材料研究学报, 2019, 33(7): 505-514 DOI: 10.11901/1005.3093.2018.664

研究论文

功能化石墨烯/埃洛石纳米管对聚丙烯的协同强韧化改性研究

王正君1, 刘虹财1, 郭怡1, 卞军,1, 李建保1, 蔺海兰,1, 鲁云2

1. 西华大学材料科学与工程学院 成都 610039

2. 千叶大学科学与工程研究院 机械工程系 千叶 262-8522 日本

Synergistic Strengthening-Toughening Modification of Polypropylene with Functional Graphene/Halloysite Nanotubes

WANG Zhengjun1, LIU Hongcai1, GUO Yi1, BIAN Jun,1, LI Jianbao1, LIN Hailan,1, LU Yun2

1. College of Materials Science and Engineering, Xihua University, Chengdu 610039, China

2. Department of Mechanical Engineering, Graduate School of Science and Engineering, Chiba University, Chiba 262-8522, Japan

通讯作者: 蔺海兰,高级实验师,linhailan2003@163.com,研究方向为高分子材料共混改性卞军,教授,bianjun2003@163.com,研究方向为聚合物基结构与功能复合材料

责任编辑: 黄青

收稿日期: 2018-11-19   修回日期: 2019-03-15   网络出版日期: 2019-07-23

基金资助: 国家教育部春晖计划合作项目.  Z2018088
国家教育部春晖计划合作项目.  Z2017070
西华大学大健康管理促进中心开放课题基金.  DJKG2019-002
西华大学“西华杯”大学生大创项目.  2019051
创新创业环境下“大材料学科”专业综合改革与实践教学团队项目.  05050028

Corresponding authors: LIN Hailan; Tel: 15680863446; E-mail:linhailan2003@163.comBIAN Jun, Tel: 13880538676, E-mail:bianjun2003@163.com

Received: 2018-11-19   Revised: 2019-03-15   Online: 2019-07-23

Fund supported: Cooperation Project of Chunhui Plan of the Ministry of Education of China.  Z2018088
Cooperation Project of Chunhui Plan of the Ministry of Education of China.  Z2017070
Open Research Project of Comprehensive Health Promotion Center of Xihua University.  DJKG2019-002
“Xihua Cup” Innovation and Entrepreneurship Project for College Students of Xihua University.  2019051
the Comprehensive Reform and Practical Teaching Team Project of "Material Discipline" under Innovative and Entrepreneurial Environment.  05050028

作者简介 About authors

王正君,男,1991年生,硕士生

摘要

以功能化氧化石墨烯(GO)-埃洛石纳米管(HNTs)杂化材料(GO@HNTs)为纳米填料,以聚丙烯(PP)为基体,通过熔融共混法制备了不同GO@HNTs 含量的GO@HNTs/PP纳米复合材材料,并对所得杂化填料和PP纳米复合材料的结构与性能进行系统研究。研究结果表明,功能化GO与HNTs之间存在化学相互作用,二者之间形成的“屏障效应”抑制了彼此在PP基体中的团聚。仅添加0.5%GO@HNTs杂化纳米填料后,PP复合材料的拉伸强度和冲击强度分别较纯PP提高了17.5%和80.4%,与单独添加相同含量的GO或HNTs所得复合材料的力学性能相比,GO@HNTs杂化纳米填料对PP基体具有明显的协同增强增韧改性作用。与纯PP相比,GO@HNTs/PP试样表现出更高的储能模量、损耗模量和玻璃化转变峰值。由于GO@HNTs的“异相成核效应”和“物理热阻效应”,有效提高了PP纳米复合材料的结晶温度、熔融温度、结晶度和耐热分解温度。

关键词: 复合材料 ; 聚丙烯(PP) ; 石墨烯 ; 埃洛石纳米管 ; 性能

Abstract

Nanocomposites of GO@HNTs/PP were prepared through melt blending method with polypropylene (PP) as matrix and hybrid nanofillers (GO@HNTs) composed of functionalized graphene oxide (GO) and halloysite nanotubes (HNTs) as filler. The structures and properties of the prepared hybrid nanofillers and PP nanocomposites were systematically investigated. Results show that there is chemical interactions between functionalized GO and HNTs, resulting in formation a "barrier effect" between them and inhibit the aggregation of the two species in the PP matrix. The tensile strength and impact strength of PP nanocomposites with 0.5% GO@HNTs hybrid nano-filler increased by 17.5% and 80.4%, respectively, compared with those of pure PP. Compared with the mechanical properties of composites prepared by adding the same content GO or HNTs alone, GO@HNTs hybrid nano-filler had obvious synergistic strengthening-toughening effect on the PP matrix. GO@HNTs/PP exhibited higher storage modulus, loss modulus and glass transitional temperatures than those of pure PP. The crystallization temperature, melting temperature, crystallinity and thermal decomposition temperature of PP nanocomposites are effectively increased due to the “heterogeneous nucleation effect” and “physical insulation effect” of GO@HNTs.

