材料研究学报(中文版)  2018 , 32 (9): 675-684 https://doi.org/10.11901/1005.3093.2018.105

ARTICLES

7B04铝合金的超塑变形行为及其机理

王建1, 杨文静1, 李卓梁1, 丁桦1, 张宁2, 侯红亮2

1 东北大学材料科学与工程学院 沈阳 110819
2 中国航空制造技术研究院 北京 100024

Superplastic Behavior and Deformation Mechanism of 7B04 Al-alloy

WANG Jian1, YANG Wenjing1, LI Zhuoliang1, DING Hua1, ZHANG Ning2, HOU Hongliang2

1 School of Materials Science and Engineering, Northeastern University, Shenyang 110819, China
2 Beijing Aeronautical Manufacturing Technology Research Institute, Beijing 100024, China

中图分类号:  TG146

文章编号:  1005-3093(2018)09-0675-10

通讯作者:  通讯作者 丁 桦,教授,hding@263.net,研究方向为材料成形及组织性能控制、材料的超塑性和剧烈塑性变形

收稿日期: 2018-01-15

网络出版日期:  2018-09-25

版权声明:  2018 《材料研究学报》编辑部 《材料研究学报》编辑部

基金资助:  国家自然科学基金(51334006)

作者简介:

作者简介 王 建,男,1992年生,硕士

展开

摘要

在470~530℃、3×10-4~1×10-2 s-1条件下对7B04铝合金进行超塑拉伸,在530℃、3×10-4 s-1的条件下得到了1663%的最大延伸率。计算结果表明,应变速率敏感性指数m的最大值为0.63。在不同初始应变速率条件下变形激活能Q的计算值分别为158.44 kJ/mol、188.13 kJ/mol、177.78 kJ/mol和250.54 kJ/mol。建立7B04铝合金高温变形本构方程并绘制了R-W-S变形机理图。结合微观组织演变和计算结果,分析了超塑变形机理。结果表明,7B04铝合金的主要变形机理为晶格扩散控制、位错滑移协调的晶界滑动。

关键词: 金属材料 ; 超塑性 ; 高温拉伸 ; 7B04铝合金 ; 本构方程 ; 变形机理图

Abstract

Superplastic tensile tests were carried out for 7B04 Al-alloy at 470~530℃ with initial strain rates within a range of 3×10-4 s-1 to 1×10-2 s-1. Among others the alloy presents the maximum elongation of 1663% at 530℃with the initial strain rate 3×10-4 s-1. Calculation results showed that the maximum strain rate sensitivity index m was 0.63 and the deformation activation energy Q were 158.44 kJ/mol, 188.13 kJ/mol, 177.78 kJ/mol, and 250.54 kJ/mol respectively corresponding to initial strain rates 1×10-2 s-1, 3×10-3 s-1 and 1×10-3 s-1, 3×10-4 s-1. A constitutive equation was established to describe the hot deformation behavior. The R-W-S deformation mechanism maps of the alloy were established. The superplastic deformation mechanism was analyzed by considering the microstructure evolution and the calculation results. It follows that the superplastic deformation mechanism of the 7B04 Al-alloy is mainly the dislocation slip accommodated grain boundary sliding controlled by lattice diffusion.

Keywords: metallic materials ; superplasticity ; high temperature tensile ; 7B04 aluminum alloy ; constitutive equation ; deformation mechanism map

0

PDF (6811KB) 元数据 多维度评价 相关文章 收藏文章

本文引用格式 导出 EndNote Ris Bibtex

王建, 杨文静, 李卓梁, 丁桦, 张宁, 侯红亮. 7B04铝合金的超塑变形行为及其机理[J]. 材料研究学报(中文版), 2018, 32(9): 675-684 https://doi.org/10.11901/1005.3093.2018.105

WANG Jian, YANG Wenjing, LI Zhuoliang, DING Hua, ZHANG Ning, HOU Hongliang. Superplastic Behavior and Deformation Mechanism of 7B04 Al-alloy[J]. Chinese Journal of Material Research, 2018, 32(9): 675-684 https://doi.org/10.11901/1005.3093.2018.105

