Chinese Journal of Material Research  2015 , 29 (12): 948-954 https://doi.org/10.11901/1005.3093.2015.12.948

Orginal Article

TMCP工艺对高韧性X90管线钢组织性能的影响

牛涛1, 姜永文1, 李飞1, 朱国森1, 吴新朗2, 武军宽2

1. 首钢技术研究院 北京 100043
2. 首钢股份公司迁安钢铁公司 迁安 064404

Effect of Thermo-mechanical Control Processing on Microstructure and Properties of High Toughness X90 Pipeline Steel

NIU Tao1*, JIANG Yongwen1, LI Fei1, ZHU Guosen1, WU Xinlang2, WU Junkuan2

1. Shougang Research Institute of Technology, Beijing 100043, China
2. Shougang Qian'an Iron & Steel Co.Ltd, Qian'an 064404, China

文献标识码:  TG142

文章编号:  1005-3093(2015)12-0948-07

通讯作者:  *To whom correspondence should be addressed, Tel: 018601211054, E-mail: johnniu@126.com

收稿日期: 2015-01-20

网络出版日期:  2015-12-25

版权声明:  2015 《材料研究学报》编辑部 《材料研究学报》编辑部

展开

摘要

对高韧性X90管线钢进行实验室模拟轧制, 研究了TMCP的工艺参数加热温度、中间坯厚度和卷取温度对其综合力学性能和微观组织特征的影响。结果表明: 随着加热温度的提高强度先呈现上升趋势, 当加热温度达到1250℃左右时晶粒粗化严重, 强度显著下降; 中间坯厚度的增加有利于组织细化与均匀化, 从而提高钢板强度与韧性; 卷取温度对性能的影响最为显著, 在320℃左右卷取时可得到粒状贝氏体+板条贝氏体组织, 强韧性匹配达到最佳效果。结合实验室模拟参数进行了X90的工业试制, 钢卷在得到足够强度的同时具有优异的低温韧性。本文研究的TMCP工艺具有良好的实践效果。

关键词: 金属材料 ; 管线钢 ; X90 ; TMCP ; 组织 ; 性能

Abstract

Effect of the main TMCP parameters on mechanical properties and microstructure characteristics of X90 pipeline steel was investigated by a labroratory simulated TMPC with desired processing parameters, including reheating temperature, intermediate slab thickness and coiling temperature. Results show that the strength increases with the increment of reheating temperature at first, but dramatically reduces when the grain size gets coarse at reheating temperature of 1250℃. Thicker intermediate slab contributes to higher strength and toughness because of a homogenized microstructure with refined grains was brought out. Coiling temperature plays the most important role in controlling the steel property. A microstructure composed of proper combination of granular banite and lath banite of the steel with optimal matching of strength and toughness can be achieved when coiling at 320℃. An industrial production of X90 coil were carried out employing the parameters obtained through the investigation, high strength combined with great low temperature toughness has been achieved, which proves that TMCP technology in this study has a good practice effect.

Keywords: metallic materials ; pipeline steel ; X90 ; TMCP ; microstructure ; property

0

PDF (6434KB) 元数据 多维度评价 相关文章 收藏文章

本文引用格式 导出 EndNote Ris Bibtex

牛涛, 姜永文, 李飞, 朱国森, 吴新朗, 武军宽. TMCP工艺对高韧性X90管线钢组织性能的影响[J]. , 2015, 29(12): 948-954 https://doi.org/10.11901/1005.3093.2015.12.948

NIU Tao, JIANG Yongwen, LI Fei, ZHU Guosen, WU Xinlang, WU Junkuan. Effect of Thermo-mechanical Control Processing on Microstructure and Properties of High Toughness X90 Pipeline Steel[J]. Chinese Journal of Material Research, 2015, 29(12): 948-954 https://doi.org/10.11901/1005.3093.2015.12.948

作为石油天然气的一种经济安全高效和不间断长距离的输送方式, 油气管道输送在近40年取得了飞速的发展。使用高强度大口径管线管有利于提高天然气长输管道的输送能力, 降低管道综合运营成本, 因此X80以上级别高强韧性管线钢的研究成为管线钢发展的重要方向之一[1]。尽管X100、X120等超高强管线钢已有试验段应用, 但因其运行的安全性难以准确评估而未实现大批量工程应用[2~4]。相比之下, X90或可成为下一代高强管线钢的理想选择[5]

