温轧温度对Cr-Ti-B系低碳钢组织与织构的影响
Effect of Warm-rolled Temperature on Microstructure and Texture in Cr-Ti-B Low Carbon Steel
通讯作者: 汪志刚,副教授,wzgang2008cn@163.com,研究方向为汽车钢组织与织构调控张迎晖,教授,jxustzyh@163.com,研究方向为金属结构材料组织性能调控技术
收稿日期: 2020-11-19 修回日期: 2021-04-01
| 基金资助: |
|
Corresponding authors: WANG Zhigang, Tel:
Received: 2020-11-19 Revised: 2021-04-01
作者简介 About authors
袁强强,男,1993年生,硕士生
使用扫描电镜、电子背散射衍射、透射电子显微镜和固体内耗仪研究了温轧温度对Cr-Ti-B系低碳钢组织和织构的影响。结果表明,温轧后钢的组织由变形铁素体和少量珠光体所组成,随着温轧温度的提高铁素体晶内剪切带的含量呈现先提高后降低的趋势,在450℃温轧剪切带的含量最高。剪切带的形成,与Ti和B元素的偏聚密切相关。在350℃和550℃温轧的温轧板中以{001}<110>和{223}<110>为主织构组分,而在450℃温轧的剪切带明显促进γ纤维织构的形成。温轧温度对{001}<110>密度的影响较小而对γ纤维织构的影响较大,{111}<112>组分较为稳定;位错密度和内耗的结果间接表明,低温阶段固溶C原子与位错的交互作用以及高温阶段的动态回复是抑制剪切带和减弱γ纤维织构的主要原因。
关键词:
The effect of warm rolling temperature on deformation microstructure and texture of C-Cr-Ti-B low carbon steel were analyzed by means of scanning electron microscopy, electron backscatter diffraction, transmission electron microscopy and internal friction measurement. The results show that the microstructure after warm rolling was composed of deformed ferrite and a few of pearlite, while the ferrite content in-grain shear band increased first and then decreased with the increase of warm rolling temperature, which reaches the maximum when warm rolling at 450℃. The information of shear bands is closely related to the segregation of Ti and B elements. {001}<110> and {223}<110> textures are the main components at 350℃ and 550℃ respectively, and the shear band formed during rolling at 450℃ favors the formation of the γ-fiber texture obviously. The rolling temperature had little effect on the intensity of the {001}<110> but more effect on the γ-fiber, and the {111}<112> component was the stable texture. The results of dislocation density and internal friction test indirectly indicate that the strong interaction between solid solution C atom and dislocation is the reason to inhibit the formation of shear band at low temperature, whereas, the dynamic recovery leads to weak γ-fiber texture at high temperature.
Keywords:
本文引用格式
袁强强, 汪志刚, 江永芳, 张迎晖, 黄安康, 叶洁云.
YUAN Qiangqiang, WANG Zhigang, JIANG Yongfang, ZHANG Yinghui, HUANG Ankang, YE Jieyun.