7xxx系列铝合金(包括Al-Zn-Mg系和Al-Zn-Mg-Cu系合金)具有较高的比强度、良好的热加工性能、较高的耐蚀性和韧性等特点,广泛用于航空航天、交通运输、桥梁建筑等重要工业领域[1,2]。在航天器的制造中,7xxx系列铝合金主要用于制造蒙皮、桁条、翼肋、起落架以及螺旋桨叶等重要零件[3,4]。在复杂结构件的加工制造过程中,超塑成形工艺有重要的应用。超塑性变形,具有“大变形、无颈缩、小应力、易成形”的特点。关于超塑变形的机理,目前普遍接受的是以晶界滑动为主的机理[5,6]。飞行器的一体化复杂结构件对铝合金强度和成形性能提出了很高的要求,因此研究其超塑成形工艺和变形机理对航空航天及其零件制造技术的发展有重要的意义。

7B04铝合金(属Al-Zn-Mg-Cu系)是应用较早且较广泛的一种超硬铝合金[7]。关于7B04铝合金,已经进行了较多的固溶、时效工艺[8,9,10,11]、疲劳断裂性能[12,13,14]、搅拌摩擦焊接[15,16]等方面的研究。张宁等[17]对7B04铝合金进行高温拉伸实验,确定了530℃、3×10-4 s-1的最佳条件,其延伸率为1105%,并对超塑变形行为进行了系统的分析计算。陈敏等[18]在500℃、8×10-4 s-1条件下得到了晶粒尺寸为9.9 μm的7B04铝合金730%的延伸率。Shin等[19]在516℃、6×10-4 s-1条件下得到了晶粒尺寸为8.3 μm的7075铝合金1240%的延伸率。韩伟、张志等[20,21]对7B04-T6铝合金板材分别进行了温拉伸实验,并基于Fields and Backofen方程建立了流变应力数学模型。Iwasaki等[22]研究了超塑变形中的液相和空洞生长的关系,得出了适量液相可抑制空洞发展、提高材料延伸率的结论。蒋兴钢等[23,24]对7475铝合金进行了高温拉伸实验,对空洞行为进行了表征。Dieguez等[25]对搅拌摩擦加工的7xxx系铝合金进行高温拉伸,得到了905%的延伸率。目前关于7B04及相近合金超塑性的研究,主要围绕变形行为和显微组织等内容,较少涉及变形机理。研究变形机理不仅能揭示超塑变形的本质,更能为7B04超塑合金的制备和应用提供理论依据,促进复杂零件成形工艺的发展和进步。本文在不同变形条件下进行7B04铝合金板材的高温拉伸实验,总结出最佳超塑变形条件、计算建立高温变形的本构方程、绘制R-W-S变形机理图并结合显微组织分析其超塑变形行为及变形机理。

1 实验方法

实验用7B04铝合金板材的厚度为2 mm,其化学成分列于表1。板材的制备工艺为固溶→过时效→温轧→盐浴再结晶退火,其最终的平均晶粒尺寸约为8 μm。沿轧向切取拉伸试样(其尺寸在图1中给出),用于高温拉伸实验。

表1   7B04铝合金化学成分(质量分数,%)

Table 1   Chemical composition of 7B04 aluminum alloy (mass fraction, %)

ZnMgCuMnTiFeSiAl
5.962.221.600.40.040.060.03Bal.

新窗口打开

图1   高温拉伸试样尺寸的示意图

Fig.1   Schematic diagram of high temperature tensile sample (uint: mm)

实验在LETRY-200kN电子万能试验机上进行,在拉伸过程中夹头移动速度恒定,加热设备为三段式空气加热炉。实验温度为470℃、485℃、500℃、515℃和530℃,初始应变速率为3×10-4 s-1、1×10-3 s-1、3×10-3 s-1和1×10-2 s-1。试样断裂或达到目标变形量后立即停止实验,取出并淬火。