Keywords: Composite ; Polypropylene (PP) ; Graphene ; Halloysite Nanotube (HNTs) ; Properties

PDF (12011KB) 元数据 多维度评价 相关文章 导出 EndNote| Ris| Bibtex  收藏本文

本文引用格式

王正君, 刘虹财, 郭怡, 卞军, 李建保, 蔺海兰, 鲁云. 功能化石墨烯/埃洛石纳米管对聚丙烯的协同强韧化改性研究. 材料研究学报[J], 2019, 33(7): 505-514 DOI:10.11901/1005.3093.2018.664

WANG Zhengjun, LIU Hongcai, GUO Yi, BIAN Jun, LI Jianbao, LIN Hailan, LU Yun. Synergistic Strengthening-Toughening Modification of Polypropylene with Functional Graphene/Halloysite Nanotubes. Chinese Journal of Materials Research[J], 2019, 33(7): 505-514 DOI:10.11901/1005.3093.2018.664

石墨烯因其优异的力学、热学和电学性能而被广泛用作制备高性能聚合物基纳米复合材料的功能性纳米填料[1,2,3,4,5]。然而,因为石墨烯片层极易团聚,且聚合物基体和石墨烯片层之间的相容性差,导致在聚合物基体中实现石墨烯的彻底剥离和均匀分散比较困难[6]。目前,利用氧化石墨烯(GO)的含氧官能团进行化学官能化改性增强石墨烯分散性的有效方法之一[7]。GO作为天然石墨氧化后剥离的产物,因其对聚合物具有优异的增强作用而备受关注,其增强机制主要与GO片层的高强度和高模量以及GO与聚合物基体之间的强界面相互作用有关[8,9]。在GO片层的边缘上含有亲水性官能团,包括羟基、羧基和羰基[10,11],这些官能团的存在赋予了GO更多的物理化学特性,并因此使得对GO进行功能化成为了可能。典型的功能化策略,如“嫁接或者接枝”已经在相关其他研究[12,13,14]和前期研究[15,16]中报道过。这些策略对提高聚合物复合材料中基体与填料的相容性和界面强度体现出明显的效果。然而,由于GO接枝单体的引入会损失复合材料的某些性能,而更重要的问题是“接枝”仍然不能抑制由于接枝单体分子链的互相“缠结”而引起GO片层的聚集。显然,这些不足可以通过在石墨烯片层之间设计或者引入某种相互“屏障效应”而得以解决,并最终促进GO在聚合物基体中的均匀分散,以及有效地实现GO对基体的改性效应。

前期研究结果表明,石墨烯片层之间的“屏障效应”可以通过将GO与不同纳米材料进行杂化制备杂化填料得以实现[17,18]。由于组分之间产生物理和化学性能的协同,所得杂化填料作为聚合物基纳米复合材料的功能性填料已经成为研究的热点。GO与包括金属氧化物,如氧化锌(ZnO)[19]、二氧化钛(TiO2)[20]、氧化铜(CuO)[21],或金属,如银(Ag)[22],或无机颗粒,如二氧化硅(SiO2)[17,23,24,25]等进行杂化已有报道。在这些杂化填料中,纳米颗粒沉积在GO片层上,有效抑制了GO片层的聚集,促进了GO片层的分散。对改善聚合物基体的力学性能、热性能及其他功能性能具有明显的效果。此外,最近的研究发现,通过引入一维填料,如碳纳米管(CNTs)[26,27],可以促进GO在聚合物基体中的分散。CNTs和GO的杂化可以对基体的热稳定性、力学性能[28,29,30]、导热性[31]和导电性[32]产生明显的协同改性效应,这种协同效应具有比单独使用CNTs或者GO更大的性能提升效果。这归因于CNTs和GO形成有效的三维网络结构。

