胶原主要存在于动物的皮、骨、软骨、牙齿、肌腱、韧带与血管等组织中, 具有良好的生物活性和生物降解性能, 广泛应用在组织工程中[1 , 2 ] 。胶原分子是典型的两性聚电解质, 具有三股螺旋结构, 可自组装成液晶态[3 , 4 ] 。
人体的硬组织骨主要由胶原纤维和钙磷盐构成, 是从微观到宏观都非常有序的复合材料, 赋予了骨组织优良的力学性能。如何在体外模拟天然骨组织结构并构建具有高度有序的骨组织修复材料, 是目前的研究热点。目前的研究大都集中在非胶原蛋白分子对于仿生矿化的影响[5 , 6 ] , 或利用胶原蛋白通过静电纺丝技术构建宏观有序结构来进行仿生矿化[7 ] ; 也有使用胶原蛋白与钙磷盐直接复合来构建复合材料[8 , 9 ] , 或直接构建胶原蛋白支架[10 ] 。但是, 这些研究都难以得到从微观到宏观都非常有序的复合材料。其原因是, 这些体系中都难以使胶原分子达到一种从微观到宏观都有序的完美状态。本文作者的前期研究发现, 胶原的液晶相可满足这一要求, 并且胶原液晶相织构对细胞的取向生长也有明显的影响[11 , 12 ] 。因此, 本文基于前期的研究构建胶原液晶膜, 通过仿生矿化研究胶原液晶模板对于仿生矿化的影响, 以期得到具有从微观到宏观都非常有序的材料。
1 实验方法
1.1 胶原膜的制备和仿生矿化
按照文献[11]中的方法制备胶原浓度分别为10和40 mg/mL的非液晶相胶原薄膜和液晶相胶原薄膜。分别配制10和40 mg/mL的胶原溶液, 使其在低温磁力搅拌至完全溶解。用间隔低温超声法使胶原分散均匀, 用注射器分别抽取一定量的胶原溶液(每组分中胶原的含量均等)于单晶硅片上, 然后用圆形盖玻片均匀加压制成薄膜。移至充满0.5 mol/L乙酸溶液蒸汽的密闭罐中平衡48 h后, 移至充满氮气的密闭罐中中和24 h, 最后用蒸馏水洗至中性。
按照文献[13]配制模拟体液(SBF, 1×), 将其在4℃低温下保存在聚四氟乙烯瓶中。将0.1 g茜素红加入到100 mL Tris-HCl(pH 8.8)溶液中溶解, 配制成0.1%(质量分数)的茜素红溶液。
将两种胶原薄膜分别置于一定量的SBF溶液中, 在37℃、100%湿度条件下分别矿化6 h、12 h、24 h。在各个时间点取出相应的胶原薄膜, 用去离子水充分漂洗。
1.2 仿生矿化膜的表征
将仿生矿化6, 12 h后的矿化薄膜在室温干燥后进行原子力显微镜观察; 将仿生矿化24 h的矿化薄膜冷冻干燥, 喷金后进行扫描电镜观察。将仿生矿化6 h的两种矿化薄膜分别用0.1%茜素红Tris-HCl 37℃染色30 min, 用去离子水漂洗至无游离茜素红后在光镜及偏光显微镜下观察。
将仿生矿化6, 12, 24 h的薄膜冷冻干燥后用X射线衍射分析仪分析。X射线衍射分析仪采用铜靶, 管电压为36 kV, 电流20 mA, 对样品从10°到60°进行2θ 扫描, 扫描速度为4°/min。将直径为14 mm的两种胶原膜放进50 mL的离心管, 加入30 mLSBF后置于37℃分别矿化6, 12, 24 h, 用SBF溶液稀释20倍进行ICP检测其中Ca和P元素的含量。
2 结果和讨论
2.1 胶原液晶膜的组织和形貌
在各个矿化时间点分别取出40 mg/mL液晶胶原薄膜, 在偏光显微镜下观察矿化对液晶织构的影响。从图1 可以看出, 胶原典型的黑白条纹交叉相间的胆甾型液晶织构没有发生明显变化。但是, 随着矿化时间的增加双折射的现象变得更为明显, 白条纹的亮度也逐渐增加, 黑白条纹的间距也逐渐增加。推测其原因是, 钙磷盐晶体在具有液晶取向排列的胶原纤维束上沉积, 使整个胶原基质复合膜的结晶性有所加强, 表现为黑白条纹的双折射现象就更为明显。
图1 40 mg/mL胶原液晶膜仿生矿化不同时间后的偏光显微镜观察
Fig.1 POM photos of texture of the 40 mg/mL collagen liquid crystal membrane mineralization in different time (a) before biomineralization, (b) biomineralization 6 h, (c) biomineralization 12 h, (d) biomineralization 24 h
为此, 在仿生矿化6 h时取出40 mg/mL液晶胶原仿生矿化膜, 茜素红染色后在光镜及偏光显微镜下观察钙磷盐的沉积效果。从图2 可见, 在光镜条件下40 mg/mL的矿化膜颜色较深。茜素红是对所形成的钙磷盐结节的染色[14 ] , 因此表明40 mg/mL胶原膜上所沉积的钙磷盐较多。在偏光条件下40 mg/mL矿化膜随载物台旋转45°后, 染色条纹随之发生改变。这表明, 所沉积的钙磷盐也具备与胶原纤维同样的取向性, 钙磷粒子是在胶原纤维上产生了内沉积。但是, 由于10 mg/mL的胶原膜在偏光条件下为暗场[11 ] , 观察不到同样的现象。
图2 40 mg/mL的胶原液晶膜仿生矿化6 h经茜素红染色后的偏光显微镜观察
Fig.2 Observation of alizarin red staining of collagen membrane after biomineralization 6 h (a) 40 mg/mL collagen membrane in polarizing microscope, (b) rotation 45°of Fig.a
2.2 矿化后胶原膜的AFM及SEM观察
针对上述的结果, 分别对矿化6 h和12 h后胶原薄膜进行了原子力显微镜观察。先看20 μ m×20 μ m的扫描图像。从图3 a-d可以看到, 无论是矿化6 h还是12 h对两种胶原薄膜的纤维排列分布没有发生明显的影响。非液晶薄膜上的胶原纤维的排列仍然是随机分布且无序的(如图3 a, c中白色箭头所示), 而液晶胶原薄膜上胶原纤维自组装为沿某一个方向取向排列的有序结构也没有改变(如图3 b, d中白色箭头所示)。再从5 μ m×5 μ m的扫描图像的局部放大图(图3 e, f, g, h)可以进一步观察到沉积的钙磷盐及其在胶原纤维上的分布状况。在图3 e和g的胶原非液晶薄膜上可以观察到胶原纤维的螺旋周期条纹结构, 而钙磷盐结晶分布在胶原纤维螺旋间隙之间。随着矿化时间的延长, 在胶原纤维螺旋间的钙磷盐结晶体积略微增大。而从图3 f和h可见, 液晶胶原薄膜上钙磷盐的沉积效果却稍有不同。在矿化6 h的液晶胶原薄膜上胶原纤维明显变粗, 但是仍保持一定的螺旋周期性条纹结构, 而钙磷盐晶体除了部分在胶原纤维螺旋间隙沉积外, 更多的沉积在每根胶原纤维螺旋的内部; 而矿化时间增加到12 h时沉积在每根纤维内部的矿物变多而把纤维的螺旋周期性条纹结构覆盖包围, 然后再在纤维与纤维间沉积形成纤维间沉积, 胶原纤维束排列的更为紧密。这表明, 钙磷盐在胶原纤维上的沉积效果不仅与胶原的自组装形态有关, 还与胶原的浓度有关。