用OLYMPUS DSX500光学显微镜(OM)观察显微组织,用岛津SSX-550扫描电子显微镜(SEM)观察断口形貌。

2 结果和讨论

2.1 超塑变形行为

图2给出了7B04铝合金在不同实验条件下高温拉伸的真应力-真应变曲线。由曲线可见超塑变形的三个阶段:第一阶段为初始变形阶段,拉伸开始后真应力呈线性快速增大,此阶段持续时间较短;第二阶段为稳态流动阶段,发生了塑性变形,随着应变的增大真应力变化缓慢,先增加至峰值然后逐渐减小;第三阶段为断裂阶段,塑性变形达到极限,材料局部失稳,真应力迅速下降,此阶段持续时间很短。由表2可以看出,当温度一定时,随着初始应变速率的降低延伸率逐渐增大。在初始应变速率(3×10-3 s-1、1×10-2 s-1)较高的条件下,延伸率随温度变化不大,材料塑性较差;在初始应变速率(3×10-4 s-1、1×10-3 s-1)较低的条件下,随着温度的升高延伸率逐渐增大。在温度530℃、初始应变速率3×10-4 s-1条件下,延伸率达到最大值1663%。图3给出了最大延伸率的断件图,可见试样平行段变形均匀,断裂处没有明显的颈缩。在拉伸实验过程中,在更高温度545℃、初始应变速率3×10-4 s-1条件下仅获得89%的延伸率。试样断裂处为白色,呈明显的熔化现象,标距段也发生了小程度弯曲。这些结果表明,此时温度已达到基体熔化温度,严重影响了试样变形过程。另外,零件的成形效率也是实际生产过程中需要考虑的问题之一,更小的应变速率使效率更低。因此,本文未进行初始应变速率更小的拉伸实验。

图2   高温拉伸真应力-真应变曲线

Fig.2   True stress-true strain curves of high temperature tensile tests (a) 470℃, (b) 485℃, (c) 500℃, (d) 515℃, (e) 530℃

图3   最大延伸率断件图

Fig.3   Fractured sample with the maximum elongation (530℃, 3×10-4 s-1)

表2   7B04铝合金高温拉伸延伸率

Table 2   Elongations of 7B04 aluminum alloy in high temperature tensile tests (%)

Temperature
/℃
ε˙/s-1
3×10-41×10-33×10-31×10-2
470405297210171
485439422257212
500723507327195
515993564441168
5301663801292112

新窗口打开

图4给出了高温拉伸的峰值应力-温度关系曲线。可以看出,在7B04铝合金的高温拉伸过程中的峰值应力很小,约为3~24 MPa。当初始应变速率一定时,随着温度的升高峰值应力逐渐降低。其原因是,温度升高使原子平均动能增加,位错运动和晶界滑动更容易进行。同时,温度升高使材料中低熔点第二相的熔化越来越多。液相有利于晶界滑动的进行,促进了应力集中的释放,使流变应力减小。当温度一定时,随着初始应变速率的增大峰值应力逐渐升高,因为在较高应变速率条件下位错密度迅速增加且容易产生应力集中,使流变应力增大。

图4   高温拉伸峰值应力-温度关系图

Fig.4   Relationship between peak stress and temperature in high temperature tensile tests

2.2 本构方程和参数计算

应变速率敏感性指数m是超塑变形中的重要参数,反映了材料的抗颈缩能力,其计算式为[26]

m=lnσlnε˙T(1)

式中 σ为真应力; ε˙为应变速率。

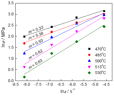
取真应变 ε=0.3时各组拉伸实验对应的真应力值 σ用于本构关系计算。经拟合计算出 lnσ-lnε˙关系,如图5所示。由此得出7B04铝合金在470℃、485℃、500℃、515℃、530℃下m值分别为0.33、0.38、0.50、0.62、0.63。材料的m值为0.3~0.9便认为材料具备良好的超塑性,据此可判定7B04铝合金在相应变形条件下超塑性能良好。m值的大小与晶界滑动对变形所做贡献密切相关,m值越大,晶界滑动所占比例越大[27],即材料的变形能力越强。根据计算结果,在所选实验条件下,随着变形温度的升高m值增大,最大值达到了0.63。这表明,随着温度的升高7B04铝合金的超塑性能越来越好,530℃时具有最佳的超塑变形能力。

图5   lnσ-lnε˙关系图

Fig.5   Relationship between lnσ and lnε˙

高温拉伸变形是一个热激活的过程,Arrhenius方程很好地给出了稳态流变应力 σ、变形温度T、应变速率 ε˙之间的关系[28]

ε˙=A1σn1exp(-QRT)(2)

ε˙=A2exp(n2σ)exp(-QRT)(3)

ε˙=A[sinh(ασ)]nexp(-QRT)(4)

式中A1A2Aα为常数; n1n2n为与应变速率敏感性指数有关的参数,并有 α=n2/n1;Q为变形激活能,J/mol;摩尔气体常数R=8.314 J/(mol∙K)。

在上述三个方程中,式(2)和式(3)分别表示在低应力水平和高应力水平下稳态流变应力和应变速率之间的关系,而式(4)在低应力条件( ασ<0.8)下接近式(2),在高应力条件( ασ>1.2)下接近式(3),因此适用于整个应力范围。根据实验结果选择Arrhenius方程(4)建立高温拉伸本构方程,在计算过程中验证了 ασ值符合应力条件。

