optimum wear resistance among the nano-TiO 2 modified composites. There was a cooperating effect of CF air-plasma treatment and 4wt% nano-TiO 2 modification to the wear-reduction of the composites.
[18] H. Schneider, J. Schreuer, B. Hildmann,

Structure and properties of mullite-A review

, Journal of European Ceramic Society, 28(2), 329(2008)

URL      [本文引用: 1]     

[19] J. Wang, H. M. Kou, X. J. Liu, Y. Pan, J. Guo,

Reinforcement of mullite matrix with multi-walled carbon nanotubes

, Ceramics Internationl, 33(5), 719(2007)

DOI      URL      [本文引用: 1]      摘要

Dense multi-walled carbon nanotubes (MWNTs)-mullite ceramic matrix composites were firstly prepared by hot pressure sintering with MWNTs, AlOand SiOpowders as starting materials. It was found that when the sample was sintered at 1600&nbsp;掳C, the addition of 5 volume percent MWNTs led to 10% increase in bending strength and 78% increase in fracture toughness, respectively, compared with the monolithic mullite. The reinforcement mechanism was discussed based on the microstructure investigation. The broken nanotubes and pullout of MWNTs at interfaces are efficient in transferring the load from the mullite matrix to the nanotubes, leading to the improvement of the mechanical properties.
[20] LIU Qiongqiong, XU Dongmei, LIU Feng, CONG Houluo,

Mechanical properties of PP filled with nanomullite at low content

, Plastic, 38(3), 21(2009)

[本文引用: 1]     

(刘琼琼, 徐冬梅, 柳峰, 从后罗,

低纳米莫来石填充聚丙烯的力学性能

, 塑料, 38(3), 21(2009))

URL      [本文引用: 1]      摘要

在双螺杆挤出机中用熔融共混工艺制备纳米莫来石/聚丙烯(PP) 复合材料,莫来石的含量为1%、3%、5%、7%和10%.考察了填料含量、硅烷偶联剂KH-550和加入增客剂MAPP(PP接枝马来酸酐)对复合材料 力学性能的影响,并用扫描电镜(SEM)观察了复合材料的形貌.结果表明:纳米莫来石粉体作为一种新型的无机矿物填料,在含量较小时(1%左右)对PP基 体具有增强增韧作用;用KH-550表面处理和加入MAPP使纳米莫来石在基体中的分散均匀,力学性能有所提高,尤其是加入MAPP效果明显.
[21] LIU Qiongqiong, XU Dongmei, CONG Houluo, LIU Feng,

Crystallization behavior of PP filled with nanomullite at low content

, Plastic, 38(2), 98(2009)

[本文引用: 1]     

(刘琼琼, 徐冬梅, 从后罗, 柳峰,

低纳米莫来石填充聚丙烯的结晶性能研究

, 塑料, 38(2), 98(2009))

URL      [本文引用: 1]      摘要

在双螺杆挤出机中采用熔融共混工艺制备了纳米莫来石填充聚丙烯 (PP)复合材料,莫来石的质量含量为1%、3%、5%、7%和10%.用DSC考察了填料含量、硅烷偶联剂KH-550(γ-氨基丙基三乙氧基硅烷)和 加入增容剂MAPP(PP接枝马来酸酐)对聚丙烯结晶性能的影响.结果表明:纳米莫来石粉体作为一种新型的无机矿物填料,对PP有异相成核效应,结晶温度 提高,熔点略有上升,能诱导β晶生成;KH-550和MAPP的使用对结晶影响很小.
[22] Q. Q. Liu, J. Gao, R. N. Du,

Properties comparison of mullite and precipitated silica-filled styrene-butadiene rubber composites

, China Synthetic Rubber Industry, 34(2), 133(2011)

DOI      URL      [本文引用: 1]      摘要

Mullite filled styrene-butadiene rubber(SBR) composites were prepared on a two-roll mill with untreated or treated mullite(by mass fraction of 3% A-189) as fillers.The effects of these fillers on properties of filled SBR at various loadings were investigated,and the comparison was conducted with those of SBR filled with precipitated silica.The results showed that mullite was a semi-reinforcing filler for SBR and the mullite filled SBR exhibited better overall cure properties,lower Mooney viscosity,lower permanent set,better resilience as compared to those of precipitated silica filled ones,while other properties were inferior to those of precipitated silica filled ones,especially with regard to tensile strength,tear strength and abrasion resistance.The presence of the silane coupling agent could enhance the mechanical properties of mullite filled SBR vulcanizates.
[23] HUANG Haigang, WANG Caiyun, SHI Dianwang,

