氮氧化物(NOx )是导致我国严重空气污染的重要污染物之一.目前我国的酸雨污染已经从硫沉降过渡为氮,硫同时沉降.NOx ,硫氧化物和可挥发性有机物(VOCs)对大气复合污染的作用强烈[1 , 2 ] , 能显著提高灰霾产生和增长速度及大气的氧化能力.钒-钨-钛三元SCR催化剂可在300-400℃实现氨对NOx 的还原, 并产生无害的氮气, 国产钒-钨-钛SCR催化剂已应用于燃煤电站的尾气脱硝.但是, 目前工业窑炉,水泥窑,冶金烧结机等特殊的NOx 排放源的尾气温度往往低于250℃, 甚至低于180℃, 不能使用钒-钨-钛三元SCR催化剂.因此开发在低温范围(150-300℃)具有催化活性的SCR催化剂, 有重要的实际意义和良好的应用前景.
铈基低温SCR催化剂是重要的低温SCR催化体系之一, 其中Mn,V,Fe,Cu,Cr等过渡金属元素都已作为低温SCR催化剂的活性元素加以研究[3 -8 ] .氧化铈和过渡金属构成的二元氧化物催化剂, 也因其良好的催化性能而有望得到工业应用.本文使用Cr,Mn,V,Cu,Co和Fe制备M-Zr-Ce三元SCR催化剂(M =过渡金属), 研究不同过渡金属元素对样品SCR催化性能的影响, 并通过NH3 -TPD和H2 -TPR等分析手段研究这3种元素影响SCR催化效果的原因.
1 实验方法
1.1 主要原料和试剂
二氧化硅小球载体, 粒度0.4 mm左右; 无水乙醇(CH3 CH2 OH),硝酸铈(Ce(NO3 )3 6H2 O),硝酸铬 (Cr(NO3 )3 9H2 O),硝酸锆 (Zr(NO3 )4 5H2 O),硝酸铁 (Fe(NO3 )3 9H2 O,偏钒酸铵 (NH4 VO3 ),一水合柠檬酸(C6 H8 O7 H2 O),硝酸锰 (Mn(NO3 )2 , 50%溶液质量分数),硝酸铜(Cu(NO3 )2 3H2 O)和硝酸钴(Co(NO3 )3 6H2 O)均为分析纯; NOx 标准气(1000 μ L/LNOx +平衡氮气),NH3 标准气(2000 μ L/LNH3 +平衡氮气),SO2 标准气(1000 μ L/LSO2 +平衡氮气)和合成空气, 实验中的用水均为去离子水.
1.2 样品制备
实验用样品中过渡金属离子与Zr和Ce的物质的量比例为6∶1∶3, 样品命名为M -Zr-Ce (M =Cr, Mn, V, Cu, Co, Fe), 各样品的负载量为2 mmol金属离子/g二氧化硅小球载体.使用Cr,Mn,Fe,Cu和Co制备样品时, 先将适量的过渡金属硝酸盐(或溶液),硝酸铈和硝酸锆溶于无水乙醇中, 再将二氧化硅小球载体投入其中.然后用电炉将其在振荡条件下加热蒸干, 再将初步负载的二氧化硅小球在100℃烘箱中烘干5 h, 最后在马弗炉中空气气氛下灼烧.升温程序为: 室温至450℃(2℃/min), 450℃下保持4 h.制备样品V-Zr-Ce时, 先将适量硝酸铈,硝酸锆和一水合柠檬酸溶于水中, 再溶入适量偏钒酸铵, 一水合柠檬酸和偏钒酸铵的物质的量比例为3∶1, 再投入二氧化硅小球载体, 在电炉上振荡条件下加热蒸干, 然后在100℃烘箱中烘干5 h, 再按前述步骤灼烧, 得到V-Zr-Ce催化剂样品.
1.3 样品表征
用Smartlab(9)型X射线衍射分析仪(XRD)分析样品的X射线衍射图(测试条件: Cu Kα , Ni滤波, 管电压40 kV, 电流30 mA, λ =0.15418 nm, 2θ 范围5°-90°; 步长0.02°); 用SSA-7300孔径比表面分析仪测定其比表面积(样品在150℃,抽真空状态下处理3 h); 用ChemiSorb2720型程序升温化学吸附仪对样品进行H2 的程序升温还原(TPR)分析, 样品的质量为20 mg, 还原气体为5%H2 和平衡氩气, 升温速率10℃/min.用Autochem II 2920型程序升温化学脱附仪进行NH3 的程序升温脱附(TPD)分析, 样品质量为50 mg, 预吸附过程采用10% NH3 和平衡氩气, 脱附过程升温速率10℃/min; 用ESCALAB 250Xi 型X射线光电子能谱仪对样品进行金属元素的化学环境与结合方式的分析, X射线源为AlKα , 结合能参照C1s 284.6 eV来校正, 结合能步长为0.050 eV.
将适量催化剂置于焊有多孔烧结板的石英管中, 用石英棉压紧后将其置于卧式恒温炉中, 在恒定温度下通入NOx ,NH3 和合成空气的混合气, 进行SCR催化实验, 混合气[NOx ]=[NH3 ]=300 μ L/L, O2 体积分数11.5%, 在空速10000/h条件下研究各样品的催化效果.用CLD60型氮氧化物分析仪检测吸附后气体中的NOx 浓度, 为了避免尚未反应的氨对NOx 分析仪的干扰, 在进入NOx 分析仪前反应尾气通过一个装填有多孔二氧化硅小球的洗气瓶以脱除氨气, 该多孔二氧化硅小球负载有10%的磷酸.在研究催化效果与温度的过程中, 在某温度下稳定1 h后读取反应尾气的NOx 浓度.为了表征样品的耐硫能力, 在200℃下进行SCR反应, 在NOx 转化率(实验条件同前)稳定后通入SO2 和氮气的混合气, 此时体系中O2 浓度9.2%, [SO2 ]=200 μ L/L, 空速12000/h.待反应的NOx 转化率出现平台时切断SO2 气流, 待体系反应转化率不断上升而后相对稳定时再通入SO2 和氮气的混合气直至NOx 转化率出现平台, 再切断SO2 气流, 等待反应效果上升至稳定, 表征整个过程中SCR反应的NOx 转化率情况.
2 结果和讨论
2.1 BET分析
表1 给出了空白二氧化硅载体和各样品的BET分析结果, 可见二氧化硅载体的比表面为375 m2 /g, 孔容为0.81 mL/g, 经过掺杂后的各样品的比表面降低至360 m2 /g左右, 各样品的孔容均在0.77 mL/g左右.因为Mn,Cr,Fe,V,Co和Cu的原子序数比较接近, 原子量和离子尺寸相差不大, 各样品在总负载量相同的情况下其比表面结果非常接近.从表1 还可见, 随着催化组分的负载样品的平均孔径有所降低.这表明, 多金属氧化物的催化组分主要填塞于多孔二氧化硅小球的孔道内部, 从而导致孔容的减少和平均孔径的降低.
2.2 XRD分析
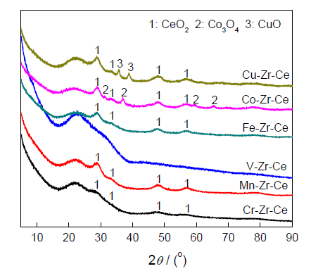
图1 给出了各样品的XRD分析谱图.由图1 可见, 各样品均在22°附近出现了明显的无定形峰包, 是无定形二氧化硅载体的XRD衍射结果.其中Cu-Zr-Ce和Co-Zr-Ce在分别出现CuO和Co3 O4 的衍射峰的同时, 还出现了明显的CeO2 的衍射峰, ZrO2 则可能因为溶于CeO2 形成固溶体而没有表现出明显的衍射峰.样品Fe-Zr-Ce,Mn-Zr-Ce和Cr-Zr-Ce均只表现出了CeO2 的衍射峰, 其中相应过渡金属氧化物的衍射峰都没有出现.这表明, 在当前的金属原子配比条件下Fe,Mn和Cr的氧化物可以固溶于CeO2 和ZrO2 构成的萤石相晶格中并形成固溶体[9 ] , 而Cu和Co的氧化物则不能全部容纳于CeO2 和ZrO2 构成的萤石相晶格中.因此, 在XRD谱图中显示出了单独的氧化物相的衍射.样品V-Zr-Ce则比较特别, 没有明显的可归属的衍射峰存在, 说明V的氧化物干扰了CeO2 的相态, 使样品中的复合氧化物催化组分的晶相在XRD分析中难以辨别.
图1 样品的XRD谱
Fig.1 XRD spectra of sample
2.3 SCR催化效果
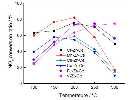
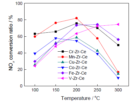
图2 给出了各样品在100~300℃下的SCR催化效果.由图可知, 除了V-Zr-Ce外其他样品均在100-300℃表现出了倒U型的反应效果曲线: 在较低温度范围内(<200℃), 各样品的催化能力随着温度的升高而提高, 而在200-300℃各样品的催化性能随着反应温度的升高而降低, 其中Co-Zr-Ce样品在150℃具有最高的催化活性在升温条件下骤降.样品Mn-Zr-Ce在低于200℃表现出较好的催化活性, 但在温度高于200℃后其催化活性急剧降低.可见其低温催化性能较好, 而高温催化性能较差; 样品Fe-Zr-Ce在低温(<200℃)范围内催化活性较低, 在200-300℃表现出了较高的催化活性, 但在300℃催化性能已经有所下降.样品V-Zr-Ce在整个温度范围内均表现出了不断随温度上升的催化活性, 可见V和Zr/Ce氧化物形成的催化剂更适合在高温下催化SCR反应.这可能与V氧化物在高温下稳定结合氨的较强表面酸位有关.样品Cu-Zr-Ce和Co-Zr-Ce在100-300℃催化能力均较低, 不适合开发低温SCR催化剂; 总体上: 样品Cr-Zr-Ce在100-250℃均有较好的催化效果, 比较适合用来催化低于300℃的SCR反应, 其适用温度范围也比较宽.