在对新一代X90管线钢的强度要求显著提高的同时, 为保证管道有足够的延性断裂止裂能力, 对其低温韧性的要求也十分苛刻。在2012年9月中石油启动的X90/X100研发项目中, 对高强度X90管线钢的-20℃冲击功要求提高到了295 J以上, 给X90高强韧性管线钢的开发带来很大难度。以往的研究主要针对X90管线钢的性能组织进行分析[6, 7], 但是加热温度、中间坯厚度、冷却制度等TMCP工艺的关键参数对显微组织和性能的研究得较少。本文在高强韧性X90工业冶炼铸坯上取样并对其进行实验室模拟轧制, 研究TMCP关键工艺参数对其组织和性能的影响。

1 实验方法

用转炉、精炼和真空脱气工艺冶炼X90铸坯, 从其上截取试验材料。试验材料的主要化学成分(质量分数)为: C: 0.05%; Si: 0.20%; Mn: 1.95%; P: 0.010%; S: 0.0008%; Nb: 0.09%; (Ni+Cr+Mo+Ti)<1.0%, Fe余量。

实验室模拟轧制样坯的尺寸为: 150 mm(厚度)×200 mm (横向)×200 mm(长度)。针对不同加热温度、卷取温度以及中间坯厚度进行TMCP工艺模拟轧制, 最终轧件的厚度规格为16.3 mm。具体试验方案列于表1

表1   试验方案

Table 1   Experimental technology parameters

No.Reheating temperature
/℃
Reheating time
/min
Intermediate slab thickness
/mm
Finishing rolling temperature
/℃
Coiling temperature
/℃
1#121018036810460
2#121018036810320
3#121018036810100
4#118018036810320
5#125018036810320
6#121018032810320

新窗口打开

由于实验室轧机轧制钢板宽度有限, 试验结束后沿轧制方向取API棒状拉伸试样进行拉伸性能检测, 并进行横向系列温度冲击性能检测。冲击试验温度分别为-20℃、-40℃和-60℃。此外, 沿钢板横截面取样经过砂纸打磨并机械抛光, 制成金相试样。用4%硝酸酒精溶液浸蚀组织。用JSM7001F场发射扫描电镜(SEM)观察其显微组织。用标准方法制备双喷减薄试样, 用JEM-2100F(HR)透射电镜(TEM)观察其微观结构。

2 结果和分析

2.1 加热温度对组织性能的影响

图1给出了加热温度对性能的影响。可以看出, 随着加热温度的提高屈服强度和抗拉强度均呈现先上升后下降的趋势; 屈服强度与抗拉强度在加热温度1210℃时最高, 在1180℃时次之, 在1250℃加热时强度降低明显; 随着加热温度的升高屈强比逐渐降低; 在-20℃三个加热温度的冲击功基本相同, 但是在1180℃加热时韧脆转变温度明显偏高, 而在1250℃加热时-60℃冲击功依然较高; 随着加热温度的提高均匀伸长率逐渐降低, 但是由于其整体均匀延伸率均在2.5%-3.5%的范围内变化幅度不大。

图1   加热温度对力学性能的影响

Fig.1   Effect of reheating temperature on mechanical properties (a) strength, (b) Y/T ratio, (c) Akv2, (d) elongation

图2给出了不同加热温度的组织对比。可以看出, 当采用1180℃/1210℃加热时其组织的细化程度差别不大, 但当加热温度提高至1250℃后组织发生了显著的粗化。这可能是强度降低的主要原因之一。在组织类型方面, 当加热温度较低时原始奥氏体晶粒尺寸比较细小, 为形核点的提高提供了良好的基础, 相变点提高, 容易得到较高温度下转变的粒状贝氏体等组织; 而当加热温度较高时奥氏体粗化使其稳定性提高, 最终组织中板条贝氏体的比例有所上升。

图2   加热温度对组织的影响

Fig.2   Effect of reheating temperature on microstructure (a) 1250℃, (b) 1210℃, (c) 1180℃