图3 胶原膜仿生矿化不同时间后的AFM观察
Fig.3 AFM images of two types of collagen membrane biomineralization in different time (a) biomineralization 6 h of 10mg/mL collagen membrane; (b) biomineralization 6 h of 40 mg/mL collagen membrane; (c) biomineralization 12 h of 10 mg/mL collagen membrane; (d) biomineralization 12 h of 40 mg/mL collagen membrane; e, f, g, h are a, b, c, d partial view respectively
从矿化24 h后胶原膜的扫描电镜观察(图4 )可知, 在非液晶相胶原薄膜上依然能看到胶原纤维随机分布排列(如图4 a中黑色箭头所示), 钙磷盐随着胶原纤维取向沉积; 而在胶原液晶薄膜上胶原纤维沿某一方向取向排列(如图4 b中黑色箭头所示), 钙磷盐沿着胶原取向沉积, 形成致密有序的矿化层。这个结果与在电纺丝所制备的宏观取向有序的胶原纤维是所沉积的钙磷盐为片状晶体完全不同[15 ] , 也与在具有三股螺旋的胶原纤维上所沉积的钙磷盐虽然沿着胶原取向沉积不同[16 ] , 本文在胶原液晶膜上沉积的钙磷盐更加有序且致密。这说明, 不仅胶原纤维的三股螺旋结构对钙磷盐沉积效果有影响, 胶原的宏观组装结构(液晶形态)也影响着钙磷离子的沉积。结合AFM观察结果可以推测, 胶原液晶膜在SBF的矿化过程中钙磷粒子首先在每根纤维内部先沉积且均匀覆盖, 随着时间的增加钙磷离子由在每根纤维内部沉积并增长至覆盖整根胶原纤维, 然后再在纤维与纤维之间的空隙处沉积, 得到非常有序致密的矿化层。而在非液晶胶原膜上, 由于胶原纤维排列无序, 即使钙磷离子也先在胶原纤维内沉积然后在覆盖整根胶原纤维, 最后也难以形成纤维与纤维间的有序矿化层。这个结果说明, 胶原纤维的整体有序性对最终矿化层的影响较大。
图4 两种胶原膜仿生矿化24 h后的SEM观察
Fig.4 SEM images of two types of collagen membrane biomineralization 24 h, (a) non-liquid crystal phase of 10 mg/mL collagen membrane; (b) liquid crystal phase of 40 mg/mL collagen membrane
2.3 XRD分析
图5 给出了矿化前及在SBF中浸泡矿化6 h、12 h、24 h后两种胶原薄膜的XRD薄膜衍射测试结果图谱。从图5 可见, 矿化前的胶原只有一非晶像峰, 液晶相与非液晶相两种胶原膜之间也没有明显区别(图5 中b与c)。矿化不同时间(6 h、12 h、24 h)后, 在两种矿化膜的谱图中32°附近都可以看到一个明显的衍射峰。随着矿化时间的延长峰强度随之增强, 且矿物在液晶胶原膜上衍射峰强度(图5 中e, g, j)均比非液晶相胶原膜上衍射峰强度(图5 中d, f, h)的强。矿化6 h时, 在46°附近两种矿化膜上出现(222)晶面衍射峰(图5 中d, e), 强度相近。但是随着仿生矿化时间的延长, 在12 h与24 h时胶原液晶膜上的衍射峰强度明显增加(图5 中g, j), 但非液晶膜上的衍射峰强度没有明显的变化(图5 中f, h)。对照文献 [5 , 6 ] 的XRD结果, 液晶胶原膜矿化24 h后的XRD图谱在32°和46°处出现的衍射峰与天然骨类似。另一方面, 随着矿化时间的增加先出现32°处的衍射峰然后再出现46°的衍射峰, 这与该文献中加入一定量的非胶原蛋白(聚天冬氨酸)后再进行矿化得到的结果一致。由此得知, 胶原的组装形态对钙磷盐的沉积方式与堆积形态都产生了一定的影响。
图5 两种胶原膜仿生矿化不同时间后的XRD分析
Fig.5 XRD patterns of two types collagen membrane before and after biomineralization (a) HA peaks according to JCPDS 9-432; non-liquid crystal of 10 mg/mL collagen membrane before biomineralization (b), 6 h (d), 12 h (f), 24 h (h); liquid crystal of 40 mg/mL collagen membrane before biomineralization (c), 6 h (e), 12 h (g), 24 h (j)
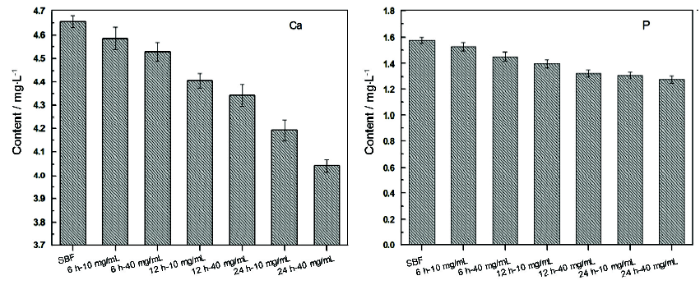
2.4 仿生矿化膜的Ca、P含量
在天然骨组织中羟基磷灰石经常和其他磷酸盐如DCPH、TCP、OCP、无定型磷酸钙盐等共存[17 ] , 其各自的Ca/P值为: 羟基磷灰石(HAP, Ca/P=1.67)、磷酸氢钙(DCPH, Ca/P=1.0)、磷酸三钙(TCP, Ca/P=1.5)、磷酸八钙(OCP, Ca/P=1.33)[18 ] 。由图6 可见, 随着矿化时间的增加SBF溶液中的钙元素和磷元素的含量逐渐减少, 且在每一个相同的时间点液晶胶原薄膜组矿化液中剩余的含量均比非液晶胶原薄膜组上的要少, 间接说明了液晶胶原薄膜上更能促使钙磷离子的沉积。而从表1 中两种膜在不同时间点所沉积的钙磷盐钙磷比可见, 在仿生矿化6 h及12 h后液晶胶原膜上的钙磷比为1。这表明, 在这段时间内所沉积钙磷粒子形成了DCPD, 而随着仿生矿化时间的延长沉积的钙磷盐超OCP、TCP及HAP发生了一定程度的转变。但是非液晶胶原薄膜在SBF中仿生矿化不同的时间, 其钙磷比没有变化规律, 比值介于1.1到1.4之间, 且矿化24 h时钙磷比比液晶胶原膜上的小。结合AFM、XRD及SEM结果可知, 胶原液晶膜有利于钙磷离子的有序沉积, 所沉积的钙磷盐更趋于体内骨组织中钙磷盐的排列形态及组成。
图6 胶原膜仿生矿化不同时间后SBF溶液中的Ca、P含量
Fig.6 Content of Ca, P in SBF solution remaining after collagen membrane mineralization different time