图2 样品在100-300℃范围内的催化效果曲线
Fig.2 Catalytic results of various sample in temperature range of 100-300℃
2.4 H2 -TPR分析
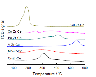
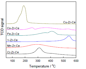
为了分析表征各样品的氧化能力, 对样品进行了H2 -TPR测试, 结果如图3 所示.由图3 可知, 样品Cu-Zr-Ce在150-220℃出现了显著的还原峰.Morettia[10 ] 对Cu/Ce复合氧化物在200℃附近的TPR峰进行了分析: 低于200℃的还原峰归属为高度分散的CuO的还原; 220℃还原峰归属为在CeO2 晶格中替代掺杂和取代掺杂的CuO的还原; 240℃附近的还原峰归属为单独的CuO颗粒的还原.从图3 还可知, 样品Cu-Zr-Ce中的CuO可能以高度分散的CuO颗粒和在CeO2 晶格中替代掺杂和取代掺杂的CuO这两种形式.样品Co-Zr-Ce在300℃前后分别出现了两个TPR还原峰, 其中低于300℃的还原峰可以归属为和CeO2 发生相互作用Co3 O4 的还原, 而高于300℃的还原峰则可以归属为CoO被还原为Co的信号峰, 高于500℃出现的微弱还原峰可能对应CeO2 表面氧物种的还原[11 ] .样品Fe-Zr-Ce在400℃前后出现了两个非常接近TPR还原峰, 其位置和形态和文献[12 ] 报道的Fe/Ce复合氧化物非常接近, 可能是与CeO2 相作用的Fe2 O3 和Fe3 O4 的还原峰.样品V-Zr-Ce在550℃附近出现了一个显著的还原峰, 可能来自样品表面钒物种的还原[13 ] .该还原峰位置前移, 可能与V2 O5 和ZrO2 /CeO2 固溶体的相互作用有关.样品Mn-Zr-Ce在200-400℃出现了平缓的还原峰, 其相对位置和文献[14]报道的Mn/Ce二元氧化物的TPR还原峰很接近, 可能是Mn-O-Ce固溶体中Mn3+ 的还原和Mn3+ 与Ce4+ 协同作用导致的还原产生的还原峰.样品Cr-Zr-Ce在260-350℃出现了明显的还原峰, 与文献[15]报道的情况很类似, 可能源自固溶于CeO2 的Cr3+ 和Cr6+ 的还原.比较所有样品的TPR, 其氧化能力与SCR催化效果并没有直接的联系.样品Cu-Zr-Ce具有最强氧化能力, 但其SCR效果较差; 样品Mn-Zr-Ce的TPR曲线扁平, 但在低温下表现出了较好的SCR催化效果; 样品Fe-Zr-Ce和V-Zr-Ce在较高温度下才产生还原峰, 这一定程度上解释了这两个样品需要较高温度才能获得相对较好SCR效果的现象.虽然Cr-Zr-Ce的氧化能力一般, 但却在100-300℃之间都表现出了相对较好的SCR催化效果.由此可见, 样品SCR催化效果不但与其氧化能力相关, 也很可能与其表面酸位的强度和多少有关.
2.5 NH3 -TPD分析
为了分析表征的表面酸位, 对样品进行了NH3 -TPD测试, 分析结果如图4 所示.由图4 可知, 多孔二氧化硅载体在110℃处有明显的氨脱附峰.其原因是, 高比表面的二氧化硅小球载体具有一定的表面弱酸位, 可对氨产生一定的弱吸附.样品Cu-Zr-Ce除了110℃左右二氧化硅载体的脱附峰外, 可能在180℃和290℃附近出现了两个脱附峰, 前者导致二氧化硅载体的脱附峰尾部上扬并与之合并呈现出平台状, 可见该样品中Cu,Zr和Ce三元氧化物导致了弱酸位和中强酸位.Co-Zr-Ce,Fe-Zr-Ce和Mn-Zr-Ce三个样品的NH3 -TPD图线非常类似, 在110℃附近的二氧化硅载体脱附峰被后续的脱附信号所影响而出现了平台, 一直延伸至400℃左右(Fe-Zr-Ce和Co-Zr-Ce)和350℃左右(Mn-Zr-Ce), 其中Mn-Zr-Ce样品在300℃左右的平台高度略高, 相对应的中强酸位数量略多.V-Zr-Ce样品的NH3 -TPD图线只在120℃左右出现了一个明显的脱附峰, 强度较高且有拖尾.这可能是V,Zr,Ce的三元复合氧化物在150-300℃附近产生的脱附信号[16 ] 与二氧化硅载体的脱附信号叠加的结果, 其峰强明显高于Mn-Zr-Ce,Fe-Zr-Ce,Co-Zr-Ce和Cu-Zr-Ce各样品.样品Cr-Zr-Ce的NH3 -TPD图线比较特别: 在120℃和270℃附近出现了两个脱附峰, 强度均很高.这说明, 该样品在弱酸(<230℃)和中强酸(230℃-370℃)范围内均有丰富的酸位.这可能源自铬氧化物偏酸性的化学特性, 也可能和Zr/Ce二元氧化物与铬氧化物的相互作用有关.综合以上结果, 酸性位点的丰富程度和相对强弱对SCR催化效果具有一定的影响.样品Cr-Zr-Ce具备弱酸和中强酸位, 且酸性位点数量较多, 因此在100-300℃均有比较稳定的SCR催化效果.酸性位点以结合NH3 分子的方式促进SCR反应的进行, 其结合方式有离子型结合(形成NH4 + )和形成络合物两种方式, 分别对应于强酸性位点和弱酸性位点, 这也导致了进一步SCR反应的不同机理和途径.
图3 样品的H2- 程序升温还原曲线
Fig.3 H2- TPR profiles of various samples
图4 样品的NH3 -程序升温脱附曲线
Fig.4 NH3 -TPD profiles of various samples
2.6 XPS分析
为了分析表征样品中活性组分的价态和结合方式, 对各样品进行了XPS分析, 主要分析各种过渡金属氧化物的状态和样品中CeO2 的存在形式, 结果如图5 和6所示.图5 给出了6种过渡金属元素的2p结合能谱图.由图5 a可知, 样品Cr-Zr-Ce的铬氧化物主要以Cr(III)和Cr(VI)两种状态存在, 其中586.4 eV和577.2 eV附近的结合能峰可以归属于Cr(III)的2p1/2 和2p3/2 结合能[17 , 18 ] , 而588.7 eV和579.7 eV附近的结合能峰可归属于Cr(VI)的2p1/2 和2p3/2 结合能[19 , 20 ] .III价和VI价的结合能峰面积各占70.7%和29.3%, 表明材料的表面元素中Cr(VI)占有一定的比例, 这也解释了该样品在NH3 -TPD测试中表现出了较多的弱酸和中强酸位点.Cr(III)和Cr(VI)两种氧化态共存也许是该样品具有较好SCR催化性能的原因, 而Cr(VI)的产生可能与Zr/Ce氧化物显著的储氧和供氧能力有关.由图5 b可知, 样品Co-Zr-Ce中的钴氧化物主要以Co(III)和少量Co(II)的状态存在, 其2p1/2 和2p3/2 结合能分别在795.9 eV,780.7 eV和796.5 eV,782.7 eV[21 -23 ] 附近.样品Cu-Zr-Ce的XPS分析结果表明, Cu主要以CuO的形式存在, 其他价态的Cu氧化物在表面元素中几乎不可见, 可能也是由于Zr/Ce二元氧化物显著的储氧和供氧能力限制了低价Cu氧化物(Cu2 O)的产生.由图5 d可知, 样品Fe-Zr-Ce的铁元素主要以Fe2 O3 和少量Fe3 O4 的形式存在[24 ] .而Mn-Zr-Ce样品中Mn元素则主要以MnO2 和少量的Mn3 O4 的形式存在[25 ] .样品V-Zr-Ce的V元素XPS如图5 f所示, 可见V元素主要以V2 O5 和V2 O3 两种价态存在, 其2p3/2 结合能分别在518.3 eV和517.2 eV[26 , 27 ] 附近.以上结果表明, Zr/Ce氧化物掺杂的过渡金属元素主要以较高价态的氧化物的形式存在, 而高价的Cr(VI)可能是样品Cr-Zr-Ce具有较多中强酸性位点的原因.
图5 各样品中过渡金属元素的2p XPS谱图
Fig.5 2p XPS spectra of various transition metals in as-made samples
图6 各样品中Ce元素的3d XPS谱图
Fig.6 3d XPS spectra of Ce in various samples
图7 样品Cr-Zr-Ce,Mn-Zr-Ce和V-Zr-Ce的耐硫性
Fig.7 Sulphur resistance of sample Cr-Zr-Ce (a), Mn-Zr-Ce (b) and V-Zr-Ce (c)
为了表征样品中Ce元素的存在形式和价态, 对各样品的Ce3d XPS谱图进行了拟合和比较, 结果如图6 所示.其中IV1,IV2,IV3,IV4,IV5和IV6可以归属于Ce(IV)物种, 而III1和III2则可以归属于Ce(III)物种.由图6 可见, 各样品中Ce(III)的含量不同: Cr-Zr-Ce,V-Zr-Ce,Mn-Zr-Ce和Fe-Zr-Ce中的Ce(III)物种含量略高, 而Cu-Zr-Ce和Co-Zr-Ce中Ce(III)物种含量略低.Martínez[28 ] 认为Ce(III)对于SCR的反应有促进作用, 因为NOx 的还原过程会伴随着Ce(III)←→Ce(IV)的变价过程.从图6 还可见, 样品Cu-Zr-Ce和Co-Zr-Ce在所有温度范围内SCR效果较差, 可能与其Ce(III)物种含量略低有关.另外, XRD分析结果表明, 这两个样品中有单独的过渡金属氧化物相, 而其他样品中的过渡金属氧化物(除V-Zr-Ce外)则以固溶体的形式掺杂在CeO2 萤石相的晶格中.以固溶体形式存在的过渡金属氧化物可能对NOx 的催化还原有更好的效果, 因为这些金属氧化物以分子水平分散CeO2 晶格中, 使CeO2 表面产生了更多的活性氧和酸性位点, 这都有利于SCR反应的进行.样品Cr-V-Ce和V-Zr-Ce中Ce(III)的含量较高, 可能与其中过渡金属离子价态较高有关: 当Cr(VI)和V(V)固溶入铈氧化物时, 其较高的价态导致更多晶格氧与之结合, 使临近的Ce(IV)易于变价为Ce(III)并稳定存在.此外, 高价态的过渡金属元素和较多的Ce(III)可能共同促进了SCR反应的进行.因此, 本文使用的3种含有高价态过渡金属元素的样品Mn-Zr-Ce,V-Zr-Ce和Cr-Zr-Ce分别在低温段(<200℃),高温段(>250℃)和全温度段(100℃-300℃)有较好的催化效果.