弱{001}织构和强{111}织构有利于塑性应变比(r值)的提高,并且再结晶{111}织构的形成与晶内剪切带的形态和含量密切相关[6~8]。剪切带是局部不均匀变形引起的。较高的局部塑性变形程度能提供更高的形变储能,为{111}晶粒提供形核点。因此,退火时{111}晶粒在剪切带处优先形核并长大。Mohammad[9]发现,温轧温度从440℃提高到640℃低碳钢(Low Carbon Steel,LC)中的晶内剪切带含量从70%降低到50%而IF钢几乎不变。Timokhina等[10]将剪切带分为4种类型,认为IF钢和LC钢中的“长剪切带”最有利于γ纤维织构的形成,而LC钢中此类剪切带极少,大部分属于“强长剪切带”和“强短剪切带”类型,易诱发高斯织构形核。Barnett和Jonas[11]统计了从室温到700℃ LC钢中晶内剪切带含量,发现低于300℃其含量约为50%,高于300℃则剪切带数量急剧下降,700℃时几乎没有晶内剪切带。
轧制温度,对剪切带的形成和晶粒取向密度有显著的影响。在含Cr的LC钢中有细小的渗碳体、Cr3C2以及粗大Cr23C6等析出相,这类析出相能降低基体中固溶C含量从而促进轧制过程中晶内剪切带的形成。Timokhina[10]在含Cr的LC钢温轧板(640℃)中观察到微观带及剪切带上大量细小的碳化物,粗大的Cr23C6则位于晶界附近。但是温度过高时这些碳化物的溶解使基体固溶C的含量提高,抑制剪切带的形成。Nave等[12]发现,在固溶C含量较高的钢中高斯织构容易在取向为{111}<112>的剪切带中生成。这表明,固溶C影响剪切带的形成,对低碳钢的温轧至关重要。王玉等[13]使用内耗仪观察Snoek峰的变化以反应固溶C含量的变化,间接说明固溶C含量的降低有利于深冲织构的发展。本文研究温轧温度对低碳钢温轧板组织和织构的影响,分析在不同温度下温轧织构的演变以及所产生的剪切带对织构的影响,并借助于固体内耗仪表征固溶C以进一步揭示剪切带、形变织构和固溶原子之间的内在联系。
1 实验方法
使用25 kg真空感应熔炼炉冶炼实验用钢并锻造成尺寸为130 mm×100 mm×25 mm的锻坯,其化学成分列于表1。先用加热炉将锻坯加热到1200℃保温2 h,然后经4道次轧至5.5 mm厚空冷至室温,终轧温度高于850℃。将冷轧板用10%的盐酸水溶液酸洗后,用线切割切成尺寸为100 mm×50 mm×5.5 mm的样品用于温轧,然后经两道次温轧(250~650℃,间隔为100℃,压下量为64%,水冷)至2 mm厚。
表1 Cr-Ti-B低碳钢的化学成分
Table 1
| Element | C | Mn | Cr | Ti | Al | B | N | Fe | |
|---|---|---|---|---|---|---|---|---|---|
| Content | 0.037 | 0.19 | 0.48 | 0.015 | 0.012 | 40×10-6 | 24×10-6 | Bal. |
将试样用600#、1200#、2000#砂纸打磨并机械抛光,用4%硝酸酒精浸蚀16 s得到金相组织。用200HVS-5数显小负荷维氏硬度计测试硬度,测试力为29.42 N,保荷时间为15 s,测试面为RD-ND(轧向-法向)面。用电解抛光制备EBSD(电子背散射衍射)试样(电解参数:电压20 V,电流1.5 A,时间18 s),用ZEISS-Sigma型场发射电子扫描电镜(配备电子背散射衍射仪,牛津公司)观察微观织构和扫描组织,加速电压为20.0 kV,使用HKL Channel 5.0软件处理EBSD数据,角度差设置为15°。使用MFP-1000型多功能内耗仪用自由衰减扭摆法进行内耗测试,试样的尺寸为45 mm×2 mm×1 mm,有效长度为30 m,测量前将试样的表面打磨清洗干净,频率区间为2.4~3.7 Hz,测试温度区间为室温到573 K。透射样品的制备:用线切割在试样的RD-TD(轧向-横向)面取样,将其打磨至50 μm后进行冲孔(ϕ 3 mm)以去除毛刺,再用5%高氯酸酒精溶液在-15℃进行双喷减薄,电压设置为35 V。透射电子显微镜型号为FEI TECNAI G2 F20 S-TWIN。
2 实验结果
2.1 温轧后的显微组织
图1
图1
在不同温度温轧后Cr-Ti-B系低碳钢的金相组织以及剪切带含量与温轧温度的关系
Fig.1
Microstructure of Cr-Ti-B LC steel rolled at 250℃ (a), 350℃ (b), 450℃ (c), 550℃ (d), 650℃ (e) and relationship between content of shear band and rolling temperature (f)