埃洛石纳米管(HNTs)是具有纳米管状结构的天然粘土矿物,在工业领域中具有广泛的应用潜力。HNTs具有高刚性和链状结构特征,尤其是其表面的羟基有利于对HNTs进行功能化修饰,及其与聚合物基体之间形成氢键相互作用,而广泛用于填充改性聚合物已实现其多功能化应用[33,34,35,36,37,38,39,40]。HNTs的增强效应取决于其分散状态。若能利用GO和HNTs的优点来制备一种新型的杂化纳米填料,将有望实现二者对聚合物基体的协同改性效果。本研究先用单宁酸(TA)为功能化单体修饰GO制备了GO接枝TA(GO-g-TA),然后通过溶液复合法设计并合成了一种新型的GO/HNTs杂化纳米填料(GO@HNTs),最后以聚丙烯(PP)为基体,经熔融共混法制备了不同GO@HNTs杂化填料含量的GO@HNTs/PP纳米复合材料,并对其微观结构和性能进行了系统的研究。以期借助于GO和HNTs之间的化学相互作用建立GO和HNTs的相互“屏障效应”,以有效促进填料在PP基体中的分散性,并对改善PP纳米复合材料的性能产生明显的协同效应。

1 实验方法

1.1 实验原材料

聚丙烯(PP),T30S(中国石油天然气独山子分公司)。天然石墨粉[NGP,SP-2,(C>99%,D=5 mm)](青岛天河石墨有限公司)。埃洛石纳米管(HNTs)(灵寿县亚通矿物粉体厂)。KMnO4(A.R.)、NaNO3(A.R.)、浓H2SO4(>96%)、H2O2(A.R.)、无水C2H5OH(A.R.)和单宁酸(TA)(成都市化工试剂厂)。

1.2 氧化石墨、氧化石墨烯(GO)和GO-g-TA的合成

以NGP为原料,在强氧化剂KMnO4和浓H2SO4的存在下进行NGP氧化反应合成氧化石墨,具体步骤如文献[15]所述。然后将得到的氧化石墨进行超声处理后得到GO。接着在三颈烧瓶中加入一定量的GO和TA。然后在缓慢搅拌下加入蒸馏水形成均匀的悬浮液。将悬浮液在氮气气氛中于80℃下剧烈搅拌12 h完成GO的功能和改性。最后过滤,蒸馏水洗涤,收集得到产物在80℃下真空干燥12 h,得到GO-g-TA。

1.3 GO@HNTs杂化纳米填料的制备

将一定量的GO-g-TA均匀分散在蒸馏水中,然后加入一定量的HNTs,超声分散形成均匀的悬浮液,接着悬浮液在40℃下反应1 h。最后,将得到的混合物过滤、干燥,得到GO@HNTs杂化纳米填料。杂化纳米填料中GO和HNTs的质量比为1:10。

1.4 PP纳米复合材料的制备

采用熔融共混法制备了三种不同的纳米复合材料,包括GO/PP、HNTs/PP和GO@HNTs/PP。为了改善填料在PP纳米复合材料中的分散性,采用文献[41]中报道的预涂覆方法。以GO@HNTs/PP纳米复合材料的制备为例,首先将GO@HNTs在无水乙醇中超声分散1 h,然后将PP颗粒加入GO@HNTs溶液中,继续超声处理1 h后在80℃下干燥去除溶剂,使PP颗粒完全均匀覆盖GO@HNTs纳米杂化材料。将上述预混物加入密炼机(HL-200型)中进行熔融共混,熔融共混温度为200℃,时间为10 min。所得复合材料再经XLB型平板硫化机压板、用XCS-101-200型冲片机裁样后得到哑铃形试样(62.5 mm×3.25 mm×0.7 mm)进行拉伸试验和矩形试样(10 mm×1.5 mm)进行冲击试验。复合材料的GO@HNTs的质量含量分别为0、0.25%、0.5%、1%和2%。为便于比较,采用相同的方法制备了含有最佳填料含量的GO/PP和HNTs/PP纳米复合材料。

1.5 结构分析与性能表征

采用UV-1800 PC型(日本)紫外-可见分光光度仪测试杂化纳米填料在水溶液中的分散状态。填料在水溶液中的浓度为0.05 mg/mL,测试波长范围为400~700 nm。

红外光谱(FTIR)测试在傅里叶红外光谱仪(TFS-135,美国)上进行。NGP、GO、GO-g-TA、HNTs和GO@HNTs样品为粉末状,粉末采用KBr压片制样。

拉曼光谱(Raman)测试在Renishaw invia型(英国雷尼绍公司)拉曼分析仪上进行。采用Ar离子激光器,激光波长为514.5 nm,光谱范围为4000~100 cm-1

X射线衍射(XRD)测试在X射线分析仪(DX2500,丹东方圆仪器有限公司)上进行。测试条件:40 KV,200 mA,CuKa,λ=0.154nm。扫描角度为0o到60o,步长为0.02o/sec。NGP、GO、GO-g-TA、HNTs和GO@HNTs样品为粉末状,PP和PP纳米复合材料为热压的板材。