2.7 耐硫性分析
选择样品Cr-Zr-Ce,Mn-Zr-Ce和V-Zr-Ce进行了耐硫性能研究.在SCR反应进行一段时间后向反应体系中通入SO2 一段时间, 然后切断SO2 气流, 如此反复两次, 得到的实验结果如图7 所示.可以看出, 3种样品的活性在200℃均因SO2 的引入显著下降, 但是当SO2 气流切断后3种样品的SCR性能均可较快恢复.Cr-Zr-Ce和V-Zr-Ce样品在两次通入SO2 后恢复了反应初期的SCR催化效果, 而样品Mn-Zr-Ce则在两次通入SO2 后催化活性比初期略有降低.这表明, 样品Cr-Zr-Ce和V-Zr-Ce的耐硫性较好, 可能与两个样品中CrOx 和VOx 的酸性较强且不易与SO2 形成高稳定化合物有关.实验结果还表明, V-Zr-Ce样品在通入SO2 的初期发生SCR效果的短时提高, 与文献[29]的结果吻合.因为SO2 的引入在一定程度上提高了VOx 表面的Brønsted酸的酸度, 这些少量吸附SO2 的表面酸性位点更容易和NH3 形成牢固的吸附, 从而促进SCR反应的进行.但是这种现象在样品Cr-Zr-Ce和Mn-Zr-Ce的情况中均没有出现, 其原因可能是这两个样品表面的CrOx 和MnOx 的配位数不够高, 与SO2 发生吸附结合后其酸位点不再拥有剩余的空轨道以容纳NH3 提供的孤对电子.因此NH3 的吸附被抑制, 使SCR催化效果降低.
3 结论
1. 在6种过渡金属和Ce/Zr二元氧化物复合的三元SCR催化剂中, 使用Cr的样品在100-300℃均有较好的SCR催化活性; 使用Mn的样品在低温下催化活性较高, 但是在高温下催化活性迅速恶化; 使用V的样品在低温下催化活性很低, 但在高温下催化活性提高.
2. SCR效果很差的Cu-Zr-Ce其氧化能力反而最强, 高温SCR活性好的V-Zr-Ce具有最低的氧化能力, 催化活性比较稳定的Cr-Zr-Ce在310℃左右出现了显著的还原峰, 其他样品分别在200-450℃出现了还原峰, 表明其SCR催化能力并不与氧化能力直接相关.Cr-Zr-Ce兼具弱酸位和中强酸位, 且酸位数量较多.
3. Cu-Zr-Ce中Cu主要以CuO形式存在, Fe-Zr-Ce中Fe主要以Fe2 O3 形式存在, Co-Zr-Ce中Co主要以Co3 O4 的形式存在, Mn-Zr-Ce中Mn主要以MnO2 的形式存在, 而V-Zr-Ce中V兼具V2 O5 和V2 O3 两种存在形式, Cr-Zr-Ce中Cr兼具CrO3 和Cr2 O3 两种存在形式.样品中过渡金属元素的价态越高相应的Ce(III)的含量就越多, 且SCR效果越好.Mn-Zr-Ce,Cr-Zr-Ce和V-Zr-Ce三种样品均具有一定的耐硫性, 其中Cr-Zr-Ce和V-Zr-Ce的耐硫性比Mn-Zr-Ce的好.
The authors have declared that no competing interests exist.
参考文献
文献选项
[1]
ZHU Tong , SHANG Jing , ZHAO Defeng , The roles of heterogeneous chemical processes in the formation of an air pollution complex and gray haze
, Sci. China-Chem. , 40 (12 ), 1731 (2010 )
[本文引用: 1]
(朱彤 , 尚静 , 赵德峰 , 大气复合污染及灰霾形成中非均相化学过程的作用,
中国科学: 化学 , 40 (12 ), 1731 (2010 ))
[本文引用: 1]
[2]
Q. Liu , Y. Sun , B. Hu , Z. R. Liu , S. Akio , Y. S. Wang , In situ measurement of PM1 organic aerosol in Beijing winter using a high-resolution aerosol mass spectrometer
, Chin. Sci. Bull. , 57 (7 ), 819 (2012 )
[本文引用: 1]
[3]
W. S. Kijlstra , D. S. Brands , E. K. Poels , A. Bliek , Kinetics of the selective catalytic reduction of NO with NH3 over MnOx /Al2 O3 catalysts at low temperature, Catal.
Today , 50 , 133 (1999 )
[本文引用: 1]
[4]
P. R. Ettireddy , N. Ettireddy , S. Mamedov , P. Boolchand , P. G. Smirniotis , Surface characterization studies of TiO2 supported manganese oxide catalysts for low temperature SCR of NO with NH3 , Appl. Catal., B
Environ. , 76 (S1-2 ), 123 (2007 )
[5]
T. Y. Du , H.X.Qu , Q. Liu , Q. Zhong , W.H. Ma ,Synthesis, activity and hydrophobicity of Fe-ZSM-5@silicalite-1 for NH3 -SCR, Chem. Eng. J. , 262 , 1199 (2015 )
[6]
LIU Haidi , LI Weiman , HUANG Yiping , CHEN Yunfa , Reaction mechanism of NH3 -selective catalytic reduction for NO on CrOx -CeO2 binary oxide, Chinese J
. Inorg. Chem. , 29 (11 ), 2399 (2013 )
(刘海弟 , 李伟曼 , 黄亿苹 , 陈运法 , CrOx -CeO2 二元氧化物表面NO的NH3 催化还原反应机理,
无机化学学报 , 29 (11 ), 2399 (2013 ))
[7]
D.Wang , Y. Jangjou , Y. Liu , M. K. Sharma , J.Y. Luo , J. H. Li , K. Kamasamudram , W. S. Epling , A comparison of hydrothermal aging effects on NH3 -SCR of NOx over Cu-SSZ-13 and Cu-SAPO-34 catalysts, Appl. Catal., B
Environ. , 165 , 438 (2015 )
[8]
H. F. Huang , L. L. Jin , H. F. Lu , H. Yu , Y. J. Chen , Monolithic Cr-V/TiO2 /cordierite catalysts prepared by in-situ precipitation and impregnation for low-temperature NH3 -SCR reactions
, Catal. Commun. , 34 , 1 (2013 )
[本文引用: 1]
[9]
M. Machida , M. Uto , D. Kurogi , T. Kijima , MnOx -CeO2 binary oxides for catalytic NOx sorption at low temperatures. Sorptive removal of NOx
, Chem. Mater. , 12 , 3158 (2000 )
[本文引用: 1]
[10]
E. Morettia E , L. Storaroa , A. Talona , M. Lenarda , P. Riello , R. Frattini , M. D. V. M. D. Yuso , A. Jimenez-Lopez , E. Rodriguez-Castellon , F. Ternero , A. Caballero , J.P. Holgado , Effect of thermal treatments on the catalytic behaviour in the CO preferential oxidation of a CuO-CeO2 -ZrO2 catalyst with a flower-like morphology, Appl. Catal.
B Environ , 102 , 627 (2011 )
[本文引用: 1]
[11]
Sh. H. Zeng , X. J. Fu , T. Zh. Zhou , X. M. Wang , H. Q. Su , Influence of pore distribution on catalytic performance over inverse CeO2 /Co3 O4 catalysts for CH4 /CO2 reforming
, Fuel Process. Technol. , 114 , 69 (2013 )
[本文引用: 1]
[12]
S. M. Mousavi , A. Niaei , M. J. I. Gomez, D . Salari, P. N . Panahi, V . Abaladejo-Fuentes, Characterization and activity of alkaline earth metals loaded CeO2 -MOx (M = Mn, Fe) mixed oxides in catalytic reduction of NO
, Mater. Chem. Phys. , 143 , 921 (2014 )
[本文引用: 1]
[13]
X. D. Gu , J. Zh. Ge , H. L. Zhang , A. Auroux , J. Y. Shen , Structural, redox and acid-base properties of V2 O5 /CeO2 catalysts , Thermochimica.
Acta , 451 (1-2 ), 84 (2006 )
[本文引用: 1]
[14]
Zh. Wang , G. L. Shen , J. Q. Li , H. D. Liu , Q. Wang , Y. F. Chen , Catalytic removal of benzene over CeO2-MnOx composite oxides prepared by hydrothermal method , Appl. Catal. B Environ. , 138-139 , 253 (2013 )
[15]
H. D. Liu , L. Q. Wei , R. L. Yue , Y. F. Chen , CrOx-CeO2 binary oxide as a superior catalyst for NO reduction with NH3 at low temperature in presence of CO
, Catal. Commun. , 11 , 829 (2010 )
[16]
Zh. M. Liu , Sh. X. Zhang , J. H. Li , J. Zh. Zhu , L. L. Ma , Novel V2 O5 -CeO2 /TiO2 catalyst with low vanadium loading for the selective catalytic reduction of NOx by NH3
, Appl. Catal. B Environ ., 158-159 , 11 (2014 )
[本文引用: 1]
[17]
E. Agostinelli , C. Battistoni , D. Fiorani , G. Mattogno , M. Nogues , An XPS study of the electronic structure of the ZnxCd1-xCr2(X = S, Se) spinel system, J Phys. Chem.
Solids , 50 , 269 (1989 )
[本文引用: 1]
[18]
E. Paparazzo , E. Severini , A. Jimenez-Lopez , P. Maireles-Torres , P. Olivera-Pastor , E. Rodriguez-Castellon , A. A. G. Tomlinson, Surface chemistry of chromia-pillared tin and zirconium phosphate materials: an X-ray photoelectron spectroscopic study, J
. Mater. Chem. , 2 , 1175 (1992 )
[本文引用: 1]
[19]
E. Desimoni , C. Malitesta , P. G. Zambonin , J. C. Rivière , An x-ray photoelectron spectroscopic study of some chromium-oxygen systems
, Surf. Interface Anal. , 13 , 173 (1988 )
[本文引用: 1]
[20]
A. Rahman , M. H. Mohamed , M. Ahmed , A. M. Aitani , Characterization of chromia/alumina catalysts by X-ray photoelectron spectroscopy, proton induced X-ray emission and thermogravimetric analysis , Appl. Catal.