Study on the Qualitative Identification for PTFE Fiber

, Chinese Fiber Inspection, 17(17), 78(2014)

[本文引用: 2]     

(黄海刚, 王彩云, 施点望,

聚四氟乙烯纤维的定性鉴别研究

, 中国纤检, 17(17), 78(2014))

DOI      URL      [本文引用: 2]      摘要

本文通过燃烧法、熔点法、光学显微镜法、红外光谱法、扫描电子显微镜法以及热裂解等方法研究聚四氟乙烯纤维燃烧特征、熔点、显微形态和纤维结构,并结合纤维的溶解特性,为聚四氟乙烯纤维提供一系列定性鉴别方法.
[24] FU Pingqiu, LIU Gaokui, GUO Jiugao, WANG Guanxin,

Some structurally mineralogical characteristics of fused mullite

, Acta Mineralogica Sinica, (3), 235(1992)

[本文引用: 1]     

(傅平秋, 刘高魁, 郭九皋, 王冠鑫,

烧结莫来石的某些结构矿物学特征

, 矿物学报, (3), 235(1992))

URL      [本文引用: 1]      摘要

莫来石因具耐火度高,抗腐蚀能 力强、热震稳定性好、高温蠕变及热膨胀系数小等特性,被广泛用于化工、冶金、轻工和国防工业。本文对地球化学研究所莫来石课题组烧结的莫来石(自烧结莫来 石)进行了红外光谱及固体高分辨核磁共振谱研究,依此阐明了所测莫来石结晶度、有序度及烧成温度的关系以及莫来石中Al的结构态等。本文尚讨论了随烧结温 度升高α有增大趋势的微观结构机制。借鉴Sadanaga测定莫来石(2Al_2O_3·SiO_2)的平均结构参数,提出了自烧结莫来石 (1.84Al_2O_3·SiO_2)的平均结构模型,并概略地论述了莫来石结构与性能的关系。
[25] ZHANG Yanhong,

Study on Preparation Methods and Performance of Nano-reinforced PTFE Materials

, Master thesis, Huazhong University of Science and Technology(2006)

[本文引用: 1]     

(张雁鸿,

纳米颗粒增强PTFE材料的制备方法及其性能研究

, 硕士学位论文, 华中科技大学(2006))

DOI      URL      [本文引用: 1]      摘要

在橡胶产品的生产过程中,橡胶易于与金属模具产生粘连而使模具使用寿命降低,金属模具 的这一缺陷既影响产品质量又影响生产效率。针对这一问题,联系聚四氟乙烯(PTFE)的优异的抗粘连性能、很高的化学稳定性和热稳定性,本文采用PTFE 作为模具材料,从根本上解决模具与橡胶材料的粘连问题。要采用PTFE作为橡胶模具的模具材料,就必须提高其强度和硬度。提高聚四氟乙烯树脂的强度硬度的 方法主要是通过向其中添加高强度、高硬度的增强填料。 本文对增强填料(如Al2O3、SiO2等)增强的PTFE基复合材料的制备工艺,各种增强填料对PTFE基复合材料硬度的影响了研究... 展开 在橡胶产品的生产过程中,橡胶易 于与金属模具产生粘连而使模具使用寿命降低,金属模具的这一缺陷既影响产品质量又影响生产效率。针对这一问题,联系聚四氟乙烯(PTFE)的优异的抗粘连 性能、很高的化学稳定性和热稳定性,本文采用PTFE作为模具材料,从根本上解决模具与橡胶材料的粘连问题。要采用PTFE作为橡胶模具的模具材料,就必 须提高其强度和硬度。提高聚四氟乙烯树脂的强度硬度的方法主要是通过向其中添加高强度、高硬度的增强填料。 本文对增强填料(如Al2O3、SiO2等)增强的PTFE基复合材料的制备工艺,各种增强填料对PTFE基复合材料硬度的影响了研究。用SEM、 DSC、XRD、FTIR对复合材料的微观形貌、结晶度、界面性能进行了较为详细的研究。研究发现当填料直径为纳米尺度的时候,填充粒子直径越小复合材料 硬度越高;填料直径为微米尺度的时候,填充粒子直径越大复合材料硬度越高;在填料含量相同的条件下,纳米粒子填充的PTFE基复合材料的硬度明显高于微米 粒子填充的PTFE基复合材料的硬度;用溶胶凝胶法制备的纳米复合材料,纳米粒子可以较均匀分散在基体中,比用机械混合法制备的纳米复合材料的硬度高。在 纳米SiO2/PTFE复合材料中,随纳米粒子填充含量的增加,复合材料结晶度降低,且其界面存在氢键。 收起
[26] JIAN Xuezhen,