3 结论
胶原纤维三股螺旋结构的保持及纤维的有序性排列对仿生矿化结果有比较明显的影响。胶原的液晶织构有利于钙磷离子的有序沉积, 液晶胶原膜中胶原纤维独特的自组装性能更好地保持了胶原分子的生物活性, 促使沉积的钙磷盐更为有序, 接近生物骨的有序结构形态。
The authors have declared that no competing interests exist.
参考文献
文献选项
[1]
Cen L , Liu W , Cui L , Zhang W , Cao Y , Collagen tissue engineering: development of novel bomaterials and applications
, Pediatr Res. , 63 , 492 (2008 )
[本文引用: 1]
[2]
Glowacki J , Mizuno S , Collagen scaffolds for tissue engineering,
Biopolymers , 89 , 338 (2008 )
[本文引用: 1]
[3]
TANG Minjian , DING Shan , ZHOU Changren , LI Lihua , Liquid crystal biomaterials,
Chemical World , 12 , 756 (2010 )
[本文引用: 1]
(唐敏健 , 丁珊 , 周长忍 , 李立华 , 液晶态生物材料,
化学世界 , 12 , 756 (2010 ))
[本文引用: 1]
[4]
Giraud-Guille M-M , Besseau L , Herbage D , Gounon P , Optimization of collagen liquid crystalline assemblies: influence of sonic fragmentation
, Journal of Structural Biology , 113 , 99 (1994 )
[本文引用: 1]
[5]
Olszta M J , Douglas E P , Gower L B ,Scanning electron microscopic analysis of the mineralization of type I collagen via a polymer-induced liquid-precursor (PILP) process, Calcif Tissue Int. , 72 , 583 (2003 )
[本文引用: 2]
[6]
Jee S-S , Thula T T , Gower L B , Development of bone-like composites via the polymer-induced liquid-precursor (PILP) process. Part 1: Influence of polymer molecular weight,
Acta Biomaterialia , 6 , 3676 (2010 )
[本文引用: 2]
[7]
Liao S , Murugan R , Chan C K , Ramakrishna S , Processing nanoengineered scaffolds through electrospinning and mineralization suitable for biomimetic bone tissue engineering,
Journal of the Mechanical Behavior of Biomedical Materials , 1 , 252 (2008 )
[本文引用: 1]
[8]
Liao S , Watari F , Uo M , Ohkawa S , Tamura K , Wang W , The preparation and characteristics of a carbonated hydroxyapatite/collagen composite at room temperature,
Journal of Biomedical Materials Research Part B: Applied Biomaterials , 74B , 817 (2005 )
[本文引用: 1]
[9]
Zhang W , Liao S S , Cui F Z , Hierarchical self-assembly of nano-fibrils in mineralized collagen,
Chemistry of Materials , 15 , 3221 (2003 )
[本文引用: 1]
[10]
Al-Munajjed A A , Plunkett N A , Gleeson J P , Weber T , Jungreuthmayer C , Levingstone T , Development of a biomimetic collagen-hydroxyapatite scaffold for bone tissue engineering using a SBF immersion technique
, Journal of Biomedical Materials Research Part B: Applied Biomaterials , 90B , 584 (2009 )
[本文引用: 1]
[11]
TANG Minjian , DING Shan , MIN Xiang , JIAO Yanpeng , ZHOU Changren , LI Hong , Effects of Collagen Liquid Crystalline Films on Cell Culture,
Chemical Journal of Chinese Universities , 32 (12 ), 2891 (2011 )
[本文引用: 2]
(唐敏健 , 丁珊 , 闵翔 , 焦延鹏 , 周长忍 , 李红 , 胶原液晶膜的制备及对细胞生长的影响,
高等学校化学学报 , 32 , 2891 (2011 ))
[本文引用: 2]
[12]
ZENG Qinghui , TIAN Ye , WU Di , ZHAO Yaowu , LI Lihua , ZHOU Changren , Effects of collagen films with liquid crystal-liked ordered structure on adhesion, Proliferation and Differentiation of Human Umbilical Cord Mesenchymal Stem Cells,