粉末填料的微观形貌在Quanta 250 PEG型扫描电子显微镜(SEM)下观察,填料在PP基体中的分散状态采用JEOL JSM-820型(日本电子美国公司)电镜下观察。粉末观察前,先均匀分散于乙醇中,然后将溶液滴在导电胶上,经真空干燥后上机观察。PP纳米复合材料为冲击试样断面,样品上机前经喷金处理30 s。

采用示差扫描量热法(DSC)测试复合材料的熔融结晶行为,测试在微分扫描量热仪(NETZSCH DSC-200PC,德国耐驰公司)上进行。N2保护下先将样品从室温以20℃/min加热到220℃,保温5 min以消除热历史;再以20℃/min的降温速度降到室温,恒温5 min;最后以20℃/min的升温速度加热到220℃。通过第二次升温过程获得熔融热焓,通过降温段获得结晶参数。结晶度(Xc)的计算公式为:

Xc=ΔHmΔHm0(1-wf)×100%

式中,ΔHm为结晶潜热,ΔHm0为结晶度为100%结晶PP的熔融热焓(209 J/g)[42],wf为复合材料中填料的质量分数。

复合材料的动态力学性能(DMA)分析在Q800(TA仪器公司,美国)型动态热机械分析仪上进行。在测量过程中选择拉伸模式。升温速率为1℃/min,频率为1 Hz。

热失重分析(TG)在同步热分析仪(NETZSCH STA449 F3,德国耐驰公司)上进行。升温速率为20℃/min,温度范围在50~750℃,Ar气氛,样品质量在15 mg左右。

拉伸测试在CMT6104(深圳三思纵横科技股份有限公司)型电子万能(拉力)试验机上进行。测试在室温下进行,拉伸速度为10 mm/min,每个配比测试5个试样并取平均值。

冲击性能测试在TCJ-25(吉林省泰和试验机有限公司)型摆锤式冲击试验机上进行,试样均洗V型缺口,宽度为2 mm。

2 结果分析与讨论

2.1 纳米填料的表面性能与微观结构

用UV-Vis测定填料在去离子水溶液中的分散情况。吸收强度与填料在溶液中的浓度和分散度成正比,即填料在去离子水中的分散性越好,其吸收强度越大。不同填料在水溶液中的UV-Vis吸收光谱如图1所示。GO/水溶液具有最大的吸收强度,而HNTs/水溶液具有最小的吸收强度。GO@HNTs/水溶液吸收强度的理论值可以用线性叠加关系计算。如果理论值小于实验值,则认为当溶液中同时存在GO和HNTs时,填料的分散性得到改善。从图1可以看出,GO@HNTs/水溶液的实验吸收强度略高于理论计算值。由于HNTs对GO@HNTs/水吸收强度的贡献相对较小,这可以从HNTs/水的低吸收强度得到证实,所以GO@HNTs/水的吸收强度主要与GO在溶液中的浓度和分散有关。与理论模拟值相比,GO@HNTs/水溶液的吸收强度明显提高,表明GO在溶液中的分散性得到改善。原因之一可能是HNTs通过静电相互作用沉积在GO表面上,这阻止了GO片在溶液中的聚集;另一种原因可能是吸附的HNTs提高了GO片的紫外-可见光吸收强度。UV-Vis结果表明,GO和HNTs之间存在一定的相互作用。

图1

图1   GO (0.05 mg/mL)、GO-g-TA (0.05 mg/mL), HNTs (0.05 mg/mL)、GO@HNTs (0.05 mg/mL) 纳米杂化填料的紫外-可见光谱曲线及GO@HNTs通过线性叠加关系耦合所得吸收强度理论变化曲线

Fig.1   UV-vis absorption spectra of GO (0.05 mg/mL), GO-g-TA (0.05 mg/mL), HNTs (0.05 mg/mL), GO@HNTs hybrid nanofillers (0.05 mg/mL), and the theoretical value of absorption intensity of GO@HNTs hybrid nanofillers solution simulated by linear superposition relation


图2为NGP、GO、GO-g-TA、HNTs和GO@ HNTs杂化纳米填料的FTIR光谱。可以看出,NGP呈惰性,红外光谱中没有吸收峰。GO在3394 cm-1(O-H伸缩振动)、1720 cm-1(C=O伸缩振动)、1613 cm-1(C=C伸缩振动)、1389 cm-1(C-OH伸缩振动)和1109 cm-1(C-O-C伸缩振动)[12,25]波数处呈现特征吸收峰。这些含氧官能团的存在赋予了GO化学功能性修饰的可能性。GO-g-TA中与GO的O-H、C=O和C=C有关的红外特征吸收峰分别移到了3444、1697和1568 cm-1处,而在1176 cm-1处出现了新的吸收峰,证明TA已成功地接枝到了GO上。在GO@HNTs杂化纳米填料的红外光谱中,在1027~1095 cm-1范围内HNTs中相应的Si-O基团吸收峰变宽,表明GO-g-TA与HNTs中的Si-O键之间形成了氢键。此外,Al-O的吸收峰出现在907 cm-1,证明在GO-g-TA中的邻苯二酚与HNTs中的Al-O键之间形成双齿配位键[33,43]。总之,FTIR进一步证明了GO和HNTs之间存在相互作用。这种相互作用对抑制填料的聚集、促进分散是有积极作用的。