The study on mechanical properties and friction and wear properties of filler PTFE composities, Master degree thesis

, School of Material Science and Engineering Shanghai Jiao Tong University, 40(2013)

[本文引用: 1]     

(见雪珍,

填充聚四氟乙烯复合材料的力学性能和摩擦磨损性能研究

, 硕士学位论文, 上海交通大学材料科学与工程学院, 40(2013))

URL      [本文引用: 1]      摘要

聚四氟乙烯(PTFE)具有其 他树脂难以比拟的耐热、耐化学腐蚀及优良的介电性能和摩擦性能,在电子、化工、机械、航空等领域有广泛的应用。在高负载、低滑行速度下,PTFE与聚合物 进行对磨的摩擦系数可以低至0.04,是一种理想的自润滑材料。但是PTFE硬度低,且耐摩擦性差,大大限制单相PTFE材料的应用。为此,对PTFE进 行改性,以提高其硬度,降低磨耗量以及改善其蠕变性能,具有重要的研究意义。 本文研究目的是通过填充法改性PTFE复合材料,以改善PTFE的力学性能和摩擦磨损性能。 本文主要工作及研究结论如下: 1.正交法设计烧结工艺参数,以拉伸强度作为实验指标,筛选得到最优工艺参数为:以40℃/h的速率升温至200℃,随后以20℃/h的速率升温至 365℃,并保温4h,最后随炉冷却。此时,PTFE的拉伸强度为15.06MPa,断裂伸长率为327%;邵氏硬度(D型)为54MPa;在摩擦负载 20N,速度3m/min,测试时间1h的情况下,摩擦系数在0.11左右,磨耗量在4.6mg左右,磨损机制以粘着磨损为主。 2.以663锡青铜粉(500目)、石墨(粉体)、碳纤维(粉体)、二硫化钼(粉体)作为填料,其添加比例按照正交法设计,分别以拉伸强度、硬度和磨耗量 作为实验指标考查各填料对PTFE基体的作用。结果显示,碳纤维对增强PTFE复合材料的强度最有效,此时添加量为2wt.%,663锡青铜粉对增加 PTFE复合材料的硬度最有效,此时添加量为9wt.%,而对于降低磨耗量而言,二硫化钼最有效,此时添加量为2wt.%。 3.采用化学法进行碳纳米管和石墨烯的表面改性,在其上接枝羧基和氨基。并且制备含有经过表面修饰前后的碳纳米管和石墨烯/PTFE复合材料,研究复合材 料的机械性能和磨擦磨损性能。结果如下:碳纳米管和石墨烯表面的基团供电效应与PTFE表面的氟原子的静电匹配作用,有效的改善了碳纳米管和石墨烯在 PTFE中的分散,且表面的氨基化改性效果优于羧基化改性。同时,经过氨基改性碳纳米管和石墨烯改性的复合材料的机械性能和摩擦磨损性能也优于羧基改性以 及未改性的碳纳米管和石墨烯复合材料。在磨损机理上,碳纳米管/PTFE复合材料则随着碳纳米管含量的增多,其磨损方式从疲劳磨损逐渐变成粘着磨损,同时 伴随着磨粒磨损;石墨烯/PTFE复合材料则随着石墨烯含量的增多,磨损方式从粘着磨损变成粘着磨损和磨粒磨损兼有的机制。
[27] TIAN Hua, XIE Xudong, SONG Xiwen,

The research on mechanical and tribological properties of TiO2 modified PTFE composites

, Journal of Inner Mongolia University of Science and Technology, 29(4), 334(2010)

[本文引用: 1]     

(田华, 解旭东, 宋希文,

TiO2改性PTFE复合材料力学与摩擦性能的研究

, 内蒙古科技大学学报, 29(4), 334(2010))