图2
图2
Cr-Ti-B系低碳钢在450℃温轧后的剪切带分布和珠光体及剪切带精细结构
Fig.2
SEM microstructure of Cr-Ti-B LC steel rolled at 450℃ (a) shear bands; (b) pearlite phase
2.2 织构特征
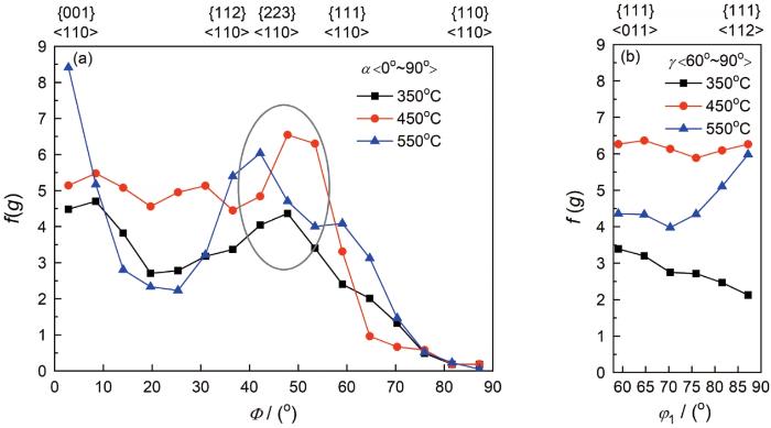
选取350~550℃三个试样,用EBSD统计其晶粒取向,结果如图3所示。温轧板取向均以{111}和{110}面织构为主,以及强旋转立方织构。随着轧制温度的提高旋转立方织构逐渐增强。α织构的规律相同,350℃时γ取向很弱,最强仅为4.0,450℃时从{111}<110>到<112>都很强,550℃在{111}<112>处与450℃相当。
图3
图3
在不同温度温轧后样品中心φ2=45°ODF图
Fig.3
Constant φ2=45° ODF sections obtained at the center of sample after rolling temperature at 350℃ (a), 450℃ (b) and 550℃ (c)
图4给出了α和γ特征取向的取向密度分布。对于α纤维织构,在{223}<110>附近出现一个明显的峰值(a中的椭圆);还可以发现,随着温度的提高旋转立方({001}<110>)的强度提高,550℃时最强。γ纤维织构的密度相差很明显,450℃时γ取向密度最高,各特征取向密度均高于6.0,其次为550℃,350℃最弱。
图4
图4
在不同温度温轧后α和γ取向线的取向密度分布
Fig.4
Variation in the orientation density along the α and γ orientation lines of steel plates after warm rolling different temperature (a) α orientation line; (b) γ orientation line
3 讨论
3.1 晶内剪切带
晶内剪切带是深冲钢轧制过程中产生的重要微观结构,其形成与钢中C含量和轧制工艺有密切的关系。只有当晶体内沿着剪切方向有较大的切应变时才能形成,并与轧制方向成约35°角。通常剪切带不出现在取向为α的晶粒中,只出现在取向为γ的某些晶粒当中[14]。对于Cr-Ti-B系低碳钢,剪切带的含量随着轧制温度的提高先提高后降低,在450℃温轧产生的 “强短剪切带”最多。轧制温度的改变,主要通过在低温下的动态应变时效和高温下的动态回复产生影响。轧制温度为350℃时位错运动遇到细小析出相时受阻,产生位错塞积(图5a),而剪切带是位错的交滑移形成的。位错塞积阻碍交滑移的继续,抑制了剪切带的形成;而轧制温度为550℃,位错胞的形成证明发生了动态回复(图b)。
图5
图5
350℃和550℃温轧板中位错塞积和位错胞的形成
Fig.5
State of dislocation rolled at 350℃ and 550℃ (a) pile-up; (b) dislocation cell
剪切带是再结晶过程{111}取向晶粒形核的重要位置,而在变形带则容易发生非{111}晶粒形核。为了确定Cr、Ti和B元素对剪切带形成的影响,分别对剪切带和变形带做了面扫,如图6所示。扫描的结果表明,B元素易存在于此类剪切带中,其含量几乎是变形带中的10倍,对于Ti元素则相差5倍。Jonas等[8]的研究结果表明,添加Cr、B、Ti元素能促进剪切带的形成。其原因是:Cr和B能降低低碳钢变形时的峰值应力和应变速度敏感系数。因此,当应变速度增加时流动应力不至于大幅度增加,而剪切带的形成正好依赖于较大的应变速度;Ti则通过形成TiC粒子或者团簇降低基体中C的含量,从而促进剪切带的形成。以上结果说明,在Cr-Ti-B系低碳钢中,在450℃轧制时B和Ti元素对形成剪切带的促进作用最大,因此在该温度温轧能产生强γ纤维织构。
图6
图6
变形带和剪切带内元素的含量和分布
Fig.6
Element content and distribution in deformation band (a) and shear band (b)
3.2 位错密度和间隙C原子的含量
在温轧过程中,当固溶原子与位错运动速率相当时容易引起DSA,从而抑制晶内剪切带的形成并恶化织构[15]。通过EBSD和测试内耗统计几何必须位错密度(ρGND)和固溶原子量,可定性分析固溶原子与可动位错的交互作用。