图2

图2   NGP、GO、GO-g-TA、HNTs和GO@HNTs纳米杂化填料的红外光谱图

Fig.2   FTIR spectra of the NGP, GO, GO-g-TA, HNTs, and the GO@HNTs hybrid nanofillers


GO、GO-g-TA和GO@ HNTs杂化纳米填料的拉曼光谱如图3所示。纯GO在1348 cm-1处和1586 cm-1处的拉曼峰归属为其强D带和强G带。此外,在2670和2907 cm-1处分别观察到弱的2D带和S3带。对于GO-g-TA,虽然它表现出与GO相似的G带位置,但是D带和G带的位置分别向低波数移动,即分别为1346和1582 cm-1。已有研究表明,D带与羟基或环氧基诱导的不完全结构有关,而G带则与sp2杂化碳结构有关[44]。一般来说,D带和G带之间的强度比(ID/IG)可以用来确定碳sp3杂化的程度[45]。GO的ID/IG值为0.88,而GO@HNTs杂化纳米填料的ID/IG值为0.92,其高于纯GO。此外,与GO相比,GO@HNTs中的D带和G带峰强度下降。这表明,HNTs的存在导致碳结构的变化,这可能是由于GO片与HNTs之间发生了相互作用。

图3

图3   NGP、GO、GO-g-TA、HNTs和 GO@HNTs 纳米杂化填料的拉曼光谱图

Fig.3   Raman spectra of the NGP, GO, GO-g-TA, HNTs, and the GO@HNTs hybrid nanofillers


NGP、GO、GO-g-TA、HNTs和GO@HNTs杂化纳米填料的XRD图谱如图4所示。从图4可以看出,NGP在2θ=26.6º处出现宽峰,这归属于NGP的(002)特征衍射峰,其d值为0.335 nm。GO在2θ=11.2º处出现较强的衍射峰,归因于GO的(001)特征衍射峰,其d值为0.713nm。与NGP相比,GO的d值增大,是由于氧化过程中含氧官能团插入到石墨层间引起的。HNTs在2θ=26.2º处出现其特征衍射峰。对于GO-g-TA,在2θ=25º处观察到的衍射峰是由于石墨层的层积引起的,而在2θ=9.8º(d=1 nm)处出现衍射峰是由于TA插入到GO中引起的。对于GO@HNTs杂化纳米填料,在2θ=8.9º处可以看到明显的衍射峰,相应的d值增加到1.16 nm,表明HNTs已经成功地插入到GO-g-TA填料中。值得注意的是,GO的特征衍射峰变弱。我们认为,一种原因可能是GO的堆叠消失,另一种原因可能是剩余的堆叠高度无序,而更主要的原因是HNTs上大量-OH基团与GO片极性基团表现出强烈的相互作用,削弱了GO片极性基团之间的相互作用,因此,通过添加HNTs促进了GO片的剥离和分散。

图4

图4   NGP、GO,GO-g-TA、HNTs和GO@HNTs杂化纳米填料的X射线衍射图谱

Fig.4   XRD profiles of (a) the NGP and GO; (b) GO-g-TA, HNTs and the GO@HNTs hybrid nanofillers


图5为填料HNTs、GO、GO-g-TA和GO@ HNTs的SEM微观形貌图。由可以观察到部分HNTs聚集体,单根HNTs的直径约为80 nm。GO的片层厚度约2纳米,见图5b。与GO相比,GO-g-TA的形态发生了较为明显的改变,见图5c。对于GO@HNTs杂化纳米填料,见图5d,可以很容易地看到HNTs,但是很难观察到GO片的存在。一个原因是GO@HNTs杂化填料中GO的含量较低,另一个可能的原因是HNTs促进了GO的分散。

图5

图5   填料的SEM照片

Fig.5   SEM images of fillers. (a) HNTs, (b) GO, (c) GO-g-TA and (d) the GO@HNTs hybrid nanofillers