图3   中间坯厚度对组织的影响

Fig.3   Effct of intermediate billet thickness on microstructure (a) 36 mm, (b) 32 mm

图4   卷取温度对力学性能的影响

Fig.4   Effect of coiling temperature on mechanical properties (a) strength, (b) Y/T ratio, (c) Akv2, (d) elongation

加热温度直接影响到钢的原始奥氏体晶粒尺寸和所加入微合金元素的固溶, 进而对随后轧制过程中的奥氏体再结晶晶粒尺寸及碳氮化物的析出状态和数量产生影响, 最终将影响到热轧卷板的综合性能。本文在高强韧性X90管线钢的成分设计中添加了较高含量的Nb。研究表明, Nb含量增加提高了其完全固溶温度, 且在温降过程中Nb析出量显著增多, 在晶界两边析出的细小碳氮化物对奥氏体晶粒长大有显著的阻碍作用, 当加热温度达到1250℃时奥氏体晶粒才显著粗化[8]。因此, 为了提高钢卷的强度及冲击功的稳定性, 采取1210℃左右的加热温度是合理的。

2.2 中间坯厚度对组织性能的影响

表2可以看出, 采用厚规格中间坯时Rp0.2提高了23 MPa, Rm基本不变, 屈强比提高了0.02, 但整体屈强比仍然处于较低的范围。由实验结果可以看出, 中间坯厚度增大有利于冲击功的提升, 但是对伸长率的影响总体不明显。

表2   不同中间坯厚度性能对比

Table 2   Comparasion of Properties obtained with different intermidiate slab thickness

No.Intermediate slab thickness
/mm
Rp0.2
/MPa
Rm
/MPa
Auel
/%
A50.8
/%
Rp0.2/RmAkv2/J
-20℃-40℃-60℃
5#3684510033.324.80.84265261171
6#3282210053.324.20.82193204166

新窗口打开

图11可以看出, 采用不同厚度的中间坯对组织类型的影响比较明显。在较低的中间坯厚度的情况下, 组织中准多边形铁素体以及粒状贝氏体比例提高, 板条贝氏体比例降低; 同时, 随着中间坯厚度的增加组织均匀性得到了一定改善。

奥氏体变形将增大相变驱动力与形核驱动力, 从而促使相变的发生。同时, 变形拉长奥氏体晶粒, 使晶界有效面积增加, 形成大量的形变带, 增加了相变形核点, 两者都提高了铁素体的形核率, 因而促进了最终组织的细化与均匀化, 有利于强度与韧性的提高。因此, 在现场工艺条件允许的情况下应采用较高的中间坯厚度。

2.3 卷取温度对组织性能的影响

图12可以看出, 相比加热温度和中间坯厚度, 卷取温度对力学性能的影响更加明显。随着卷取温度的降低屈服强度与抗拉强度上升明显, 在100℃时达到最高值; 随着卷取温度的降低屈强比逐渐降低; 随着卷取温度降低冲击功也呈现降低的趋势, 尤其是在100℃卷取时冲击功随温度的降低下降十分明显; 随着卷取温度的降低断后伸长率呈现降低的趋势, 材料的塑性有所下降。

由不同卷取温度下的组织(图5)对比表明, 卷取温度较高时组织为针状铁素体+粒状贝氏体为主; 随着卷取温度的下降组织中板条贝氏体比例增加; 在100℃左右卷取时组织类型以板条贝氏体+马氏体组织为主。这种组织类型与工业试制结果有一定差异, 主要是中试基地试样尺寸小散热快、试制期间冷却水温较低, 冷却效果远大于现场条件造成的。

图5   卷取温度对组织的影响

Fig.5   Effect of coiling temperature on microstructure (a) 460℃, (b) 320℃, (c) 100℃

3 讨论

随着高级别管线钢X90对强韧性综合要求的不断提升, 晶粒细化与均匀化程度成为组织控制的重中之重。通过上述试验研究可以发现, 合理的加热温度和中间坯厚度有利于最终组织的晶粒细化与均匀化。因此, 在保证合金元素充分固溶的基础上采用较低的加热温度, 保证晶粒不发生粗化, 以及采用尽可能较厚的中间坯厚度对高级别管线钢X90的生产是非常有必要的。