Chemical Journal of Chinese Universities , 35 , 1658 (2014 )
[本文引用: 1]
[13]
Kim H-M , Himeno T , Kawashita M , Kokubo T , Nakamura T , The mechanism of biomineralization of bone-like apatite on synthetic hydroxyapatite: an in vitro assessment,
Journal of The Royal Society Interface , 1 , 17 (2004 )
[14]
Jian B , Narula N , Li Q-y , Mohler Iii E R, Levy R J, Progression of aortic valve stenosis: TGF-β1 is present in calcified aortic valve cusps and promotes aortic valve interstitial cell calcification via apoptosis,
The Annals of Thoracic Surgery , 75 , 457 (2003 )
[本文引用: 1]
[15]
Fullana M , Wnek G , Electrospun collagen and its applications in regenerative medicine, Drug Deliv. and Transl. Res., 2 , (2012 )
[本文引用: 1]
[16]
Nudelman F , Pieterse K , George A , Bomans P H H, Friedrich H, Brylka L J, The role of collagen in bone apatite formation in the presence of hydroxyapatite nucleation inhibitors
, Nat Mater. , 9 , 1004 (2010 )
[本文引用: 1]
[17]
Gonzalez M , Hernandez E , Ascencio J A , Pacheco F , Pacheco S , Rodriguez R , Hydroxyapatite crystals grown on a cellulose matrix using titanium alkoxide as a coupling agent,
Journal of Materials Chemistry , 13 , 2948 (2003 )
[本文引用: 1]
[18]
Tadic D , Epple M , A thorough physicochemical characterisation of 14 calcium phosphate-based bone substitution materials in comparison to natural bone,
Biomaterials , 25 , 987 (2004 )
[本文引用: 1]
Collagen tissue engineering: development of novel bomaterials and applications
1
2008
... 胶原主要存在于动物的皮、骨、软骨、牙齿、肌腱、韧带与血管等组织中, 具有良好的生物活性和生物降解性能, 广泛应用在组织工程中[1 , 2 ] .胶原分子是典型的两性聚电解质, 具有三股螺旋结构, 可自组装成液晶态[3 , 4 ] . ...
Collagen scaffolds for tissue engineering,
1
2008
... 胶原主要存在于动物的皮、骨、软骨、牙齿、肌腱、韧带与血管等组织中, 具有良好的生物活性和生物降解性能, 广泛应用在组织工程中[1 , 2 ] .胶原分子是典型的两性聚电解质, 具有三股螺旋结构, 可自组装成液晶态[3 , 4 ] . ...
液晶态生物材料,
1
2010
... 胶原主要存在于动物的皮、骨、软骨、牙齿、肌腱、韧带与血管等组织中, 具有良好的生物活性和生物降解性能, 广泛应用在组织工程中[1 , 2 ] .胶原分子是典型的两性聚电解质, 具有三股螺旋结构, 可自组装成液晶态[3 , 4 ] . ...
液晶态生物材料,
1
2010
... 胶原主要存在于动物的皮、骨、软骨、牙齿、肌腱、韧带与血管等组织中, 具有良好的生物活性和生物降解性能, 广泛应用在组织工程中[1 , 2 ] .胶原分子是典型的两性聚电解质, 具有三股螺旋结构, 可自组装成液晶态[3 , 4 ] . ...
Optimization of collagen liquid crystalline assemblies: influence of sonic fragmentation
1
1994
... 胶原主要存在于动物的皮、骨、软骨、牙齿、肌腱、韧带与血管等组织中, 具有良好的生物活性和生物降解性能, 广泛应用在组织工程中[1 , 2 ] .胶原分子是典型的两性聚电解质, 具有三股螺旋结构, 可自组装成液晶态[3 , 4 ] . ...
2
2003
... 人体的硬组织骨主要由胶原纤维和钙磷盐构成, 是从微观到宏观都非常有序的复合材料, 赋予了骨组织优良的力学性能.如何在体外模拟天然骨组织结构并构建具有高度有序的骨组织修复材料, 是目前的研究热点.目前的研究大都集中在非胶原蛋白分子对于仿生矿化的影响[5 , 6 ] , 或利用胶原蛋白通过静电纺丝技术构建宏观有序结构来进行仿生矿化[7 ] ; 也有使用胶原蛋白与钙磷盐直接复合来构建复合材料[8 , 9 ] , 或直接构建胶原蛋白支架[10 ] .但是, 这些研究都难以得到从微观到宏观都非常有序的复合材料.其原因是, 这些体系中都难以使胶原分子达到一种从微观到宏观都有序的完美状态.本文作者的前期研究发现, 胶原的液晶相可满足这一要求, 并且胶原液晶相织构对细胞的取向生长也有明显的影响[11 , 12 ] .因此, 本文基于前期的研究构建胶原液晶膜, 通过仿生矿化研究胶原液晶模板对于仿生矿化的影响, 以期得到具有从微观到宏观都非常有序的材料. ...