2.2 PP纳米复合材料的微观结构与形态

为了探索GO@HNTs杂化纳米填料在聚合物纳米复合材料中的应用潜力,采用熔融共混法制备了不同GO@HNTs含量的PP复合材料。为了比较,还分别制备了填料含量分别为0.5%(质量分数,下同)的GO/PP和HNTs/PP纳米复合材料。用扫描电镜系统地研究了不同填料在聚丙烯纳米复合材料中的分散状态,如图6所示。纯PP的冲击断面相对平滑,并伴有一定程度的变形。在图6b(0.5%HNTs/PP)中,虽然不能观察到明显的HNTs团聚,但仍有一些HNTs颗粒聚集区域(用虚线圆表示),这表明HNTs颗粒的分散性相对较差。对于0.5%GO/PP复合材料(图6c),仍然可以观察GO颗粒的附聚物(由虚线所示)。而对于GO@HNTs/PP复合材料(图6d~f)断面,难以观察到明显的GO团聚体。说明与GO/PP纳米复合材料相比,GO@HNTs /PP纳米复合材料中GO的分散性得到改善。而与HNTs /PP复合材料相比,HNTs团聚体的数量也明显减少。因此,GO@ HNTS/PP复合材料中GO和HNTs的分散性得到了改善。进一步分析发现,与纯PP相比,GO@HNTs/PP试样的冲击截面比GO/PP和HNTs/PP试样的冲击截面更为粗燥。这意味着复合材料在冲击作用下产生断裂时,GO@HNTs/PP复合材料在断裂过程中能吸收更多的冲击能量。

图6

图6   纯PP及复合材料的SEM照片

Fig.6   SEM images of (a) pure PP, (b) HNTs/PP, (c) GO/PP, (d-g) GO@HNTs/PP nanocomposites with 0.25, 0.5, 1.0 and 2.0% GO@HNTs hybrid nanofillers


纯PP和GO@HNTs/PP纳米复合材料的XRD曲线如图7所示。纯PP在2θ=14.0o、16.8o、18.4o、21.4o和25.3o处出现αPP晶型的衍射峰,分别对应于(110)、(040)、(130)、(111)和(060)晶面。对于GO@HNTs/PP纳米复合材料,GO@HNTs的加入不会改变PP的结晶形态,在低GO@HNTs含量下,无法检测到GO@HNTs的特征衍射峰,表明GO@HNTs均匀分散于PP基体中。在较高GO@HNTs含量下(2.0%),在2θ=22.5o附近了与HNTs有关的特征衍射峰。

图7

图7   纯PP和不同GO@HNTs杂化纳米填料含量的GO@HNTs/PP 纳米复合材料的X射线衍射图

Fig.7   XRD traces of pure PP and GO@HNTs/PP nanocomposites with different contents of GO@HNTs hybrid nanofillers


2.3 PP纳米复合材料的力学性能

图8为复合材料典型的力学性能测试结果。从图8中可以看出,纯PP的拉伸强度和冲击强度分别为30.07 MPa和4.57 kJ。PP复合材料试样与纯PP相比,拉伸强度和冲击强度均随填料的加入而逐渐提高,表明填料对PP基体具有增强增韧作用。这归因于填料与PP基体大分子之间的“钉锚”或“物理交联点”效应。这一效应促进了拉伸和冲击过程中复合材料内部的应力传递和分散。值得注意的是,不同填料含量的PP纳米复合材料在拉伸强度和冲击强度方面表现出不同程度的增强效果。0.5%GO@HNTs/PP复合材料的拉伸强度和冲击强度分别达到35.34 MPa和8.24 kJ,分别较纯PP提高了17.5%和80.4%。而与纯PP试样相比,0.5%GO/PP复合材料的拉伸强度(32.78 MPa)和冲击强度(6.31 kJ)有提升但不明显。对于0.5%HNTs/PP复合材料,其拉伸强度(31.17 MPa)和冲击强度(5.22 kJ)也较纯PP同时得到提高,但力学性能提高幅度不如GO和GO@HNTs填料明显。进一步分析发现,GO@HNTs/PP复合材料在填料添加量范围内都表现出比纯PP更高的力学性能。因此,力学性能研究表明,GO@HNTs复合纳米填料与其它两种填料相比具有最好的增强效果。GO@HNTs杂化纳米填料对PP具有显著的协同增强增韧作用。GO@HNTs复合纳米填料在高含量下对PP基体的增强增韧作用不明显,其原因可能与填料分散性变差、形成团聚以及“应力集中”的形成有关[6,17]

图8

图8   PP纳米复合材料的典型力学性能

Fig.8   The typical mechanical properties of PP nanocomposites (1#-PP; 2#-0.25%GO@HNTs/PP; 3#-0.5GO@HNTs/PP; 4#-1.0%GO@HNTs/PP, 5#-2.0%GO@HNTs/PP, 6#-0.5%GO/PP, 7#-0.5%HNTs/PP)