除了晶粒的细化与均匀化, X90管线钢的力学性能变化与组织中不同类型贝氏体的含量有密切的关系。在较高的终冷温度组织以粒状贝氏体+针状铁素体为主, 如图6所示, 粒状贝氏体的形成温度稍高, 且位错密度相对略低, 晶界相互交错现象十分明显, 在晶界的交汇处分布着球状的M/A组元, 奥氏体良好的延展性也为裂纹的扩展提供了更多的阻碍, 因此整体性能表现出强度略低但低温韧性良好。如图7所示, 相对而言, 在低温卷取条件下得到的组织中, 板条贝氏体的特征十分明显。由于形成温度低, 板条铁素体宽度只有0.2 μm左右, 且内部大量高密度位错为强度提供了很大贡献, 使得抗拉强度显著提高。但是同时板条束之间还存在薄膜状的残余奥氏体组织, 易发生屈服的残余奥氏体组织使得材料的屈强比显著降低。但是同时平行排列的铁素体板条却增大了位错运动的阻力, 限制了位错的滑移, 使板条贝氏体钢的塑性降低。此外, 由于板条贝氏体钢板中的M/A岛颗粒排列趋于直线, 容易成为裂纹扩展的路径而导致钢的韧性降低。综上所述, 为了得到良好的强韧性匹配, 在X90超高强管线钢的组织控制中应采用适中的卷取温度, 从而达到不同类型贝氏体配比的精细控制。

图6   粒状贝氏体和M/A组元

Fig.6   Granular banite microstructure and M/A island (a) Granular banite, (b) M/A island

图7   板条贝氏体、位错及残余奥氏体的衍射斑

Fig.7   Lath banite microstructure, dislocations and residual austenite (a) Lath banite, (b) residual austenite, (c) diffraction spot

4 工业实践

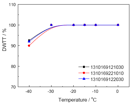
在上述研究及分析的基础上, 在首钢迁钢2250热连轧产线上进行了X90管线钢的试制, 采用的主要TMCP工艺参数为包括, 加热温度: 1200-1220℃; 中间坯厚度: 54-58 mm; 卷取温度: 280℃-360℃。由表3中的综合力学性能可以看出, 通过工艺优化, 工业试制的X90屈服强度相比标准要求的625 MPa富余量并不大。其主要原因是, 随着钢级的提高材料加工硬化能力增强, 制管后的强度上升幅度较大。因此, 为了保证钢管的屈强比, 将钢卷的屈服强度控制在偏下限的范围更有利于钢管性能的保证。在低温韧性方面, 由图8中系列温度下的冲击功可以看出, 试制的X90高强度级别管线钢的低温韧性优异, 钢卷在-60℃下仍能保证300 J以上的冲击功。同时, 在-40℃时其DWTT性能仍能保证在90%以上, 如图9所示。

表3   工业试制X90的力学性能

Table 3   Mechanical properties of indurstrial produced X90 pipeline steel

Coil No.Rp0.2
MPa
Rm
MPa
A50.8
%
Y/TAkv2(-20℃)
J
HV10DWTT(-15℃)
%
1310169121030635740210.86374262100
1310169121030630775150.82373261100
1310169221010640790170.81387262100
Standard625~775695~915≥14.2≤0.95≥295≤285≥85

新窗口打开

图8   系列温度冲击性能

Fig.8   Impacting toughness at serial test temperatures

图9   系列温度DWTT性能

Fig.9   DWTT toughness at serial test temperatures

5 结论

1. 在保证合金元素充分固溶的基础上采用较低的加热温度, 可保证晶粒不发生粗化, 使用尽可能厚的中间坯厚度是高级别管线钢X90强韧性的基本保证。

2. 卷取温度对组织性能的影响最为明显, 卷取温度为320℃可得到粒状贝氏体+板条贝氏体混合的理想组织, 实现良好的强韧性匹配。

3. 本文提出的TMCP工艺优化, 最终的钢卷在具备高强度的同时-60℃下仍能保证300 J以上的冲击功, -40℃时其DWTT性能仍能保证在90%以上, 具有优异的低温韧性。

The authors have declared that no competing interests exist.


/