... 图5 给出了矿化前及在SBF中浸泡矿化6 h、12 h、24 h后两种胶原薄膜的XRD薄膜衍射测试结果图谱.从图5 可见, 矿化前的胶原只有一非晶像峰, 液晶相与非液晶相两种胶原膜之间也没有明显区别(图5 中b与c).矿化不同时间(6 h、12 h、24 h)后, 在两种矿化膜的谱图中32°附近都可以看到一个明显的衍射峰.随着矿化时间的延长峰强度随之增强, 且矿物在液晶胶原膜上衍射峰强度(图5 中e, g, j)均比非液晶相胶原膜上衍射峰强度(图5 中d, f, h)的强.矿化6 h时, 在46°附近两种矿化膜上出现(222)晶面衍射峰(图5 中d, e), 强度相近.但是随着仿生矿化时间的延长, 在12 h与24 h时胶原液晶膜上的衍射峰强度明显增加(图5 中g, j), 但非液晶膜上的衍射峰强度没有明显的变化(图5 中f, h).对照文献 [5 , 6 ] 的XRD结果, 液晶胶原膜矿化24 h后的XRD图谱在32°和46°处出现的衍射峰与天然骨类似.另一方面, 随着矿化时间的增加先出现32°处的衍射峰然后再出现46°的衍射峰, 这与该文献中加入一定量的非胶原蛋白(聚天冬氨酸)后再进行矿化得到的结果一致.由此得知, 胶原的组装形态对钙磷盐的沉积方式与堆积形态都产生了一定的影响. ...
Development of bone-like composites via the polymer-induced liquid-precursor (PILP) process. Part 1: Influence of polymer molecular weight,
2
2010
... 人体的硬组织骨主要由胶原纤维和钙磷盐构成, 是从微观到宏观都非常有序的复合材料, 赋予了骨组织优良的力学性能.如何在体外模拟天然骨组织结构并构建具有高度有序的骨组织修复材料, 是目前的研究热点.目前的研究大都集中在非胶原蛋白分子对于仿生矿化的影响[5 , 6 ] , 或利用胶原蛋白通过静电纺丝技术构建宏观有序结构来进行仿生矿化[7 ] ; 也有使用胶原蛋白与钙磷盐直接复合来构建复合材料[8 , 9 ] , 或直接构建胶原蛋白支架[10 ] .但是, 这些研究都难以得到从微观到宏观都非常有序的复合材料.其原因是, 这些体系中都难以使胶原分子达到一种从微观到宏观都有序的完美状态.本文作者的前期研究发现, 胶原的液晶相可满足这一要求, 并且胶原液晶相织构对细胞的取向生长也有明显的影响[11 , 12 ] .因此, 本文基于前期的研究构建胶原液晶膜, 通过仿生矿化研究胶原液晶模板对于仿生矿化的影响, 以期得到具有从微观到宏观都非常有序的材料. ...
... 图5 给出了矿化前及在SBF中浸泡矿化6 h、12 h、24 h后两种胶原薄膜的XRD薄膜衍射测试结果图谱.从图5 可见, 矿化前的胶原只有一非晶像峰, 液晶相与非液晶相两种胶原膜之间也没有明显区别(图5 中b与c).矿化不同时间(6 h、12 h、24 h)后, 在两种矿化膜的谱图中32°附近都可以看到一个明显的衍射峰.随着矿化时间的延长峰强度随之增强, 且矿物在液晶胶原膜上衍射峰强度(图5 中e, g, j)均比非液晶相胶原膜上衍射峰强度(图5 中d, f, h)的强.矿化6 h时, 在46°附近两种矿化膜上出现(222)晶面衍射峰(图5 中d, e), 强度相近.但是随着仿生矿化时间的延长, 在12 h与24 h时胶原液晶膜上的衍射峰强度明显增加(图5 中g, j), 但非液晶膜上的衍射峰强度没有明显的变化(图5 中f, h).对照文献 [5 , 6 ] 的XRD结果, 液晶胶原膜矿化24 h后的XRD图谱在32°和46°处出现的衍射峰与天然骨类似.另一方面, 随着矿化时间的增加先出现32°处的衍射峰然后再出现46°的衍射峰, 这与该文献中加入一定量的非胶原蛋白(聚天冬氨酸)后再进行矿化得到的结果一致.由此得知, 胶原的组装形态对钙磷盐的沉积方式与堆积形态都产生了一定的影响. ...
Processing nanoengineered scaffolds through electrospinning and mineralization suitable for biomimetic bone tissue engineering,
1
2008
... 人体的硬组织骨主要由胶原纤维和钙磷盐构成, 是从微观到宏观都非常有序的复合材料, 赋予了骨组织优良的力学性能.如何在体外模拟天然骨组织结构并构建具有高度有序的骨组织修复材料, 是目前的研究热点.目前的研究大都集中在非胶原蛋白分子对于仿生矿化的影响[5 , 6 ] , 或利用胶原蛋白通过静电纺丝技术构建宏观有序结构来进行仿生矿化[7 ] ; 也有使用胶原蛋白与钙磷盐直接复合来构建复合材料[8 , 9 ] , 或直接构建胶原蛋白支架[10 ] .但是, 这些研究都难以得到从微观到宏观都非常有序的复合材料.其原因是, 这些体系中都难以使胶原分子达到一种从微观到宏观都有序的完美状态.本文作者的前期研究发现, 胶原的液晶相可满足这一要求, 并且胶原液晶相织构对细胞的取向生长也有明显的影响[11 , 12 ] .因此, 本文基于前期的研究构建胶原液晶膜, 通过仿生矿化研究胶原液晶模板对于仿生矿化的影响, 以期得到具有从微观到宏观都非常有序的材料. ...