图7a~c给出了350℃~550℃轧制时的晶粒取向分布(IPF),结果为较大变形的<100>//ND取向(红色),小变形的<111>//ND取向(深蓝色),以及少量中等变形的<110>//RD取向(绿色)。图中的颜色交错区域则表示晶粒内产生了较大的畸变,此区域内的位错密度较高。根据统计结果,在350℃、450℃和550℃温轧对应的LOMave值分别为1.063°、0.977°和0.743°,几何必须位错密度也表现相同的规律,分别为1.072×1012 cm2、0.985×1012 cm2和0.749×1012 cm2,如图7d~f所示。几何必须位错密度的变化,一方面归因于动态回复程度,温轧温度越高回复程度越高,位错密度降低。几何必须位错密度的计算公式为[16]
其中µ为扫描步长,为0.8 μm,b为伯氏矢量,LOMave为局部平均取向差。
图7
图7
在不同温度温轧后晶粒取向分布和几何必须位错密度
Fig.7
Grain orientation distribution and geometrically necessary dislocation density change after warm rolling at different rolling temperature (a, d) 350℃; (b, e) 450℃; (c, f) 550℃
另一方面,由于在350℃温轧固溶原子运动速率与位错迁移速率相当,大量位错被钉扎,使局部的位错密度很高。为了进一步验证几何必须位错密度的变化规律,测试了样品的硬度,结果如图8所示。可以看出,随着温轧温度的提高硬度降低,在350~550℃温轧硬度降低较快,随后缓慢降低,与几何位错密度的变化趋势一致。
图8
图8
温轧板硬度与轧制温度的关系
Fig.8
Relationship between hardness and rolling temperature of warm rolled plate
式中R为气体常数,Tm和fm为内耗峰对应的峰温和频率,KB为玻尔兹曼常数,h为普朗克常量,ΔS为熵变,其数值为1.1×10-4 eV/K。其余样品的激活能,均为72.65~77.4 kJ/mol之间,都在C的激活能范围内。
图9
图9
热轧板和在不同温度温轧后温轧板的内耗曲线
Fig.9
Internal friction curves of hot rolling plate (a) and warm rolling plate after rolling at 250℃ (b), 350℃(c), 450℃ (d), 550℃ (e) and 650℃ (f)
图10
图10
M7C3和M23C6的析出与温轧温度的关系
Fig.10
Relationship between M7C3 and M23C6 precipitate and warm rolling temperature
“B”峰是溶质原子与位错的交互作用引起的,据此可进一步判断交互作用强弱。温轧过程中的变形打碎了一些不稳定的C的脱溶产物(渗碳体,珠光体以及含Cr的碳化物等),使局部区域的固溶C的含量提高,相当于C发生了局部偏聚(或者气团)[120],位错穿过此区域即产生图9b~f中的“B”峰。
表2 在不同温度轧制后低碳钢的内耗
Table 2
| Rolling temperature/℃ | Snoek | B | f / Hz | Activation energy (H) /kJ·mol-1 | ||
|---|---|---|---|---|---|---|
| Tm/℃ | Qm | Tm/℃ | Qm | |||
| 250 | 50 | 4.96×10-4 | 116 | 4.10×10-4 | 3.7 | 76.05 |
| 350 | 32 | 1.26×10-3 | 136 | 3.44×10-4 | 2.53 | 72.65 |
| 450 | 32 | 1.11×10-4 | 120 | 1.84×10-4 | 2.34 | 72.85 |
| 550 | 51 | 1.09×10-4 | 126 | 8.55×10-5 | 2.46 | 77.40 |
| 650 | - | - | 112 | 1.99×10-4 | 3.18 | - |
剪切带的形成受制于固溶C和位错密度两个因素,低温时尽管位错密度较高,但是固溶C含量偏高,易形成DSA而抑制剪切带。高温时尽管固溶C含量降低,但是位错密度偏低,不足以产生剪切带。
4 结论
(1) Cr-Ti-B系低碳钢温轧后的组织由变形铁素体和少量珠光体组成,随着温轧温度的提高铁素体晶内剪切带的含量先提高后降低,温轧温度为450℃时达到峰值。
(2) Cr和B元素的偏聚更易促进剪切带的形成,从而使在450℃温轧形成较强的γ纤维织构,而在350℃和550℃温轧分别以{001}<110>、{223}<110>和{111}<112>织构为主组分。