图9为纯PP及不同填料含量的GO@HNTs/PP纳米复合材料的动态力学性能测试结果。从图9a中可以看出,GO@HNTs/PP复合材料试样一方面表现出与纯PP相似的储能模量变化曲线,另一方面,在低于纯PP的玻璃化转变温度(Tg)下,GO@HNTs/PP试样表现出比纯PP更高的储能模量值(E′),并随着填料GO@HNTs含量的增加而增加。在温度高于Tg后,所有试样都表现出相似的储能模量,这表明在高温下填料含量的差异对增强效果的影响不明显。从图9b可以看出,GO@HNTs/PP纳米复合材料的损耗模量(E")比纯PP的E"大,这可以通过“钉锚”或“物理交联点”效应来解释。在PP基体中加入GO@HNTs填料后增大了复合材料的粘度,大分子链的运动性降低。为了进一步研究PP基体与填料之间的相互作用,图9c为不同试样的tanδ-T谱,谱峰对应于PP复合材料的Tg值。当GO@HNTs含量仅为0.5%时,复合材料的Tg值由纯PP的9.6℃提高到16.7℃,表明GO@HNTs/PP复合材料中PP基体的大分子链段迁移率明显降低。而当GO@HNTs含量较高时,Tg值逐渐降低,1.0%GO@HNTs/PP和2.0%GO@HNTs/PP复合材料的Tg值分别为16.5℃的14.3℃。表明高填料含量下,GO@HNTS对PP产生了分子链的“隔离”和“塑化”效应。

图9

图9   纯PP和不同GO@HNTs杂化纳米填料含量的GO@HNTs/PP 纳米复合材料的动态力学性能

Fig.9   Dynamic mechanical properties of all the PP samples: (a) storage modulus (E′), (b) loss mo-dulus (E" ) and (c) loss factor


2.4 PP纳米复合材料的热性能

通过热重分析测试了复合材料的热稳定性。表1为典型的TGA测试结果。与纯PP相比,PP纳米复合材料的热稳定性有所提高。纯PP的起始分解温度(Ts)、终止分解温度(Tend)和最大分解温度(Tmax)分别为453.7、492.0和481.1℃,而不同GO@HNTs含量下的GO@HNTs/PP纳米复合材料的TsTendTmax值都高于纯PP,表明GO@HNTs提高了PP的热稳定性。这是由于均匀分散在纳米复合材料中的GO@HNTs杂化纳米填料形成了良好的物理隔热层,有效地阻挡了热流传递,降低了聚合物降解产物向气相的扩散,减缓了纳米复合材料的热分解过程。

表1   纯PP和PP纳米复合材料的TGA测试结果

Table 1  The TGA results of pure PP and GO@HNTs/PP na-nocomposites

GO@HNTs/%Tend/℃Ts/℃Tmax/℃
0492.0453.7481.1
0.25494.9453.6485.1
0.5494.8454.6485.8
1483.8468.2487.8
2495.5455.1489.5