DOI      URL      [本文引用: 1]      摘要

PTFE(聚四氟乙烯)因为机械性能方面存在的一些缺陷限制了其应用.通过向PTFE中添加TiO2颗粒,制得改性PTFE材料,并对其力学性能和摩擦性能进行测试,以讨论TiO2颗粒添加量对PTFE材料的影响.
[28] GU Chunyan, HE Chunxia,

Frictional and Mechanical properties of PTFE composites filled with powered fiber

. Engineering Plastics Applications, 37(6), 15(2009)

[本文引用: 1]     

(顾春艳, 何春霞,

粉状纤维增强PTFE复合材料的力学与摩擦磨损性能

, 工程塑料应用, 37(6), 15(2009))

DOI      URL      [本文引用: 1]      摘要

以粉状SiC纤维、Al2O3纤维、高强碳纤维(CF)、中强 CF、低强CF增强聚四氟乙烯(PTFE),研究了纤维种类、含量对PTFE力学和摩擦磨损性能的影响,用扫描电子显微镜(SEM)对试样拉伸断口形貌进 行观察,探讨了复合材料的增强机理.结果表明,粉状SiC纤维、Al2O3纤维及CF均能提高PTFE的硬度和耐磨性;高强CF、中强CF及Al2O3纤 维能提高其拉伸强度;5种纤维均使PTFE冲击强度下降,但咖/高强CF复合材料的冲击强度降幅较小;SEM分析表明,SiC纤维与PTFE的界面结合强 度较低,界面出现了许多空隙,中强CF、高强CF、Al2O3纤维与PT-FE界面结合较好,拉伸断口处多数纤维与基体牢固粘附而难以拔出,PTFE/低 强CF复合材料呈典型的脆性断裂特征.
[29] ZHENG Jing, HUANG Yi, ZHOU Zhongrong,

Research of relationship between microstructure and tribological properties of ename

, 2008 National Youth Conference on Tribology and Surface Protection(2008)

[本文引用: 1]     

(郑靖, 黄毅, 周仲荣,

人牙釉质微结构与其宏观摩擦学特性的关系研究

, 2008全国青年摩擦学与表面保护学术会议(2008))

URL      [本文引用: 1]      摘要

鉴于生理功能的需要,牙齿磨损不可避免,因此,优异的摩擦学特性是人类牙 齿行使生理功能的保障。作为一种天然生物材料,人牙的摩擦磨损行为强烈地依赖于其内部独特的天然微结构。本文初步分析了人牙釉质内部微结构与其宏观摩擦学 特性的关系。 牙釉质是人体内最硬的组织,对咀嚼磨耗有较大的抵抗力。牙釉质内分布有釉柱和釉间质两种天然微结构(见图1)。釉柱是细长的柱状结构,主要由磷灰石晶体择 优排列、紧密堆积而成。相邻釉柱被釉间质隔开,釉间质由有机物、水和少量松散排列的磷灰石晶体组成。纳米压痕测试结果显示,釉柱的硬度和弹性模量均显著高 于相邻釉间质。 宏观摩擦学测试结果显示(见图2、3),在相同磨损条件下,乳牙、恒牙、四环素牙的宏观摩擦学行为存在明显差别。健康恒牙的磨损表面主要呈现轻微犁削和剥 落痕迹,耐磨性较好;乳牙的摩擦系数变化波动较大。表面损伤以显著的犁削效应和片状剥落为主,耐磨性差;四环素牙的摩擦系数也出现波动,磨损表面呈现显著 的犁削效应和剥落,耐磨性较低。乳牙和四环素牙的耐磨性均低于健康恒牙。 显微分析结果显示(见图4),不同自然状态人牙釉质内部的天然微结构存在一定差别。与恒牙相比.乳牙的釉柱晶体形状小,釉柱排列松散,釉问质占的体积比 大;鉴于四环素类药物会影响牙齿的发育和矿化,四环素牙牙合面釉质中的釉柱边界逐渐模糊,釉问质渐趋消失。上述实验结果表明,牙齿的宏观摩擦学行为依赖于 其内部的天然微结构。釉柱具有较高的硬度和弹性模量,在摩擦磨损过程中表现出较强的摩擦承载能力和抵制塑性变形能力;而釉间质具有一定的弹性,能缓冲应 力,吸收部分摩擦变形能。不同微结构在牙齿摩擦磨损过程中扮演的角色及其作用机制有待进一步研究。
[30] LUO Hua,

Relationship between the wear resistance of hard rock and basic mechanical parameters of rock, West-