对式(2)、(3)取对数并微分,得到 n1=lnε˙lnσTn2=lnε˙σT,进而求得 α值为0.11。对式(4)取对数并微分,得到 n=lnε˙ln[sinh(ασ)]T,求得恒应变速率下变形激活能的表达式为

Q=Rnln[sinh(ασ)](1T)ε˙(5)

lnε˙-ln[sinh(ασ)]关系进行拟合计算并取平均值,得到 n=1.53。对 ln[sinh(ασ)]-1000/T关系进行线性拟合,所得结果如图6所示。在初始应变速率为1×10-2 s-1、3×10-3 s-1、1×10-3 s-1、3×10-4 s-1条件下,相应的变形激活能Q分别为158.44 kJ/mol、188.13 kJ/mol、177.78 kJ/mol、250.54 kJ/mol,都高于铝的晶格自扩散激活能142 kJ/mol[29],表明高温变形是由晶格扩散控制的过程。一般地,超塑变形是由晶界扩散控制的[5]。但是,由于所研究合金的原始组织并非完全等轴,在变形的初始阶段等轴化也并未完成,因此位错滑移是较为重要的变形机制,变形过程的激活能较高。

图6   ln[sinh(ασ)]-1000/T关系图

Fig.6   Relationship between ln[sinh(ασ)] and 1000T

Zener-Hollomon参数(Z参数)是温度补偿的变形速率因子,反映了实验条件对热变形过程的影响[28]

Z=ε˙exp(QRT)(6)

将式(6)与(4)联立并取对数可得

lnZ=lnA+nln[sinh(ασ)](7)

可由 ε˙QT计算出Z值,对 lnZ-ln[sinh(ασ)]关系进行拟合(图7),所得截距为 lnA=23.56,则 A=e23.56

图7   lnZ-ln[sinh(ασ)]关系图

Fig.7   Relationship between lnZ and ln[sinh(ασ)]

将计算所得AαnQ值代入Arrhenius方程(4),得到7B04铝合金在稳态变形阶段的本构方程

ε˙=e23.56[sinh(0.11σ)]1.53exp(-193720RT)(8)

2.3 超塑变形显微组织的演变

图8给出了7B04铝合金高温拉伸前后的组织图片(水平方向为拉伸方向)。图8a给出了材料原始组织,可见材料经轧制后晶粒基本呈压扁状态,轧后的盐浴再结晶退火使组织中出现了部分细小的再结晶晶粒。图8b给出了在530℃、3×10-4 s-1条件下变形量为1000%时试样夹头处的组织。在高温拉伸过程中试样夹头长时间处于高温未变形状态,相当于静态退火过程。与原始组织相比,加热效应使再结晶晶粒发生了一定程度的长大。但是试样平均晶粒尺寸增大并不明显,组织仍然较为均匀细小,表明7B04铝合金在高温下具有较好的组织稳定性。图8c, d给出了在530℃、3×10-4 s-1条件下变形量分别为600%、1000%时的变形段组织。可以看出,与原始组织相比,随着变形量的增加晶粒明显长大。对比图8b, d可见,在长时间的高温环境中试样夹头组织的变化不明显,而变形段组织发生了明显的粗化。这个结果表明,变形段晶粒大程度粗化的主要原因并非热效应,而是拉应力的作用,组织中发生了明显的变形诱发晶粒长大现象。晶粒的长轴和短轴之比可以表征晶粒形状,比值越接近1表示越接近等轴晶。使用Image-Pro Plus(IPP)图像分析软件对高温拉伸前后变形段晶粒的轴比进行统计,所得结果如图9所示。图9a给出了原始组织中晶粒的轴比分布。当变形量达到600%时(图9b),与原始组织相比,轴比大于3的晶粒所占比例明显减少,轴比为1.5~3的晶粒占比均增加。当变形量达到1000%时(图9c),轴比为2~3的晶粒占比明显减少,轴比为1~2的晶粒占比显著增加。这一变化过程表明,随着变形量的增大变形段晶粒的轴比逐渐减小,发生了等轴化过程。

图8   7B04铝合金高温拉伸前后的显微组织

Fig.8   Microstructures of 7B04 aluminum alloy before and after high temperature tensile tests (a)original microstructure, (b) microstructure in grip section of the sample with a 1000% deformation, (c)microstructure in deformed section of the sample with a 600% deformation, (d)microstructure in deformed section of the sample with a 1000% deformation