新窗口打开| 下载CSV


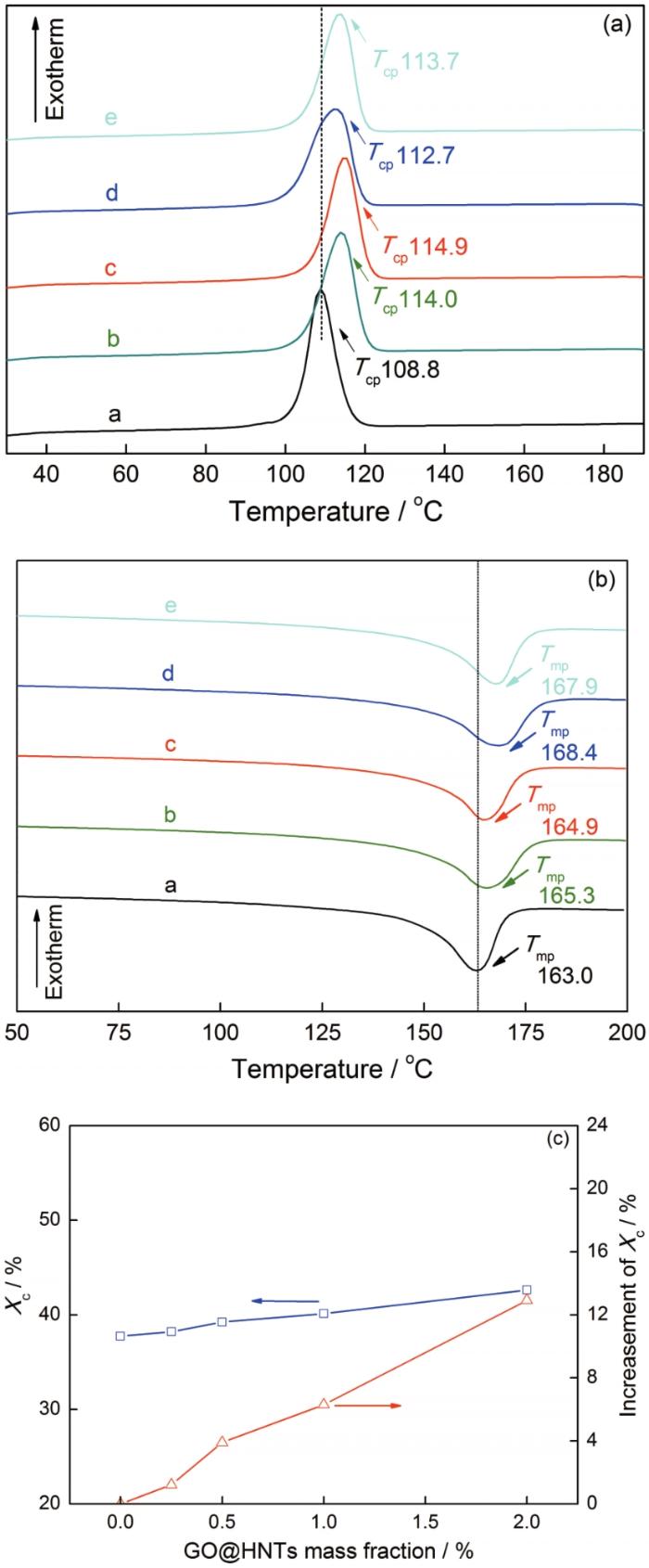
2.5 PP纳米复合材料的熔融结晶行为

为了进一步研究加入填料后PP的熔融和结晶行为变化,进行了DSC测试,结果如图10所示。典型的熔融和结晶参数,包括结晶峰温度(Tcp)、结晶焓(ΔHc)、熔融峰温度(Tmp)、熔融焓(ΔHm)和相对结晶度(Xc),列于表2中。结果表明,纯纯PP的,TcpTmpXc分别为108.8℃、163℃和37.8%。加入GO@HNT后,GO@HNTs/PP纳米复合材料P的TcpTmp值向高温方向移动。0.5%GO@HNTs/PP纳米复合材料的TcpTmpXc值分别为114.9℃、164.9℃和39.2%。TmpXc的提高归因于填料在基体中形成“异相成核效应”,这种效应促进了复合材料中微晶的形成。与纯PP相比,2.0%GO@HNTs/PP纳米复合材料的Xc值提高了12.9%。显然,高GO@HNTs填料含量有利于提高结晶和熔融温度。

图10

图10   纯PP和不同GO@HNTs杂化纳米填料含量的GO@HNTs/PP 纳米复合材料的DSC曲线

Fig.10   DSC cooling (a), heating (b) and (c) variation of crystallinity and increasement of crystallin-ity of GO@HNTs/PP nanocomposites with different contents of GO@HNTs hybrid nano-fillers. Curve a-pure PP; curves b, c, d and e are GO@HNTs/PP nanocomposites containing 0.25%, 0.5%, 1.0% and 2.0% GO@HNTs hybrid nanofillers


表2   纯PP和PP纳米复合材料的DSC测试结果

Table 2  The DSC results of pure PP and GO@HNTs/PP na-nocomposites

GO@HNTs/%Tcp/℃Hc/J·g-1Tmp/℃Hm/J·g-1Xc/%
0108.888.6163.078.937.8
0.25114.090.3165.379.738.2
0.5114.991.3164.981.639.2
1112.793.8168.483.040.1
2113.793.9167.987.342.6

新窗口打开| 下载CSV


3 结论

(1) GO表面与HNTs之间存在化学相互作用,因二者之间的“屏障效应”抑制了彼此的团聚。

(2) GO@HNTs杂化纳米填料对PP基体具有明显的协同增强增韧改性作用。

(3) 在PP基体中加入GO@HNTs填料后增大了复合材料的粘度,大分子链的运动性降低,导致GO@HNTs/PP试样表现出比纯PP更高的储能模量(E′)和损耗模量(E"),0.5%GO@HNTs/PP纳米复合材料的Tg峰较纯PP向高温方向移动,但填料含量较高时,Tg值逐渐降低。

(4) 加入GO@HNTs后提高了PP纳米复合材料的结晶温度、熔融温度、结晶度和耐热分解温度。

(5) 由于GO@HNTs中GO与HNTs之间的“屏障效应”有效促进了GO@HNTs在PP基体中的均匀分散。

/