(3) 温轧温度为350℃的温轧板Snoek峰较高,说明其固溶C的含量较高,温轧为550℃的温轧板中“B”峰的降低归因于动态回复导致位错胞形成以及位错密度的明显下降。这两个因素是出现非γ纤维织构的主要原因。
参考文献
Texture evolution of a IF steel during ferritic rolling and direct annealing
[J].
IF钢铁素体区热轧和退火过程中织构的演变
[J].
A summary of theory and application of ferrite rolling technology
[J].
铁素体轧制技术理论与应用综述
[J].
Effect of warm rolling process on phase transformation, microstructure and mechanical properties of Nano-Bainite steel
[J].
温轧工艺对纳米贝氏体相变速率、组织和力学性能的影响
[J].
Effect of ferritic hot rolling schedule on texture and deep drawability of Ti-IF steel
[J].
铁素体区轧制工艺对IF钢织构及深冲性能的影响
[J].
Warm deformation and dynamic strain aging of a Nb-Cr microalloyed low-carbon steel
[J].
Occurrence of shear bands in heavily rolled cubic metals
[J].
Warm rolling behaviour of low carbon steels
[J].
Shear band thickening during rolling of interstitial free steel
[J].
Effect of rolling temperature on the recrystallization texture of warm rolled steels
[J].
Effect of alloying elements on the microstructure and texture of warm rolled steels
[J].
Influence of ferrite rolling temperature on microstructure and texture in deformed low C and IF steels
[J].
The influence of solute carbon in cold-rolled steels on shear band formation and recrystallization texture
[J].
Effect of different rolling technological process on the solution of carbon in MR T-2.5 tinplate
[J]. J.
轧制工艺对MR T-2.5镀锡基板C原子固溶的影响
[J].
Formation of shear band in cold rolled boby-centered cubic metal
[J]. J.
冷轧体心立方IF钢中剪切带的形成
[J].
Dynamic strain ageing behavior of micro-alloyed low carbon steel
[J].
微合金化低碳钢的动态应变时效行为
[J].
Mechanism-based strain gradient plasticity-I. Theory
[J]. J.
Application of internal friction technique in investigating atomic defects of metallic crystalline
[J]. J.
内耗技术在金属晶体原子缺陷方面的应用研究
[J].
Internal friction in a martensitic high-carbon steel
[J].
A new method for determining the heat of activation for relaxation processes
[J].
The formation mechanism of texture {111} in low carbon deep drawing steel
[J].
关于低碳深冲钢板中{111}织构的形成机制问题(一)
[J].
/
| 〈 |
|
〉 |