A , 121 (2 ), 203 (1995 )
[本文引用: 1]
[21]
B. J. Tan , K. J. Klabunde , P. M. A. Sherwood, XPS studies of solvated metal atom dispersed (SMAD) catalysts
. Evidence for layered cobalt-manganese particles on alumina and silica, J. Am. Chem. Soc. , 113 , 855 (1991 )
[本文引用: 1]
[22]
J. H. Baek , J. Y. Park , A. R. Hwang , Y. C. Kang , Spectroscopic and Morphological Investigation of Co3 O4 Microfibers Produced by Electrospinning Process
, Bull. Korean Chem. Soc. , 33 (4 ), 1242 (2012 )
[23]
J. P. Bonnelle , J. Grimblot , A. J. D'huysser, Influence de la polarisation des liaisons sur les spectres esca des oxydes de cobalt
, Electron Spectrosc. Relat. Phenom. , 7 , 151 (1975 )
[本文引用: 1]
[24]
T. Yamashita , P. Hayes. Analysis of XPS spectra of Fe2 + and Fe3 + ions in oxide materials
, Appl. Surf. Sci. , 254 , 2441 (2008 )
[本文引用: 1]
[25]
G. C. Allen , S. J. Harris , J. A. Jutson , J. M. Dyke , A study of a number of mixed transition metal oxide spinels using X-ray photoelectron spectroscopy
, Appl. Surf. Sci. , 37 , 111 (1989 )
[本文引用: 1]
[26]
R. Gopalakrishnan , B. V. R. Chowdari, K. L . Tan, Electrical and structural characterization of the xCuO: (1-x )V2 O5 ,
Solid State Ionics , 53 , 1168 (1992 )
[本文引用: 1]
[27]
N. K. Nag , F. E. Massoth , ESCA and gravimetric reduction studies on V/Al2 O3 and V/SiO2 catalysts J
. Catal. , 124 , 127 (1990 )
[本文引用: 1]
[28]
A. Martínez-Arias , J. Soria , J. C. Conesa , X. L. Seoane , A. Arcoya , R. Cataluna , NO reaction at surface oxygen vacancies generated in cerium oxide, J. Chem.Soc.
Faraday Trans , 11 (11 ), 1679 (1995 )
[本文引用: 1]
[29]
I. Giakoumelou , C. Fountzoulab , C. Kordulis , S. Boghosian , Molecular structure and catalytic activity of V2 O5 /TiO2 catalysts for the SCR of NO by NH3 : In situ Raman spectra in the presence of O2 , NH3 , NO, H2 , H2 O, and SO2 , J
. Catal. , 239 (1 ), 1 (2006 )
大气复合污染及灰霾形成中非均相化学过程的作用,
1
2010
... 氮氧化物(NOx )是导致我国严重空气污染的重要污染物之一.目前我国的酸雨污染已经从硫沉降过渡为氮,硫同时沉降.NOx ,硫氧化物和可挥发性有机物(VOCs)对大气复合污染的作用强烈[1 , 2 ] , 能显著提高灰霾产生和增长速度及大气的氧化能力.钒-钨-钛三元SCR催化剂可在300-400℃实现氨对NOx 的还原, 并产生无害的氮气, 国产钒-钨-钛SCR催化剂已应用于燃煤电站的尾气脱硝.但是, 目前工业窑炉,水泥窑,冶金烧结机等特殊的NOx 排放源的尾气温度往往低于250℃, 甚至低于180℃, 不能使用钒-钨-钛三元SCR催化剂.因此开发在低温范围(150-300℃)具有催化活性的SCR催化剂, 有重要的实际意义和良好的应用前景. ...
大气复合污染及灰霾形成中非均相化学过程的作用,
1
2010
... 氮氧化物(NOx )是导致我国严重空气污染的重要污染物之一.目前我国的酸雨污染已经从硫沉降过渡为氮,硫同时沉降.NOx ,硫氧化物和可挥发性有机物(VOCs)对大气复合污染的作用强烈[1 , 2 ] , 能显著提高灰霾产生和增长速度及大气的氧化能力.钒-钨-钛三元SCR催化剂可在300-400℃实现氨对NOx 的还原, 并产生无害的氮气, 国产钒-钨-钛SCR催化剂已应用于燃煤电站的尾气脱硝.但是, 目前工业窑炉,水泥窑,冶金烧结机等特殊的NOx 排放源的尾气温度往往低于250℃, 甚至低于180℃, 不能使用钒-钨-钛三元SCR催化剂.因此开发在低温范围(150-300℃)具有催化活性的SCR催化剂, 有重要的实际意义和良好的应用前景. ...
In situ measurement of PM1 organic aerosol in Beijing winter using a high-resolution aerosol mass spectrometer
1
2012
... 氮氧化物(NOx )是导致我国严重空气污染的重要污染物之一.目前我国的酸雨污染已经从硫沉降过渡为氮,硫同时沉降.NOx ,硫氧化物和可挥发性有机物(VOCs)对大气复合污染的作用强烈[1 , 2 ] , 能显著提高灰霾产生和增长速度及大气的氧化能力.钒-钨-钛三元SCR催化剂可在300-400℃实现氨对NOx 的还原, 并产生无害的氮气, 国产钒-钨-钛SCR催化剂已应用于燃煤电站的尾气脱硝.但是, 目前工业窑炉,水泥窑,冶金烧结机等特殊的NOx 排放源的尾气温度往往低于250℃, 甚至低于180℃, 不能使用钒-钨-钛三元SCR催化剂.因此开发在低温范围(150-300℃)具有催化活性的SCR催化剂, 有重要的实际意义和良好的应用前景. ...
Kinetics of the selective catalytic reduction of NO with NH3 over MnOx /Al2 O3 catalysts at low temperature, Catal.
1
1999
... 铈基低温SCR催化剂是重要的低温SCR催化体系之一, 其中Mn,V,Fe,Cu,Cr等过渡金属元素都已作为低温SCR催化剂的活性元素加以研究[3 -8 ] .氧化铈和过渡金属构成的二元氧化物催化剂, 也因其良好的催化性能而有望得到工业应用.本文使用Cr,Mn,V,Cu,Co和Fe制备M-Zr-Ce三元SCR催化剂(M =过渡金属), 研究不同过渡金属元素对样品SCR催化性能的影响, 并通过NH3 -TPD和H2 -TPR等分析手段研究这3种元素影响SCR催化效果的原因. ...
Surface characterization studies of TiO2 supported manganese oxide catalysts for low temperature SCR of NO with NH3 , Appl. Catal., B
0
2007
CrOx -CeO2 二元氧化物表面NO的NH3 催化还原反应机理,
0
2013
CrOx -CeO2 二元氧化物表面NO的NH3 催化还原反应机理,
0
2013
A comparison of hydrothermal aging effects on NH3 -SCR of NOx over Cu-SSZ-13 and Cu-SAPO-34 catalysts, Appl. Catal., B
0
2015
Monolithic Cr-V/TiO2 /cordierite catalysts prepared by in-situ precipitation and impregnation for low-temperature NH3 -SCR reactions
1
2013
... 铈基低温SCR催化剂是重要的低温SCR催化体系之一, 其中Mn,V,Fe,Cu,Cr等过渡金属元素都已作为低温SCR催化剂的活性元素加以研究[3 -8 ] .氧化铈和过渡金属构成的二元氧化物催化剂, 也因其良好的催化性能而有望得到工业应用.本文使用Cr,Mn,V,Cu,Co和Fe制备M-Zr-Ce三元SCR催化剂(M =过渡金属), 研究不同过渡金属元素对样品SCR催化性能的影响, 并通过NH3 -TPD和H2 -TPR等分析手段研究这3种元素影响SCR催化效果的原因. ...
MnOx -CeO2 binary oxides for catalytic NOx sorption at low temperatures. Sorptive removal of NOx
1
2000
... 图1 给出了各样品的XRD分析谱图.由图1 可见, 各样品均在22°附近出现了明显的无定形峰包, 是无定形二氧化硅载体的XRD衍射结果.其中Cu-Zr-Ce和Co-Zr-Ce在分别出现CuO和Co3 O4 的衍射峰的同时, 还出现了明显的CeO2 的衍射峰, ZrO2 则可能因为溶于CeO2 形成固溶体而没有表现出明显的衍射峰.样品Fe-Zr-Ce,Mn-Zr-Ce和Cr-Zr-Ce均只表现出了CeO2 的衍射峰, 其中相应过渡金属氧化物的衍射峰都没有出现.这表明, 在当前的金属原子配比条件下Fe,Mn和Cr的氧化物可以固溶于CeO2 和ZrO2 构成的萤石相晶格中并形成固溶体[9 ] , 而Cu和Co的氧化物则不能全部容纳于CeO2 和ZrO2 构成的萤石相晶格中.因此, 在XRD谱图中显示出了单独的氧化物相的衍射.样品V-Zr-Ce则比较特别, 没有明显的可归属的衍射峰存在, 说明V的氧化物干扰了CeO2 的相态, 使样品中的复合氧化物催化组分的晶相在XRD分析中难以辨别. ...
Effect of thermal treatments on the catalytic behaviour in the CO preferential oxidation of a CuO-CeO2 -ZrO2 catalyst with a flower-like morphology, Appl. Catal.