图9   7B04铝合金高温拉伸前后变形段晶粒的轴比分布

Fig.9   Distribution diagrams of axial ratio values of the grains in deformed section before and after high temperature tensile tests (a) original grains, (b) the grains in deformed section with a 600% deformation, (c) the grains in deformed section with a 1000% deformation

组织的粗化使流变应力增大,对塑性变形不利。但是晶粒的等轴化为组织的粘滞性流动创造了条件,使晶粒的滑动、转动等过程更容易发生,更容易释放应力集中,使组织得到充分的松弛,保证了晶粒重排过程的均匀持续进行,最终获得了较高的延伸率。

图8d可以看出,在变形过程中出现少量的空洞。空洞是材料的一种内部缺陷,一般在晶界、三叉晶界或第二相粒子处形核并长大,其发展连接导致断裂[6]。由图8d中的空洞形态可以看出,三叉晶界处的空洞正在发生长大和连接。空洞的形核和初期长大能释放应力集中,有利于组织协调和超塑变形过程的持续进行[30]

图10a~c给出了初始应变速率为3×10-4s-1、温度分别为470℃、500℃、530℃时拉伸试样断口的扫描照片。可以看出,在晶界上附着有“须状物”。在Al-Zn-Mg-Cu系铝合金材料中存在低熔点的第二相,在相关超塑性研究中已有其初始熔化温度的测定。乔志伟[31]测出7475铝合金中的低熔点相在477.6℃时开始熔化,温学[32]测出7B04铝合金中的低熔点相在488.5℃时开始熔化。在高温下这种晶界处的少量低熔点相发生熔化,形成的黏性液体层随着变形的进行留下须状的痕迹。因此,“须状物”的含量和形态在一定程度上可反映组织的粘滞性流动过程。由图可以看出,在470~530℃随着温度的升高晶界处附着的“须状物”逐渐增多,液相流动的痕迹越来越明显。在超塑变形过程中主要变形机制为晶界滑动,组织中容易产生应力集中。液相层的存在可缓解应力集中,有利于变形过程的进行。研究表明,液相过多或过少都不利于超塑变形过程的进行[22]。当温度过低时液相含量较少,对晶界滑动的促进作用并不明显;当温度过高时过多的液相使界面结合力下降,容易发生脱黏,不利于晶粒之间的粘滞性滑动,使试样过早断裂。因此,适量液相的存在有利于超塑变形过程中的晶界滑动。图10c, d给出了温度530℃、初始应变速率分别为3×10-4 s-1、1×10-2 s-1时拉伸试样的断口扫描照片。可以看出,随着初始应变速率的增大液相含量和流动痕迹明显减少。其原因是,在高应变速率条件下变形,液相不能及时沿晶界流动和补充。

图10   7B04铝合金在不同条件下的高温拉伸断口形貌

Fig.10   Fracture appearances in different conditions after high temperature tensile tests (a) 470℃, 3×10-4 s-1, (b) 500℃, 3×10-4 s-1, (c) 530℃, 3×10-4 s-1, (d) 530℃, 1×10-2 s-1

2.4 变形机理图

变形机理图根据材料变形过程中应变速率、变形温度、流变应力、晶粒尺寸间的关系,预报材料在不同变形条件下的变形机理,其基础是本构方程。不同的速控变形机理[33]可表示为如下通式

ε˙=AbdpDb2σEn(9)

式中A为材料常数,根据不同的机理取值;b为柏氏矢量;d为晶粒尺寸;p为晶粒指数;n为应力指数;D为扩散系数,根据不同的机理其值等于晶界扩散系数 Dgb、位错管扩散系数 DP或晶格扩散系数 DL;E为杨氏模量。

R-W-S(Ruano-Wadsworth-Sherby)图是一种表示超塑性与蠕变的机理图,包括8种不同的变形机理,可分为扩散流动、晶界滑动(GBS)、滑移三类,如表3所示。以柏氏矢量补偿的晶粒尺寸(d /b)为纵坐标,以杨氏模量补偿的流变应力(σ/E)为横坐标,建立不同温度下速控的变形机理图。先通过对8种变形机理对应的本构方程取应变速率相等并变形,得到相邻变形机理的分界线方程和节点坐标。然后根据高温拉伸实验条件、晶粒尺寸等数据进行计算,得到实验点的坐标值,如表4所示。最后将实验点坐标落入R-W-S变形机理图,各点所在区域代表的机理即为相应实验条件下的变形机理。