China Exploration Engineering, 21(7), 166(2009)

[本文引用: 1]     

(罗华,

某隧道硬岩岩石耐磨性与岩石基本力学指标的关系

, 西部探矿工程, 21(7), 166(2009))

DOI      URL      [本文引用: 1]      摘要

用试验和数理统计方法,对某隧道硬岩岩石耐磨性与岩石基本力学指 标进行相关性关系研究,通过建立岩石耐磨性与基本力学指标(单轴抗压强度、弹性模量、泊松比和单轴抗拉强度)以及各力学指标之间的数学拟合关系,分析得出 硬岩岩石耐磨性与基本力学性质指标具有相关性,并且在硬岩条件下岩石单轴抗压强度可以作为力学指标代表为TBM施工提供技术参数.
[31] GAO Pan, KOU Kaichang, ZHANG Dongna, SHI Hailin, ZHUO Longhai,

Effect of oriented drawing on properties and structure of BaSO4 filled PTFE composites

, China Plastics, (12), 76(2012)

[本文引用: 1]     

(高攀, 寇开昌, 张冬娜, 史海林, 卓龙海,

定向拉伸对PTFE/BaSO4复合材料性能和结构的影响

, 中国塑料, (12), 76(2012))

URL      [本文引用: 1]      摘要

采用冷压和自由烧结工艺制备硫 酸钡(BaSO4)填充聚四氟乙烯(PTFE)密封材料,并对其进行了拉伸处理。研究了不同拉伸倍率对PTFE/BaSO4复合材料的密度、压缩回复率的 影响,并通过高温差示热分析仪和X射线衍射仪分析了拉伸处理对PTFE/BaSO4复合材料熔融结晶行为以及PTFE晶态结构的影响。结果表明,随着拉伸 倍率的增加,PTFE/BaSO4复合材料的压缩率大幅提高,回复率降低,总体弹性回复率提高。拉伸处理对PTFE/BaSO4复合材料熔融结晶行为的影 响不大,并且PTFE的晶型不变,随着拉伸倍率的增加,结晶度呈现先减小后增大的趋势。
[32] ZHENG Zhenchao, KOU Kaichang, ZHANG Dongna, HOU Mei,

Study on creep behavior nd crystallization of POB filled PTFE blends

, China Plastics, (7), 52(2013)

[本文引用: 1]     

(郑振超, 寇开昌, 张冬娜, 侯梅,

聚四氟乙烯/聚苯酯共混物的蠕变及结晶性能研究

, 中国塑料, (7), 52(2013))

URL      [本文引用: 1]      摘要

采用塑料材料压缩蠕变测试仪分析了聚四氟乙烯/聚苯酯(PTFE/POB)共混物的高温压缩蠕变性能,研究了共混物的压缩回复性能,通过差示扫描量热仪分析了共混物的结晶性能,并探讨了POB含量对共混物蠕变性能和结晶性能的影响。结果表明,随着POB含量的增加,共混物的耐蠕变性能呈现先增大后减小的趋势;加入POB后,共混物结晶度增大,在POB含量为20%时出现峰值,结晶速率随POB含量的增加而增大。
[33] S. Ye, X. Zeng, F. Tan, Q. Fan,

Research on the tribological performance of Cr2O3 filled with bronze‐based PTFE composites

, Journal of Applied Polymer Science, 131(22), 547(2014)

[本文引用: 1]     

[34] XIANG Donghu, XI Bo, ZHU Yabo,

A study on the friction and wear properties of PTFE composites filled with carbon fiber and carbon micro-coils

, Journal of Huaiyin Institute of Technology, 19(5), 4(2010)

[本文引用: 1]     

(项东虎, 席博, 朱亚波,

碳纤维增强PTFE复合材料的摩擦磨损性能研究

, 淮阴工学院学报, 19(5), 4(2010))

DOI      URL      [本文引用: 1]      摘要

实验选用螺旋碳纤维 (CMCs)和直碳纤维(SCF)填充改善聚四氟乙烯(PTFE)的综合性能。测试了纯PTFE及其复合材料的摩擦磨损、硬度、抗压强度等性能,并利用扫 描电镜对磨损表面及残留在表面的磨屑和转移膜进行形貌观察。结果表明:添加其中任何一种碳纤维都会不同程度地提高PTFE复合材料的摩擦因数,高载下的摩 擦因数稍低于低载下的摩擦因数,另外,随着碳纤维含量的增加,其耐磨性能逐步提高,磨损率下降;直纤维增强复合材料的硬度呈先增大后减小的趋势,螺旋碳纤 维增强复合材料的硬度则缓慢提高,两种纤维均可使抗压强度提高,且螺旋碳纤维的效果更为明显,从断裂位移可以看出,碳纤维的添加大大改善了纯PTFE的塑 性性能。
[35] H. Unal, A. Mimaroglu, U. Kadıoglu, H. Ekiz,