1
2011
... 为了分析表征各样品的氧化能力, 对样品进行了H2 -TPR测试, 结果如图3 所示.由图3 可知, 样品Cu-Zr-Ce在150-220℃出现了显著的还原峰.Morettia[10 ] 对Cu/Ce复合氧化物在200℃附近的TPR峰进行了分析: 低于200℃的还原峰归属为高度分散的CuO的还原; 220℃还原峰归属为在CeO2 晶格中替代掺杂和取代掺杂的CuO的还原; 240℃附近的还原峰归属为单独的CuO颗粒的还原.从图3 还可知, 样品Cu-Zr-Ce中的CuO可能以高度分散的CuO颗粒和在CeO2 晶格中替代掺杂和取代掺杂的CuO这两种形式.样品Co-Zr-Ce在300℃前后分别出现了两个TPR还原峰, 其中低于300℃的还原峰可以归属为和CeO2 发生相互作用Co3 O4 的还原, 而高于300℃的还原峰则可以归属为CoO被还原为Co的信号峰, 高于500℃出现的微弱还原峰可能对应CeO2 表面氧物种的还原[11 ] .样品Fe-Zr-Ce在400℃前后出现了两个非常接近TPR还原峰, 其位置和形态和文献[12 ] 报道的Fe/Ce复合氧化物非常接近, 可能是与CeO2 相作用的Fe2 O3 和Fe3 O4 的还原峰.样品V-Zr-Ce在550℃附近出现了一个显著的还原峰, 可能来自样品表面钒物种的还原[13 ] .该还原峰位置前移, 可能与V2 O5 和ZrO2 /CeO2 固溶体的相互作用有关.样品Mn-Zr-Ce在200-400℃出现了平缓的还原峰, 其相对位置和文献[14]报道的Mn/Ce二元氧化物的TPR还原峰很接近, 可能是Mn-O-Ce固溶体中Mn3+ 的还原和Mn3+ 与Ce4+ 协同作用导致的还原产生的还原峰.样品Cr-Zr-Ce在260-350℃出现了明显的还原峰, 与文献[15]报道的情况很类似, 可能源自固溶于CeO2 的Cr3+ 和Cr6+ 的还原.比较所有样品的TPR, 其氧化能力与SCR催化效果并没有直接的联系.样品Cu-Zr-Ce具有最强氧化能力, 但其SCR效果较差; 样品Mn-Zr-Ce的TPR曲线扁平, 但在低温下表现出了较好的SCR催化效果; 样品Fe-Zr-Ce和V-Zr-Ce在较高温度下才产生还原峰, 这一定程度上解释了这两个样品需要较高温度才能获得相对较好SCR效果的现象.虽然Cr-Zr-Ce的氧化能力一般, 但却在100-300℃之间都表现出了相对较好的SCR催化效果.由此可见, 样品SCR催化效果不但与其氧化能力相关, 也很可能与其表面酸位的强度和多少有关. ...
Influence of pore distribution on catalytic performance over inverse CeO2 /Co3 O4 catalysts for CH4 /CO2 reforming
1
2013
... 为了分析表征各样品的氧化能力, 对样品进行了H2 -TPR测试, 结果如图3 所示.由图3 可知, 样品Cu-Zr-Ce在150-220℃出现了显著的还原峰.Morettia[10 ] 对Cu/Ce复合氧化物在200℃附近的TPR峰进行了分析: 低于200℃的还原峰归属为高度分散的CuO的还原; 220℃还原峰归属为在CeO2 晶格中替代掺杂和取代掺杂的CuO的还原; 240℃附近的还原峰归属为单独的CuO颗粒的还原.从图3 还可知, 样品Cu-Zr-Ce中的CuO可能以高度分散的CuO颗粒和在CeO2 晶格中替代掺杂和取代掺杂的CuO这两种形式.样品Co-Zr-Ce在300℃前后分别出现了两个TPR还原峰, 其中低于300℃的还原峰可以归属为和CeO2 发生相互作用Co3 O4 的还原, 而高于300℃的还原峰则可以归属为CoO被还原为Co的信号峰, 高于500℃出现的微弱还原峰可能对应CeO2 表面氧物种的还原[11 ] .样品Fe-Zr-Ce在400℃前后出现了两个非常接近TPR还原峰, 其位置和形态和文献[12 ] 报道的Fe/Ce复合氧化物非常接近, 可能是与CeO2 相作用的Fe2 O3 和Fe3 O4 的还原峰.样品V-Zr-Ce在550℃附近出现了一个显著的还原峰, 可能来自样品表面钒物种的还原[13 ] .该还原峰位置前移, 可能与V2 O5 和ZrO2 /CeO2 固溶体的相互作用有关.样品Mn-Zr-Ce在200-400℃出现了平缓的还原峰, 其相对位置和文献[14]报道的Mn/Ce二元氧化物的TPR还原峰很接近, 可能是Mn-O-Ce固溶体中Mn3+ 的还原和Mn3+ 与Ce4+ 协同作用导致的还原产生的还原峰.样品Cr-Zr-Ce在260-350℃出现了明显的还原峰, 与文献[15]报道的情况很类似, 可能源自固溶于CeO2 的Cr3+ 和Cr6+ 的还原.比较所有样品的TPR, 其氧化能力与SCR催化效果并没有直接的联系.样品Cu-Zr-Ce具有最强氧化能力, 但其SCR效果较差; 样品Mn-Zr-Ce的TPR曲线扁平, 但在低温下表现出了较好的SCR催化效果; 样品Fe-Zr-Ce和V-Zr-Ce在较高温度下才产生还原峰, 这一定程度上解释了这两个样品需要较高温度才能获得相对较好SCR效果的现象.虽然Cr-Zr-Ce的氧化能力一般, 但却在100-300℃之间都表现出了相对较好的SCR催化效果.由此可见, 样品SCR催化效果不但与其氧化能力相关, 也很可能与其表面酸位的强度和多少有关. ...
Abaladejo-Fuentes, Characterization and activity of alkaline earth metals loaded CeO2 -MOx (M = Mn, Fe) mixed oxides in catalytic reduction of NO
1
2014
... 为了分析表征各样品的氧化能力, 对样品进行了H2 -TPR测试, 结果如图3 所示.由图3 可知, 样品Cu-Zr-Ce在150-220℃出现了显著的还原峰.Morettia[10 ] 对Cu/Ce复合氧化物在200℃附近的TPR峰进行了分析: 低于200℃的还原峰归属为高度分散的CuO的还原; 220℃还原峰归属为在CeO2 晶格中替代掺杂和取代掺杂的CuO的还原; 240℃附近的还原峰归属为单独的CuO颗粒的还原.从图3 还可知, 样品Cu-Zr-Ce中的CuO可能以高度分散的CuO颗粒和在CeO2 晶格中替代掺杂和取代掺杂的CuO这两种形式.样品Co-Zr-Ce在300℃前后分别出现了两个TPR还原峰, 其中低于300℃的还原峰可以归属为和CeO2 发生相互作用Co3 O4 的还原, 而高于300℃的还原峰则可以归属为CoO被还原为Co的信号峰, 高于500℃出现的微弱还原峰可能对应CeO2 表面氧物种的还原[11 ] .样品Fe-Zr-Ce在400℃前后出现了两个非常接近TPR还原峰, 其位置和形态和文献[12 ] 报道的Fe/Ce复合氧化物非常接近, 可能是与CeO2 相作用的Fe2 O3 和Fe3 O4 的还原峰.样品V-Zr-Ce在550℃附近出现了一个显著的还原峰, 可能来自样品表面钒物种的还原[13 ] .该还原峰位置前移, 可能与V2 O5 和ZrO2 /CeO2 固溶体的相互作用有关.样品Mn-Zr-Ce在200-400℃出现了平缓的还原峰, 其相对位置和文献[14]报道的Mn/Ce二元氧化物的TPR还原峰很接近, 可能是Mn-O-Ce固溶体中Mn3+ 的还原和Mn3+ 与Ce4+ 协同作用导致的还原产生的还原峰.样品Cr-Zr-Ce在260-350℃出现了明显的还原峰, 与文献[15]报道的情况很类似, 可能源自固溶于CeO2 的Cr3+ 和Cr6+ 的还原.比较所有样品的TPR, 其氧化能力与SCR催化效果并没有直接的联系.样品Cu-Zr-Ce具有最强氧化能力, 但其SCR效果较差; 样品Mn-Zr-Ce的TPR曲线扁平, 但在低温下表现出了较好的SCR催化效果; 样品Fe-Zr-Ce和V-Zr-Ce在较高温度下才产生还原峰, 这一定程度上解释了这两个样品需要较高温度才能获得相对较好SCR效果的现象.虽然Cr-Zr-Ce的氧化能力一般, 但却在100-300℃之间都表现出了相对较好的SCR催化效果.由此可见, 样品SCR催化效果不但与其氧化能力相关, 也很可能与其表面酸位的强度和多少有关. ...
Structural, redox and acid-base properties of V2 O5 /CeO2 catalysts , Thermochimica.
1
2006
... 为了分析表征各样品的氧化能力, 对样品进行了H2 -TPR测试, 结果如图3 所示.由图3 可知, 样品Cu-Zr-Ce在150-220℃出现了显著的还原峰.Morettia[10 ] 对Cu/Ce复合氧化物在200℃附近的TPR峰进行了分析: 低于200℃的还原峰归属为高度分散的CuO的还原; 220℃还原峰归属为在CeO2 晶格中替代掺杂和取代掺杂的CuO的还原; 240℃附近的还原峰归属为单独的CuO颗粒的还原.从图3 还可知, 样品Cu-Zr-Ce中的CuO可能以高度分散的CuO颗粒和在CeO2 晶格中替代掺杂和取代掺杂的CuO这两种形式.样品Co-Zr-Ce在300℃前后分别出现了两个TPR还原峰, 其中低于300℃的还原峰可以归属为和CeO2 发生相互作用Co3 O4 的还原, 而高于300℃的还原峰则可以归属为CoO被还原为Co的信号峰, 高于500℃出现的微弱还原峰可能对应CeO2 表面氧物种的还原[11 ] .样品Fe-Zr-Ce在400℃前后出现了两个非常接近TPR还原峰, 其位置和形态和文献[12 ] 报道的Fe/Ce复合氧化物非常接近, 可能是与CeO2 相作用的Fe2 O3 和Fe3 O4 的还原峰.样品V-Zr-Ce在550℃附近出现了一个显著的还原峰, 可能来自样品表面钒物种的还原[13 ] .该还原峰位置前移, 可能与V2 O5 和ZrO2 /CeO2 固溶体的相互作用有关.样品Mn-Zr-Ce在200-400℃出现了平缓的还原峰, 其相对位置和文献[14]报道的Mn/Ce二元氧化物的TPR还原峰很接近, 可能是Mn-O-Ce固溶体中Mn3+ 的还原和Mn3+ 与Ce4+ 协同作用导致的还原产生的还原峰.样品Cr-Zr-Ce在260-350℃出现了明显的还原峰, 与文献[15]报道的情况很类似, 可能源自固溶于CeO2 的Cr3+ 和Cr6+ 的还原.比较所有样品的TPR, 其氧化能力与SCR催化效果并没有直接的联系.样品Cu-Zr-Ce具有最强氧化能力, 但其SCR效果较差; 样品Mn-Zr-Ce的TPR曲线扁平, 但在低温下表现出了较好的SCR催化效果; 样品Fe-Zr-Ce和V-Zr-Ce在较高温度下才产生还原峰, 这一定程度上解释了这两个样品需要较高温度才能获得相对较好SCR效果的现象.虽然Cr-Zr-Ce的氧化能力一般, 但却在100-300℃之间都表现出了相对较好的SCR催化效果.由此可见, 样品SCR催化效果不但与其氧化能力相关, 也很可能与其表面酸位的强度和多少有关. ...