表3   不同变形机理对应的本构方程

Table 3   Constitutive equations of different deformation mechanisms

Deformation mechanismConstitutive equationn
Diffusional flowNabarro-Herringε˙1=14DLd2Eb3kTσE1
Cobleε˙2=50Dgbbd3Eb3kTσE1
Grain boundary sliding
(GBS)
Lattice diffusion controlledε˙3=6.4×109DLd2σE22
Pipe diffusion controlledε˙4=3.2×1011αDpd2σE44
Grain boundary diffusion controlledε˙5=5.6×108Dgbbd3σE22
SlipHarper-Dornε˙6=1.7×10-11DLb2Eb3kTσE1
Lattice diffusion controlledε˙7=1011DLb2σE55
Pipe diffusion controlledε˙8=5×1012Dpb2σE77

新窗口打开

表4   R-W-S变形机理图中的实验点坐标值

Table 4   Coordinate values of experimental points in R-W-S deformation mechanism maps

Temperature/℃ε˙/s-1(d /b)×104(σ /E)×10-4
4701×10-22.804.45
4703×10-32.803.32
4701×10-32.802.17
4703×10-42.801.41
5301×10-22.802.31
5303×10-32.801.18
5301×10-32.800.69
5303×10-42.800.24

新窗口打开

计算所需的基本参数有[24,33,34]bAl=2.86×10-10m; d=8×10-6m; E=2G(1+ν),其中剪切模量 G=2.54×104×(1-0.5×T-300933)MPa,泊松比 ν=0.34;玻尔兹曼常数 k=1.38×10-23J/K;摩尔气体常数 R=8.314J/(molK); Dgb=DP=10-4exp-84000RTm2s-1; DL=1.7×10-4exp-142000RT m2s-1

根据计算结果绘制出470℃和530℃条件下7B04铝合金的R-W-S变形机理图,如图11所示。由图11a可以看出,在470℃,在所选初始应变速率范围内7B04铝合金的主要变形机理为晶格扩散控制的晶界滑动。其中,在初始应变速率为1×10-2 s-1时实验点落在两种机理的分界线上,表明变形主要由位错滑移和晶界滑动共同控制。随着初始应变速率的减小实验点左移,表明位错滑移作为协调机制占比越来越小,晶界滑动占比越来越大,主要变形机理逐渐向晶界滑动转变。在530℃,所有条件下晶界滑动均占比最大,表明材料的主要变形机理为晶格扩散控制的晶界滑动。将图11a与b对比可见,随着温度的升高实验点整体左移,表明升温使变形过程中晶界滑动所占比重越来越大,位错滑移所占比重越来越小。如前所述,应变速率敏感性指数m的大小反映晶界滑动对变形所做的贡献[20]。在本研究中,随着温度的升高m值逐渐增大,表明晶界滑动对总变形量的贡献越来越大。这与上述变形机理图给出的规律是一致的。与图11a相比,图11b实验点的分布更加离散,说明在较高温度条件下初始应变速率的变化对变形过程的影响幅度更大,即高温下材料的应变速率敏感性更大。另外,温度升高使变形机理图区域发生了相应变化,晶格扩散控制的晶界滑动区域扩大,表明升温使7B04铝合金材料的变形机理更容易向晶界滑动转变。

图11   7B04铝合金的R-W-S变形机理图

Fig.11   R-W-S deformation mechanism maps of 7B04 aluminum alloy (a) 470℃, (b) 530℃
3×10-4 s-1 1×10-3 s-1 3×10-3 s-1 1×10-2 s-1

结合7B04铝合金的变形机理图可以看出,在温度较低、初始应变速率较高时位错滑移所占比重较大。随着温度的升高和初始应变速率的减小更容易进行组织协调,液相协调机制和空洞的初期发展也促进组织协调。这些因素使晶界滑动对变形所做的贡献越来越大,材料的超塑性能越来越好,最终表现较高的延伸率。

3 结论

(1) 在470~530℃和3×10-4~1×10-2 s-1条件下进行7B04铝合金的高温拉伸实验,得到最佳超塑变形条件为530℃、3×10-4 s-1,最大延伸率为1663%。

(2) 在最佳超塑变形条件下7B04铝合金的应变速率敏感性指数m值为0.63,变形激活能Q为250.54 kJ/mol。7B04铝合金的主要变形机理为晶格扩散控制、位错滑移协调的晶界滑动。

(3) 本文给出的7B04铝合金的高温变形本构方程和R-W-S变形机理图,有助于揭示7B04铝合金的高温变形过程和变形机理。

The authors have declared that no competing interests exist.


/