Sliding friction and wear behaviour of polytetrafluoroethylene and its composites under dry conditions

, Materials and Design, 25(3), 239(2004)

DOI      Magsci      摘要

<h2 class="secHeading" id="section_abstract">Abstract</h2><p id="">In this paper, we studied and explored the influence of test speed and load values on the friction and wear behaviour of pure polytetrafluoroethylene (PTFE), glass fibre reinforced (GFR) and bronze and carbon (C) filled PTFE polymers. Friction and wear experiments were run under ambient conditions in a pin-on-disc arrangement. Tests were carried out at sliding speed of 0.32-, 0.64-, 0.96- and 1.28-m s<sup>&minus;1</sup> and under a nominal load of 5-, 10-, 20- and 30-N. The results showed that, for pure PTFE and its composites used in this investigated, the friction coefficient decrease with the increase in load. The maximum reductions in wear rate and friction coefficient were obtained by reinforced PTFE&#xA0;+&#xA0;17% glass fiber. The wear rate for pure PTFE was in the order of 10<sup>&minus;7</sup> mm<sup>2</sup>/N, while the wear rate values for PTFE composites were in the order of 10<sup>&minus;8</sup> and 10<sup>&minus;9</sup> mm<sup>2</sup>/N. Adding glass fiber, bronze and carbon fillers to PTFE were found effective in reducing the wear rate of the PTFE composite. In addition, for the range of load and speeds used in this investigation, the wear rate showed very little sensitivity to test speed and large sensitivity to the applied load, particularly at high load values.</p>
[36] J. G. Xu, H. B. Yan, D. G. Gu,

Friction and wear behavior of polytetrafluoroethene composites filled with Ti3SiC2

, Materials and Design, 61(9), 270(2014)

[本文引用: 1]     

[37] YU Xiaolin,

Research on precision grinding mechanism and surface evalution of SiCp/Al composities with high volume fraction

, Doctor’s dissertation, School of Mechanical Engineering Shenyang University of Technology, 32(2012)

[本文引用: 1]     

(于晓琳,

高体积分数SiCp/Al复合材料精密磨削机理及表面评价

, 博士学位论文, 沈阳工业大学机械制造及其自动化, 32(2012))

[本文引用: 1]     

[38] KANG Kejia, DU Sanming, ZHANG Yongzhen, ZHANG Zhiyuan,

A summary of study on friction and modification of PTFE composites

, Lubrication Engineering, 37(6), 99(2012)

[本文引用: 1]     

(康克家, 杜三明, 张永振, 张智源.

PTFE复合材料摩擦及改性研究综述

, 润滑与密封, 37(6), 99(2012))

DOI      URL      [本文引用: 1]      摘要

指出聚四氟乙烯(PTFE)复 合材料的摩擦过程可分为磨合、平稳和失稳3个阶段,摩擦因数和摩擦温度存在较强相关性,且对PTFE复合材料的失效机制进行了分析;归纳PTFE改性的3 种途径:填充、原位复合和烧结成型工艺;通过总结PTFE改性的研究成果和近年来的研究情况提出了一些相关研究思路。
[39] ZHU Changlin, CHEN Yue, DU Sanming, FENG Xianjuan, ZHANG Yongzhen,

Tribological research process of modified PTFE

, Engineering Plastics Applications, 39(6), 92(2011)

[本文引用: 1]     

(朱长岭, 陈跃, 杜三明, 逢显娟, 张永振.

改性聚四氟乙烯摩擦学研究进展

, 工程塑料应用, 39(6), 92(2011))

DOI      URL      [本文引用: 1]      摘要

介绍了PTFE及其复合材料摩擦磨损性能的国内外研究进展.详细阐述了改性聚四氟乙烯的摩擦性能的三种方法及其优缺点,指出摩擦学领域改性PTFE的主要方法为填充改性,并总结了PTFE及其复合材料摩擦磨损性能的主要研究方向.

/