CrOx-CeO2 binary oxide as a superior catalyst for NO reduction with NH3 at low temperature in presence of CO
0
2010
Novel V2 O5 -CeO2 /TiO2 catalyst with low vanadium loading for the selective catalytic reduction of NOx by NH3
1
2014
... 为了分析表征的表面酸位, 对样品进行了NH3 -TPD测试, 分析结果如图4 所示.由图4 可知, 多孔二氧化硅载体在110℃处有明显的氨脱附峰.其原因是, 高比表面的二氧化硅小球载体具有一定的表面弱酸位, 可对氨产生一定的弱吸附.样品Cu-Zr-Ce除了110℃左右二氧化硅载体的脱附峰外, 可能在180℃和290℃附近出现了两个脱附峰, 前者导致二氧化硅载体的脱附峰尾部上扬并与之合并呈现出平台状, 可见该样品中Cu,Zr和Ce三元氧化物导致了弱酸位和中强酸位.Co-Zr-Ce,Fe-Zr-Ce和Mn-Zr-Ce三个样品的NH3 -TPD图线非常类似, 在110℃附近的二氧化硅载体脱附峰被后续的脱附信号所影响而出现了平台, 一直延伸至400℃左右(Fe-Zr-Ce和Co-Zr-Ce)和350℃左右(Mn-Zr-Ce), 其中Mn-Zr-Ce样品在300℃左右的平台高度略高, 相对应的中强酸位数量略多.V-Zr-Ce样品的NH3 -TPD图线只在120℃左右出现了一个明显的脱附峰, 强度较高且有拖尾.这可能是V,Zr,Ce的三元复合氧化物在150-300℃附近产生的脱附信号[16 ] 与二氧化硅载体的脱附信号叠加的结果, 其峰强明显高于Mn-Zr-Ce,Fe-Zr-Ce,Co-Zr-Ce和Cu-Zr-Ce各样品.样品Cr-Zr-Ce的NH3 -TPD图线比较特别: 在120℃和270℃附近出现了两个脱附峰, 强度均很高.这说明, 该样品在弱酸(<230℃)和中强酸(230℃-370℃)范围内均有丰富的酸位.这可能源自铬氧化物偏酸性的化学特性, 也可能和Zr/Ce二元氧化物与铬氧化物的相互作用有关.综合以上结果, 酸性位点的丰富程度和相对强弱对SCR催化效果具有一定的影响.样品Cr-Zr-Ce具备弱酸和中强酸位, 且酸性位点数量较多, 因此在100-300℃均有比较稳定的SCR催化效果.酸性位点以结合NH3 分子的方式促进SCR反应的进行, 其结合方式有离子型结合(形成NH4 + )和形成络合物两种方式, 分别对应于强酸性位点和弱酸性位点, 这也导致了进一步SCR反应的不同机理和途径. ...
An XPS study of the electronic structure of the ZnxCd1-xCr2(X = S, Se) spinel system, J Phys. Chem.
1
1989
... 为了分析表征样品中活性组分的价态和结合方式, 对各样品进行了XPS分析, 主要分析各种过渡金属氧化物的状态和样品中CeO2 的存在形式, 结果如图5 和6所示.图5 给出了6种过渡金属元素的2p结合能谱图.由图5 a可知, 样品Cr-Zr-Ce的铬氧化物主要以Cr(III)和Cr(VI)两种状态存在, 其中586.4 eV和577.2 eV附近的结合能峰可以归属于Cr(III)的2p1/2 和2p3/2 结合能[17 , 18 ] , 而588.7 eV和579.7 eV附近的结合能峰可归属于Cr(VI)的2p1/2 和2p3/2 结合能[19 , 20 ] .III价和VI价的结合能峰面积各占70.7%和29.3%, 表明材料的表面元素中Cr(VI)占有一定的比例, 这也解释了该样品在NH3 -TPD测试中表现出了较多的弱酸和中强酸位点.Cr(III)和Cr(VI)两种氧化态共存也许是该样品具有较好SCR催化性能的原因, 而Cr(VI)的产生可能与Zr/Ce氧化物显著的储氧和供氧能力有关.由图5 b可知, 样品Co-Zr-Ce中的钴氧化物主要以Co(III)和少量Co(II)的状态存在, 其2p1/2 和2p3/2 结合能分别在795.9 eV,780.7 eV和796.5 eV,782.7 eV[21 -23 ] 附近.样品Cu-Zr-Ce的XPS分析结果表明, Cu主要以CuO的形式存在, 其他价态的Cu氧化物在表面元素中几乎不可见, 可能也是由于Zr/Ce二元氧化物显著的储氧和供氧能力限制了低价Cu氧化物(Cu2 O)的产生.由图5 d可知, 样品Fe-Zr-Ce的铁元素主要以Fe2 O3 和少量Fe3 O4 的形式存在[24 ] .而Mn-Zr-Ce样品中Mn元素则主要以MnO2 和少量的Mn3 O4 的形式存在[25 ] .样品V-Zr-Ce的V元素XPS如图5 f所示, 可见V元素主要以V2 O5 和V2 O3 两种价态存在, 其2p3/2 结合能分别在518.3 eV和517.2 eV[26 , 27 ] 附近.以上结果表明, Zr/Ce氧化物掺杂的过渡金属元素主要以较高价态的氧化物的形式存在, 而高价的Cr(VI)可能是样品Cr-Zr-Ce具有较多中强酸性位点的原因. ...
Tomlinson, Surface chemistry of chromia-pillared tin and zirconium phosphate materials: an X-ray photoelectron spectroscopic study, J
1
1992
... 为了分析表征样品中活性组分的价态和结合方式, 对各样品进行了XPS分析, 主要分析各种过渡金属氧化物的状态和样品中CeO2 的存在形式, 结果如图5 和6所示.图5 给出了6种过渡金属元素的2p结合能谱图.由图5 a可知, 样品Cr-Zr-Ce的铬氧化物主要以Cr(III)和Cr(VI)两种状态存在, 其中586.4 eV和577.2 eV附近的结合能峰可以归属于Cr(III)的2p1/2 和2p3/2 结合能[17 , 18 ] , 而588.7 eV和579.7 eV附近的结合能峰可归属于Cr(VI)的2p1/2 和2p3/2 结合能[19 , 20 ] .III价和VI价的结合能峰面积各占70.7%和29.3%, 表明材料的表面元素中Cr(VI)占有一定的比例, 这也解释了该样品在NH3 -TPD测试中表现出了较多的弱酸和中强酸位点.Cr(III)和Cr(VI)两种氧化态共存也许是该样品具有较好SCR催化性能的原因, 而Cr(VI)的产生可能与Zr/Ce氧化物显著的储氧和供氧能力有关.由图5 b可知, 样品Co-Zr-Ce中的钴氧化物主要以Co(III)和少量Co(II)的状态存在, 其2p1/2 和2p3/2 结合能分别在795.9 eV,780.7 eV和796.5 eV,782.7 eV[21 -23 ] 附近.样品Cu-Zr-Ce的XPS分析结果表明, Cu主要以CuO的形式存在, 其他价态的Cu氧化物在表面元素中几乎不可见, 可能也是由于Zr/Ce二元氧化物显著的储氧和供氧能力限制了低价Cu氧化物(Cu2 O)的产生.由图5 d可知, 样品Fe-Zr-Ce的铁元素主要以Fe2 O3 和少量Fe3 O4 的形式存在[24 ] .而Mn-Zr-Ce样品中Mn元素则主要以MnO2 和少量的Mn3 O4 的形式存在[25 ] .样品V-Zr-Ce的V元素XPS如图5 f所示, 可见V元素主要以V2 O5 和V2 O3 两种价态存在, 其2p3/2 结合能分别在518.3 eV和517.2 eV[26 , 27 ] 附近.以上结果表明, Zr/Ce氧化物掺杂的过渡金属元素主要以较高价态的氧化物的形式存在, 而高价的Cr(VI)可能是样品Cr-Zr-Ce具有较多中强酸性位点的原因. ...
An x-ray photoelectron spectroscopic study of some chromium-oxygen systems
1
1988
... 为了分析表征样品中活性组分的价态和结合方式, 对各样品进行了XPS分析, 主要分析各种过渡金属氧化物的状态和样品中CeO2 的存在形式, 结果如图5 和6所示.图5 给出了6种过渡金属元素的2p结合能谱图.由图5 a可知, 样品Cr-Zr-Ce的铬氧化物主要以Cr(III)和Cr(VI)两种状态存在, 其中586.4 eV和577.2 eV附近的结合能峰可以归属于Cr(III)的2p1/2 和2p3/2 结合能[17 , 18 ] , 而588.7 eV和579.7 eV附近的结合能峰可归属于Cr(VI)的2p1/2 和2p3/2 结合能[19 , 20 ] .III价和VI价的结合能峰面积各占70.7%和29.3%, 表明材料的表面元素中Cr(VI)占有一定的比例, 这也解释了该样品在NH3 -TPD测试中表现出了较多的弱酸和中强酸位点.Cr(III)和Cr(VI)两种氧化态共存也许是该样品具有较好SCR催化性能的原因, 而Cr(VI)的产生可能与Zr/Ce氧化物显著的储氧和供氧能力有关.由图5 b可知, 样品Co-Zr-Ce中的钴氧化物主要以Co(III)和少量Co(II)的状态存在, 其2p1/2 和2p3/2 结合能分别在795.9 eV,780.7 eV和796.5 eV,782.7 eV[21 -23 ] 附近.样品Cu-Zr-Ce的XPS分析结果表明, Cu主要以CuO的形式存在, 其他价态的Cu氧化物在表面元素中几乎不可见, 可能也是由于Zr/Ce二元氧化物显著的储氧和供氧能力限制了低价Cu氧化物(Cu2 O)的产生.由图5 d可知, 样品Fe-Zr-Ce的铁元素主要以Fe2 O3 和少量Fe3 O4 的形式存在[24 ] .而Mn-Zr-Ce样品中Mn元素则主要以MnO2 和少量的Mn3 O4 的形式存在[25 ] .样品V-Zr-Ce的V元素XPS如图5 f所示, 可见V元素主要以V2 O5 和V2 O3 两种价态存在, 其2p3/2 结合能分别在518.3 eV和517.2 eV[26 , 27 ] 附近.以上结果表明, Zr/Ce氧化物掺杂的过渡金属元素主要以较高价态的氧化物的形式存在, 而高价的Cr(VI)可能是样品Cr-Zr-Ce具有较多中强酸性位点的原因. ...