The preparation and characteristics of a carbonated hydroxyapatite/collagen composite at room temperature,
1
2005
... 人体的硬组织骨主要由胶原纤维和钙磷盐构成, 是从微观到宏观都非常有序的复合材料, 赋予了骨组织优良的力学性能.如何在体外模拟天然骨组织结构并构建具有高度有序的骨组织修复材料, 是目前的研究热点.目前的研究大都集中在非胶原蛋白分子对于仿生矿化的影响[5 , 6 ] , 或利用胶原蛋白通过静电纺丝技术构建宏观有序结构来进行仿生矿化[7 ] ; 也有使用胶原蛋白与钙磷盐直接复合来构建复合材料[8 , 9 ] , 或直接构建胶原蛋白支架[10 ] .但是, 这些研究都难以得到从微观到宏观都非常有序的复合材料.其原因是, 这些体系中都难以使胶原分子达到一种从微观到宏观都有序的完美状态.本文作者的前期研究发现, 胶原的液晶相可满足这一要求, 并且胶原液晶相织构对细胞的取向生长也有明显的影响[11 , 12 ] .因此, 本文基于前期的研究构建胶原液晶膜, 通过仿生矿化研究胶原液晶模板对于仿生矿化的影响, 以期得到具有从微观到宏观都非常有序的材料. ...
Hierarchical self-assembly of nano-fibrils in mineralized collagen,
1
2003
... 人体的硬组织骨主要由胶原纤维和钙磷盐构成, 是从微观到宏观都非常有序的复合材料, 赋予了骨组织优良的力学性能.如何在体外模拟天然骨组织结构并构建具有高度有序的骨组织修复材料, 是目前的研究热点.目前的研究大都集中在非胶原蛋白分子对于仿生矿化的影响[5 , 6 ] , 或利用胶原蛋白通过静电纺丝技术构建宏观有序结构来进行仿生矿化[7 ] ; 也有使用胶原蛋白与钙磷盐直接复合来构建复合材料[8 , 9 ] , 或直接构建胶原蛋白支架[10 ] .但是, 这些研究都难以得到从微观到宏观都非常有序的复合材料.其原因是, 这些体系中都难以使胶原分子达到一种从微观到宏观都有序的完美状态.本文作者的前期研究发现, 胶原的液晶相可满足这一要求, 并且胶原液晶相织构对细胞的取向生长也有明显的影响[11 , 12 ] .因此, 本文基于前期的研究构建胶原液晶膜, 通过仿生矿化研究胶原液晶模板对于仿生矿化的影响, 以期得到具有从微观到宏观都非常有序的材料. ...
Development of a biomimetic collagen-hydroxyapatite scaffold for bone tissue engineering using a SBF immersion technique
1
2009
... 人体的硬组织骨主要由胶原纤维和钙磷盐构成, 是从微观到宏观都非常有序的复合材料, 赋予了骨组织优良的力学性能.如何在体外模拟天然骨组织结构并构建具有高度有序的骨组织修复材料, 是目前的研究热点.目前的研究大都集中在非胶原蛋白分子对于仿生矿化的影响[5 , 6 ] , 或利用胶原蛋白通过静电纺丝技术构建宏观有序结构来进行仿生矿化[7 ] ; 也有使用胶原蛋白与钙磷盐直接复合来构建复合材料[8 , 9 ] , 或直接构建胶原蛋白支架[10 ] .但是, 这些研究都难以得到从微观到宏观都非常有序的复合材料.其原因是, 这些体系中都难以使胶原分子达到一种从微观到宏观都有序的完美状态.本文作者的前期研究发现, 胶原的液晶相可满足这一要求, 并且胶原液晶相织构对细胞的取向生长也有明显的影响[11 , 12 ] .因此, 本文基于前期的研究构建胶原液晶膜, 通过仿生矿化研究胶原液晶模板对于仿生矿化的影响, 以期得到具有从微观到宏观都非常有序的材料. ...
胶原液晶膜的制备及对细胞生长的影响,
2
2011
... 人体的硬组织骨主要由胶原纤维和钙磷盐构成, 是从微观到宏观都非常有序的复合材料, 赋予了骨组织优良的力学性能.如何在体外模拟天然骨组织结构并构建具有高度有序的骨组织修复材料, 是目前的研究热点.目前的研究大都集中在非胶原蛋白分子对于仿生矿化的影响[5 , 6 ] , 或利用胶原蛋白通过静电纺丝技术构建宏观有序结构来进行仿生矿化[7 ] ; 也有使用胶原蛋白与钙磷盐直接复合来构建复合材料[8 , 9 ] , 或直接构建胶原蛋白支架[10 ] .但是, 这些研究都难以得到从微观到宏观都非常有序的复合材料.其原因是, 这些体系中都难以使胶原分子达到一种从微观到宏观都有序的完美状态.本文作者的前期研究发现, 胶原的液晶相可满足这一要求, 并且胶原液晶相织构对细胞的取向生长也有明显的影响[11 , 12 ] .因此, 本文基于前期的研究构建胶原液晶膜, 通过仿生矿化研究胶原液晶模板对于仿生矿化的影响, 以期得到具有从微观到宏观都非常有序的材料. ...
... 为此, 在仿生矿化6 h时取出40 mg/mL液晶胶原仿生矿化膜, 茜素红染色后在光镜及偏光显微镜下观察钙磷盐的沉积效果.从图2 可见, 在光镜条件下40 mg/mL的矿化膜颜色较深.茜素红是对所形成的钙磷盐结节的染色[14 ] , 因此表明40 mg/mL胶原膜上所沉积的钙磷盐较多.在偏光条件下40 mg/mL矿化膜随载物台旋转45°后, 染色条纹随之发生改变.这表明, 所沉积的钙磷盐也具备与胶原纤维同样的取向性, 钙磷粒子是在胶原纤维上产生了内沉积.但是, 由于10 mg/mL的胶原膜在偏光条件下为暗场[11 ] , 观察不到同样的现象. ...