Characterization of chromia/alumina catalysts by X-ray photoelectron spectroscopy, proton induced X-ray emission and thermogravimetric analysis , Appl. Catal.
1
1995
... 为了分析表征样品中活性组分的价态和结合方式, 对各样品进行了XPS分析, 主要分析各种过渡金属氧化物的状态和样品中CeO2 的存在形式, 结果如图5 和6所示.图5 给出了6种过渡金属元素的2p结合能谱图.由图5 a可知, 样品Cr-Zr-Ce的铬氧化物主要以Cr(III)和Cr(VI)两种状态存在, 其中586.4 eV和577.2 eV附近的结合能峰可以归属于Cr(III)的2p1/2 和2p3/2 结合能[17 , 18 ] , 而588.7 eV和579.7 eV附近的结合能峰可归属于Cr(VI)的2p1/2 和2p3/2 结合能[19 , 20 ] .III价和VI价的结合能峰面积各占70.7%和29.3%, 表明材料的表面元素中Cr(VI)占有一定的比例, 这也解释了该样品在NH3 -TPD测试中表现出了较多的弱酸和中强酸位点.Cr(III)和Cr(VI)两种氧化态共存也许是该样品具有较好SCR催化性能的原因, 而Cr(VI)的产生可能与Zr/Ce氧化物显著的储氧和供氧能力有关.由图5 b可知, 样品Co-Zr-Ce中的钴氧化物主要以Co(III)和少量Co(II)的状态存在, 其2p1/2 和2p3/2 结合能分别在795.9 eV,780.7 eV和796.5 eV,782.7 eV[21 -23 ] 附近.样品Cu-Zr-Ce的XPS分析结果表明, Cu主要以CuO的形式存在, 其他价态的Cu氧化物在表面元素中几乎不可见, 可能也是由于Zr/Ce二元氧化物显著的储氧和供氧能力限制了低价Cu氧化物(Cu2 O)的产生.由图5 d可知, 样品Fe-Zr-Ce的铁元素主要以Fe2 O3 和少量Fe3 O4 的形式存在[24 ] .而Mn-Zr-Ce样品中Mn元素则主要以MnO2 和少量的Mn3 O4 的形式存在[25 ] .样品V-Zr-Ce的V元素XPS如图5 f所示, 可见V元素主要以V2 O5 和V2 O3 两种价态存在, 其2p3/2 结合能分别在518.3 eV和517.2 eV[26 , 27 ] 附近.以上结果表明, Zr/Ce氧化物掺杂的过渡金属元素主要以较高价态的氧化物的形式存在, 而高价的Cr(VI)可能是样品Cr-Zr-Ce具有较多中强酸性位点的原因. ...
Sherwood, XPS studies of solvated metal atom dispersed (SMAD) catalysts
1
1991
... 为了分析表征样品中活性组分的价态和结合方式, 对各样品进行了XPS分析, 主要分析各种过渡金属氧化物的状态和样品中CeO2 的存在形式, 结果如图5 和6所示.图5 给出了6种过渡金属元素的2p结合能谱图.由图5 a可知, 样品Cr-Zr-Ce的铬氧化物主要以Cr(III)和Cr(VI)两种状态存在, 其中586.4 eV和577.2 eV附近的结合能峰可以归属于Cr(III)的2p1/2 和2p3/2 结合能[17 , 18 ] , 而588.7 eV和579.7 eV附近的结合能峰可归属于Cr(VI)的2p1/2 和2p3/2 结合能[19 , 20 ] .III价和VI价的结合能峰面积各占70.7%和29.3%, 表明材料的表面元素中Cr(VI)占有一定的比例, 这也解释了该样品在NH3 -TPD测试中表现出了较多的弱酸和中强酸位点.Cr(III)和Cr(VI)两种氧化态共存也许是该样品具有较好SCR催化性能的原因, 而Cr(VI)的产生可能与Zr/Ce氧化物显著的储氧和供氧能力有关.由图5 b可知, 样品Co-Zr-Ce中的钴氧化物主要以Co(III)和少量Co(II)的状态存在, 其2p1/2 和2p3/2 结合能分别在795.9 eV,780.7 eV和796.5 eV,782.7 eV[21 -23 ] 附近.样品Cu-Zr-Ce的XPS分析结果表明, Cu主要以CuO的形式存在, 其他价态的Cu氧化物在表面元素中几乎不可见, 可能也是由于Zr/Ce二元氧化物显著的储氧和供氧能力限制了低价Cu氧化物(Cu2 O)的产生.由图5 d可知, 样品Fe-Zr-Ce的铁元素主要以Fe2 O3 和少量Fe3 O4 的形式存在[24 ] .而Mn-Zr-Ce样品中Mn元素则主要以MnO2 和少量的Mn3 O4 的形式存在[25 ] .样品V-Zr-Ce的V元素XPS如图5 f所示, 可见V元素主要以V2 O5 和V2 O3 两种价态存在, 其2p3/2 结合能分别在518.3 eV和517.2 eV[26 , 27 ] 附近.以上结果表明, Zr/Ce氧化物掺杂的过渡金属元素主要以较高价态的氧化物的形式存在, 而高价的Cr(VI)可能是样品Cr-Zr-Ce具有较多中强酸性位点的原因. ...
Spectroscopic and Morphological Investigation of Co3 O4 Microfibers Produced by Electrospinning Process
0
2012
D'huysser, Influence de la polarisation des liaisons sur les spectres esca des oxydes de cobalt
1
1975
... 为了分析表征样品中活性组分的价态和结合方式, 对各样品进行了XPS分析, 主要分析各种过渡金属氧化物的状态和样品中CeO2 的存在形式, 结果如图5 和6所示.图5 给出了6种过渡金属元素的2p结合能谱图.由图5 a可知, 样品Cr-Zr-Ce的铬氧化物主要以Cr(III)和Cr(VI)两种状态存在, 其中586.4 eV和577.2 eV附近的结合能峰可以归属于Cr(III)的2p1/2 和2p3/2 结合能[17 , 18 ] , 而588.7 eV和579.7 eV附近的结合能峰可归属于Cr(VI)的2p1/2 和2p3/2 结合能[19 , 20 ] .III价和VI价的结合能峰面积各占70.7%和29.3%, 表明材料的表面元素中Cr(VI)占有一定的比例, 这也解释了该样品在NH3 -TPD测试中表现出了较多的弱酸和中强酸位点.Cr(III)和Cr(VI)两种氧化态共存也许是该样品具有较好SCR催化性能的原因, 而Cr(VI)的产生可能与Zr/Ce氧化物显著的储氧和供氧能力有关.由图5 b可知, 样品Co-Zr-Ce中的钴氧化物主要以Co(III)和少量Co(II)的状态存在, 其2p1/2 和2p3/2 结合能分别在795.9 eV,780.7 eV和796.5 eV,782.7 eV[21 -23 ] 附近.样品Cu-Zr-Ce的XPS分析结果表明, Cu主要以CuO的形式存在, 其他价态的Cu氧化物在表面元素中几乎不可见, 可能也是由于Zr/Ce二元氧化物显著的储氧和供氧能力限制了低价Cu氧化物(Cu2 O)的产生.由图5 d可知, 样品Fe-Zr-Ce的铁元素主要以Fe2 O3 和少量Fe3 O4 的形式存在[24 ] .而Mn-Zr-Ce样品中Mn元素则主要以MnO2 和少量的Mn3 O4 的形式存在[25 ] .样品V-Zr-Ce的V元素XPS如图5 f所示, 可见V元素主要以V2 O5 和V2 O3 两种价态存在, 其2p3/2 结合能分别在518.3 eV和517.2 eV[26 , 27 ] 附近.以上结果表明, Zr/Ce氧化物掺杂的过渡金属元素主要以较高价态的氧化物的形式存在, 而高价的Cr(VI)可能是样品Cr-Zr-Ce具有较多中强酸性位点的原因. ...
Analysis of XPS spectra of Fe2 + and Fe3 + ions in oxide materials
1
2008
... 为了分析表征样品中活性组分的价态和结合方式, 对各样品进行了XPS分析, 主要分析各种过渡金属氧化物的状态和样品中CeO2 的存在形式, 结果如图5 和6所示.图5 给出了6种过渡金属元素的2p结合能谱图.由图5 a可知, 样品Cr-Zr-Ce的铬氧化物主要以Cr(III)和Cr(VI)两种状态存在, 其中586.4 eV和577.2 eV附近的结合能峰可以归属于Cr(III)的2p1/2 和2p3/2 结合能[17 , 18 ] , 而588.7 eV和579.7 eV附近的结合能峰可归属于Cr(VI)的2p1/2 和2p3/2 结合能[19 , 20 ] .III价和VI价的结合能峰面积各占70.7%和29.3%, 表明材料的表面元素中Cr(VI)占有一定的比例, 这也解释了该样品在NH3 -TPD测试中表现出了较多的弱酸和中强酸位点.Cr(III)和Cr(VI)两种氧化态共存也许是该样品具有较好SCR催化性能的原因, 而Cr(VI)的产生可能与Zr/Ce氧化物显著的储氧和供氧能力有关.由图5 b可知, 样品Co-Zr-Ce中的钴氧化物主要以Co(III)和少量Co(II)的状态存在, 其2p1/2 和2p3/2 结合能分别在795.9 eV,780.7 eV和796.5 eV,782.7 eV[21 -23 ] 附近.样品Cu-Zr-Ce的XPS分析结果表明, Cu主要以CuO的形式存在, 其他价态的Cu氧化物在表面元素中几乎不可见, 可能也是由于Zr/Ce二元氧化物显著的储氧和供氧能力限制了低价Cu氧化物(Cu2 O)的产生.由图5 d可知, 样品Fe-Zr-Ce的铁元素主要以Fe2 O3 和少量Fe3 O4 的形式存在[24 ] .而Mn-Zr-Ce样品中Mn元素则主要以MnO2 和少量的Mn3 O4 的形式存在[25 ] .样品V-Zr-Ce的V元素XPS如图5 f所示, 可见V元素主要以V2 O5 和V2 O3 两种价态存在, 其2p3/2 结合能分别在518.3 eV和517.2 eV[26 , 27 ] 附近.以上结果表明, Zr/Ce氧化物掺杂的过渡金属元素主要以较高价态的氧化物的形式存在, 而高价的Cr(VI)可能是样品Cr-Zr-Ce具有较多中强酸性位点的原因. ...