胶原液晶膜的制备及对细胞生长的影响,
2
2011
... 人体的硬组织骨主要由胶原纤维和钙磷盐构成, 是从微观到宏观都非常有序的复合材料, 赋予了骨组织优良的力学性能.如何在体外模拟天然骨组织结构并构建具有高度有序的骨组织修复材料, 是目前的研究热点.目前的研究大都集中在非胶原蛋白分子对于仿生矿化的影响[5 , 6 ] , 或利用胶原蛋白通过静电纺丝技术构建宏观有序结构来进行仿生矿化[7 ] ; 也有使用胶原蛋白与钙磷盐直接复合来构建复合材料[8 , 9 ] , 或直接构建胶原蛋白支架[10 ] .但是, 这些研究都难以得到从微观到宏观都非常有序的复合材料.其原因是, 这些体系中都难以使胶原分子达到一种从微观到宏观都有序的完美状态.本文作者的前期研究发现, 胶原的液晶相可满足这一要求, 并且胶原液晶相织构对细胞的取向生长也有明显的影响[11 , 12 ] .因此, 本文基于前期的研究构建胶原液晶膜, 通过仿生矿化研究胶原液晶模板对于仿生矿化的影响, 以期得到具有从微观到宏观都非常有序的材料. ...
... 为此, 在仿生矿化6 h时取出40 mg/mL液晶胶原仿生矿化膜, 茜素红染色后在光镜及偏光显微镜下观察钙磷盐的沉积效果.从图2 可见, 在光镜条件下40 mg/mL的矿化膜颜色较深.茜素红是对所形成的钙磷盐结节的染色[14 ] , 因此表明40 mg/mL胶原膜上所沉积的钙磷盐较多.在偏光条件下40 mg/mL矿化膜随载物台旋转45°后, 染色条纹随之发生改变.这表明, 所沉积的钙磷盐也具备与胶原纤维同样的取向性, 钙磷粒子是在胶原纤维上产生了内沉积.但是, 由于10 mg/mL的胶原膜在偏光条件下为暗场[11 ] , 观察不到同样的现象. ...
Effects of collagen films with liquid crystal-liked ordered structure on adhesion, Proliferation and Differentiation of Human Umbilical Cord Mesenchymal Stem Cells,
1
2014
... 人体的硬组织骨主要由胶原纤维和钙磷盐构成, 是从微观到宏观都非常有序的复合材料, 赋予了骨组织优良的力学性能.如何在体外模拟天然骨组织结构并构建具有高度有序的骨组织修复材料, 是目前的研究热点.目前的研究大都集中在非胶原蛋白分子对于仿生矿化的影响[5 , 6 ] , 或利用胶原蛋白通过静电纺丝技术构建宏观有序结构来进行仿生矿化[7 ] ; 也有使用胶原蛋白与钙磷盐直接复合来构建复合材料[8 , 9 ] , 或直接构建胶原蛋白支架[10 ] .但是, 这些研究都难以得到从微观到宏观都非常有序的复合材料.其原因是, 这些体系中都难以使胶原分子达到一种从微观到宏观都有序的完美状态.本文作者的前期研究发现, 胶原的液晶相可满足这一要求, 并且胶原液晶相织构对细胞的取向生长也有明显的影响[11 , 12 ] .因此, 本文基于前期的研究构建胶原液晶膜, 通过仿生矿化研究胶原液晶模板对于仿生矿化的影响, 以期得到具有从微观到宏观都非常有序的材料. ...
The mechanism of biomineralization of bone-like apatite on synthetic hydroxyapatite: an in vitro assessment,
0
2004
Progression of aortic valve stenosis: TGF-β1 is present in calcified aortic valve cusps and promotes aortic valve interstitial cell calcification via apoptosis,
1
2003
... 为此, 在仿生矿化6 h时取出40 mg/mL液晶胶原仿生矿化膜, 茜素红染色后在光镜及偏光显微镜下观察钙磷盐的沉积效果.从图2 可见, 在光镜条件下40 mg/mL的矿化膜颜色较深.茜素红是对所形成的钙磷盐结节的染色[14 ] , 因此表明40 mg/mL胶原膜上所沉积的钙磷盐较多.在偏光条件下40 mg/mL矿化膜随载物台旋转45°后, 染色条纹随之发生改变.这表明, 所沉积的钙磷盐也具备与胶原纤维同样的取向性, 钙磷粒子是在胶原纤维上产生了内沉积.但是, 由于10 mg/mL的胶原膜在偏光条件下为暗场[11 ] , 观察不到同样的现象. ...
1
2012
... 从矿化24 h后胶原膜的扫描电镜观察(图4 )可知, 在非液晶相胶原薄膜上依然能看到胶原纤维随机分布排列(如图4 a中黑色箭头所示), 钙磷盐随着胶原纤维取向沉积; 而在胶原液晶薄膜上胶原纤维沿某一方向取向排列(如图4 b中黑色箭头所示), 钙磷盐沿着胶原取向沉积, 形成致密有序的矿化层.这个结果与在电纺丝所制备的宏观取向有序的胶原纤维是所沉积的钙磷盐为片状晶体完全不同[15 ] , 也与在具有三股螺旋的胶原纤维上所沉积的钙磷盐虽然沿着胶原取向沉积不同[16 ] , 本文在胶原液晶膜上沉积的钙磷盐更加有序且致密.这说明, 不仅胶原纤维的三股螺旋结构对钙磷盐沉积效果有影响, 胶原的宏观组装结构(液晶形态)也影响着钙磷离子的沉积.结合AFM观察结果可以推测, 胶原液晶膜在SBF的矿化过程中钙磷粒子首先在每根纤维内部先沉积且均匀覆盖, 随着时间的增加钙磷离子由在每根纤维内部沉积并增长至覆盖整根胶原纤维, 然后再在纤维与纤维之间的空隙处沉积, 得到非常有序致密的矿化层.而在非液晶胶原膜上, 由于胶原纤维排列无序, 即使钙磷离子也先在胶原纤维内沉积然后在覆盖整根胶原纤维, 最后也难以形成纤维与纤维间的有序矿化层.这个结果说明, 胶原纤维的整体有序性对最终矿化层的影响较大. ...
The role of collagen in bone apatite formation in the presence of hydroxyapatite nucleation inhibitors
1
2010
... 从矿化24 h后胶原膜的扫描电镜观察(图4 )可知, 在非液晶相胶原薄膜上依然能看到胶原纤维随机分布排列(如图4 a中黑色箭头所示), 钙磷盐随着胶原纤维取向沉积; 而在胶原液晶薄膜上胶原纤维沿某一方向取向排列(如图4 b中黑色箭头所示), 钙磷盐沿着胶原取向沉积, 形成致密有序的矿化层.这个结果与在电纺丝所制备的宏观取向有序的胶原纤维是所沉积的钙磷盐为片状晶体完全不同[15 ] , 也与在具有三股螺旋的胶原纤维上所沉积的钙磷盐虽然沿着胶原取向沉积不同[16 ] , 本文在胶原液晶膜上沉积的钙磷盐更加有序且致密.这说明, 不仅胶原纤维的三股螺旋结构对钙磷盐沉积效果有影响, 胶原的宏观组装结构(液晶形态)也影响着钙磷离子的沉积.结合AFM观察结果可以推测, 胶原液晶膜在SBF的矿化过程中钙磷粒子首先在每根纤维内部先沉积且均匀覆盖, 随着时间的增加钙磷离子由在每根纤维内部沉积并增长至覆盖整根胶原纤维, 然后再在纤维与纤维之间的空隙处沉积, 得到非常有序致密的矿化层.而在非液晶胶原膜上, 由于胶原纤维排列无序, 即使钙磷离子也先在胶原纤维内沉积然后在覆盖整根胶原纤维, 最后也难以形成纤维与纤维间的有序矿化层.这个结果说明, 胶原纤维的整体有序性对最终矿化层的影响较大. ...
Hydroxyapatite crystals grown on a cellulose matrix using titanium alkoxide as a coupling agent,
1
2003
... 在天然骨组织中羟基磷灰石经常和其他磷酸盐如DCPH、TCP、OCP、无定型磷酸钙盐等共存[17 ] , 其各自的Ca/P值为: 羟基磷灰石(HAP, Ca/P=1.67)、磷酸氢钙(DCPH, Ca/P=1.0)、磷酸三钙(TCP, Ca/P=1.5)、磷酸八钙(OCP, Ca/P=1.33)[18 ] .由图6 可见, 随着矿化时间的增加SBF溶液中的钙元素和磷元素的含量逐渐减少, 且在每一个相同的时间点液晶胶原薄膜组矿化液中剩余的含量均比非液晶胶原薄膜组上的要少, 间接说明了液晶胶原薄膜上更能促使钙磷离子的沉积.而从表1 中两种膜在不同时间点所沉积的钙磷盐钙磷比可见, 在仿生矿化6 h及12 h后液晶胶原膜上的钙磷比为1.这表明, 在这段时间内所沉积钙磷粒子形成了DCPD, 而随着仿生矿化时间的延长沉积的钙磷盐超OCP、TCP及HAP发生了一定程度的转变.但是非液晶胶原薄膜在SBF中仿生矿化不同的时间, 其钙磷比没有变化规律, 比值介于1.1到1.4之间, 且矿化24 h时钙磷比比液晶胶原膜上的小.结合AFM、XRD及SEM结果可知, 胶原液晶膜有利于钙磷离子的有序沉积, 所沉积的钙磷盐更趋于体内骨组织中钙磷盐的排列形态及组成. ...
A thorough physicochemical characterisation of 14 calcium phosphate-based bone substitution materials in comparison to natural bone,
1
2004
... 在天然骨组织中羟基磷灰石经常和其他磷酸盐如DCPH、TCP、OCP、无定型磷酸钙盐等共存[17 ] , 其各自的Ca/P值为: 羟基磷灰石(HAP, Ca/P=1.67)、磷酸氢钙(DCPH, Ca/P=1.0)、磷酸三钙(TCP, Ca/P=1.5)、磷酸八钙(OCP, Ca/P=1.33)[18 ] .由图6 可见, 随着矿化时间的增加SBF溶液中的钙元素和磷元素的含量逐渐减少, 且在每一个相同的时间点液晶胶原薄膜组矿化液中剩余的含量均比非液晶胶原薄膜组上的要少, 间接说明了液晶胶原薄膜上更能促使钙磷离子的沉积.而从表1 中两种膜在不同时间点所沉积的钙磷盐钙磷比可见, 在仿生矿化6 h及12 h后液晶胶原膜上的钙磷比为1.这表明, 在这段时间内所沉积钙磷粒子形成了DCPD, 而随着仿生矿化时间的延长沉积的钙磷盐超OCP、TCP及HAP发生了一定程度的转变.但是非液晶胶原薄膜在SBF中仿生矿化不同的时间, 其钙磷比没有变化规律, 比值介于1.1到1.4之间, 且矿化24 h时钙磷比比液晶胶原膜上的小.结合AFM、XRD及SEM结果可知, 胶原液晶膜有利于钙磷离子的有序沉积, 所沉积的钙磷盐更趋于体内骨组织中钙磷盐的排列形态及组成. ...