A study of a number of mixed transition metal oxide spinels using X-ray photoelectron spectroscopy
1
1989
... 为了分析表征样品中活性组分的价态和结合方式, 对各样品进行了XPS分析, 主要分析各种过渡金属氧化物的状态和样品中CeO2 的存在形式, 结果如图5 和6所示.图5 给出了6种过渡金属元素的2p结合能谱图.由图5 a可知, 样品Cr-Zr-Ce的铬氧化物主要以Cr(III)和Cr(VI)两种状态存在, 其中586.4 eV和577.2 eV附近的结合能峰可以归属于Cr(III)的2p1/2 和2p3/2 结合能[17 , 18 ] , 而588.7 eV和579.7 eV附近的结合能峰可归属于Cr(VI)的2p1/2 和2p3/2 结合能[19 , 20 ] .III价和VI价的结合能峰面积各占70.7%和29.3%, 表明材料的表面元素中Cr(VI)占有一定的比例, 这也解释了该样品在NH3 -TPD测试中表现出了较多的弱酸和中强酸位点.Cr(III)和Cr(VI)两种氧化态共存也许是该样品具有较好SCR催化性能的原因, 而Cr(VI)的产生可能与Zr/Ce氧化物显著的储氧和供氧能力有关.由图5 b可知, 样品Co-Zr-Ce中的钴氧化物主要以Co(III)和少量Co(II)的状态存在, 其2p1/2 和2p3/2 结合能分别在795.9 eV,780.7 eV和796.5 eV,782.7 eV[21 -23 ] 附近.样品Cu-Zr-Ce的XPS分析结果表明, Cu主要以CuO的形式存在, 其他价态的Cu氧化物在表面元素中几乎不可见, 可能也是由于Zr/Ce二元氧化物显著的储氧和供氧能力限制了低价Cu氧化物(Cu2 O)的产生.由图5 d可知, 样品Fe-Zr-Ce的铁元素主要以Fe2 O3 和少量Fe3 O4 的形式存在[24 ] .而Mn-Zr-Ce样品中Mn元素则主要以MnO2 和少量的Mn3 O4 的形式存在[25 ] .样品V-Zr-Ce的V元素XPS如图5 f所示, 可见V元素主要以V2 O5 和V2 O3 两种价态存在, 其2p3/2 结合能分别在518.3 eV和517.2 eV[26 , 27 ] 附近.以上结果表明, Zr/Ce氧化物掺杂的过渡金属元素主要以较高价态的氧化物的形式存在, 而高价的Cr(VI)可能是样品Cr-Zr-Ce具有较多中强酸性位点的原因. ...
Tan, Electrical and structural characterization of the xCuO: (1-x )V2 O5 ,
1
1992
... 为了分析表征样品中活性组分的价态和结合方式, 对各样品进行了XPS分析, 主要分析各种过渡金属氧化物的状态和样品中CeO2 的存在形式, 结果如图5 和6所示.图5 给出了6种过渡金属元素的2p结合能谱图.由图5 a可知, 样品Cr-Zr-Ce的铬氧化物主要以Cr(III)和Cr(VI)两种状态存在, 其中586.4 eV和577.2 eV附近的结合能峰可以归属于Cr(III)的2p1/2 和2p3/2 结合能[17 , 18 ] , 而588.7 eV和579.7 eV附近的结合能峰可归属于Cr(VI)的2p1/2 和2p3/2 结合能[19 , 20 ] .III价和VI价的结合能峰面积各占70.7%和29.3%, 表明材料的表面元素中Cr(VI)占有一定的比例, 这也解释了该样品在NH3 -TPD测试中表现出了较多的弱酸和中强酸位点.Cr(III)和Cr(VI)两种氧化态共存也许是该样品具有较好SCR催化性能的原因, 而Cr(VI)的产生可能与Zr/Ce氧化物显著的储氧和供氧能力有关.由图5 b可知, 样品Co-Zr-Ce中的钴氧化物主要以Co(III)和少量Co(II)的状态存在, 其2p1/2 和2p3/2 结合能分别在795.9 eV,780.7 eV和796.5 eV,782.7 eV[21 -23 ] 附近.样品Cu-Zr-Ce的XPS分析结果表明, Cu主要以CuO的形式存在, 其他价态的Cu氧化物在表面元素中几乎不可见, 可能也是由于Zr/Ce二元氧化物显著的储氧和供氧能力限制了低价Cu氧化物(Cu2 O)的产生.由图5 d可知, 样品Fe-Zr-Ce的铁元素主要以Fe2 O3 和少量Fe3 O4 的形式存在[24 ] .而Mn-Zr-Ce样品中Mn元素则主要以MnO2 和少量的Mn3 O4 的形式存在[25 ] .样品V-Zr-Ce的V元素XPS如图5 f所示, 可见V元素主要以V2 O5 和V2 O3 两种价态存在, 其2p3/2 结合能分别在518.3 eV和517.2 eV[26 , 27 ] 附近.以上结果表明, Zr/Ce氧化物掺杂的过渡金属元素主要以较高价态的氧化物的形式存在, 而高价的Cr(VI)可能是样品Cr-Zr-Ce具有较多中强酸性位点的原因. ...
ESCA and gravimetric reduction studies on V/Al2 O3 and V/SiO2 catalysts J
1
1990
... 为了分析表征样品中活性组分的价态和结合方式, 对各样品进行了XPS分析, 主要分析各种过渡金属氧化物的状态和样品中CeO2 的存在形式, 结果如图5 和6所示.图5 给出了6种过渡金属元素的2p结合能谱图.由图5 a可知, 样品Cr-Zr-Ce的铬氧化物主要以Cr(III)和Cr(VI)两种状态存在, 其中586.4 eV和577.2 eV附近的结合能峰可以归属于Cr(III)的2p1/2 和2p3/2 结合能[17 , 18 ] , 而588.7 eV和579.7 eV附近的结合能峰可归属于Cr(VI)的2p1/2 和2p3/2 结合能[19 , 20 ] .III价和VI价的结合能峰面积各占70.7%和29.3%, 表明材料的表面元素中Cr(VI)占有一定的比例, 这也解释了该样品在NH3 -TPD测试中表现出了较多的弱酸和中强酸位点.Cr(III)和Cr(VI)两种氧化态共存也许是该样品具有较好SCR催化性能的原因, 而Cr(VI)的产生可能与Zr/Ce氧化物显著的储氧和供氧能力有关.由图5 b可知, 样品Co-Zr-Ce中的钴氧化物主要以Co(III)和少量Co(II)的状态存在, 其2p1/2 和2p3/2 结合能分别在795.9 eV,780.7 eV和796.5 eV,782.7 eV[21 -23 ] 附近.样品Cu-Zr-Ce的XPS分析结果表明, Cu主要以CuO的形式存在, 其他价态的Cu氧化物在表面元素中几乎不可见, 可能也是由于Zr/Ce二元氧化物显著的储氧和供氧能力限制了低价Cu氧化物(Cu2 O)的产生.由图5 d可知, 样品Fe-Zr-Ce的铁元素主要以Fe2 O3 和少量Fe3 O4 的形式存在[24 ] .而Mn-Zr-Ce样品中Mn元素则主要以MnO2 和少量的Mn3 O4 的形式存在[25 ] .样品V-Zr-Ce的V元素XPS如图5 f所示, 可见V元素主要以V2 O5 和V2 O3 两种价态存在, 其2p3/2 结合能分别在518.3 eV和517.2 eV[26 , 27 ] 附近.以上结果表明, Zr/Ce氧化物掺杂的过渡金属元素主要以较高价态的氧化物的形式存在, 而高价的Cr(VI)可能是样品Cr-Zr-Ce具有较多中强酸性位点的原因. ...
NO reaction at surface oxygen vacancies generated in cerium oxide, J. Chem.Soc.
1
1995
... 为了表征样品中Ce元素的存在形式和价态, 对各样品的Ce3d XPS谱图进行了拟合和比较, 结果如图6 所示.其中IV1,IV2,IV3,IV4,IV5和IV6可以归属于Ce(IV)物种, 而III1和III2则可以归属于Ce(III)物种.由图6 可见, 各样品中Ce(III)的含量不同: Cr-Zr-Ce,V-Zr-Ce,Mn-Zr-Ce和Fe-Zr-Ce中的Ce(III)物种含量略高, 而Cu-Zr-Ce和Co-Zr-Ce中Ce(III)物种含量略低.Martínez[28 ] 认为Ce(III)对于SCR的反应有促进作用, 因为NOx 的还原过程会伴随着Ce(III)←→Ce(IV)的变价过程.从图6 还可见, 样品Cu-Zr-Ce和Co-Zr-Ce在所有温度范围内SCR效果较差, 可能与其Ce(III)物种含量略低有关.另外, XRD分析结果表明, 这两个样品中有单独的过渡金属氧化物相, 而其他样品中的过渡金属氧化物(除V-Zr-Ce外)则以固溶体的形式掺杂在CeO2 萤石相的晶格中.以固溶体形式存在的过渡金属氧化物可能对NOx 的催化还原有更好的效果, 因为这些金属氧化物以分子水平分散CeO2 晶格中, 使CeO2 表面产生了更多的活性氧和酸性位点, 这都有利于SCR反应的进行.样品Cr-V-Ce和V-Zr-Ce中Ce(III)的含量较高, 可能与其中过渡金属离子价态较高有关: 当Cr(VI)和V(V)固溶入铈氧化物时, 其较高的价态导致更多晶格氧与之结合, 使临近的Ce(IV)易于变价为Ce(III)并稳定存在.此外, 高价态的过渡金属元素和较多的Ce(III)可能共同促进了SCR反应的进行.因此, 本文使用的3种含有高价态过渡金属元素的样品Mn-Zr-Ce,V-Zr-Ce和Cr-Zr-Ce分别在低温段(<200℃),高温段(>250℃)和全温度段(100℃-300℃)有较好的催化效果. ...
Molecular structure and catalytic activity of V2 O5 /TiO2 catalysts for the SCR of NO by NH3 : In situ Raman spectra in the presence of O2 , NH3 , NO, H2 , H2 O, and SO2 , J
0
2006