三明治结构复合薄膜的制备及其阻燃与电磁屏蔽性能研究 |
| 刘金玲, 张艳, 戚栋明, 虞一浩 |
|
Preparation and Performance of Flame-retardant Electromagnetic Shielding Composite Films of Sandwich Structure |
| LIU Jinling, ZHANG Yan, QI Dongming, YU Yihao |
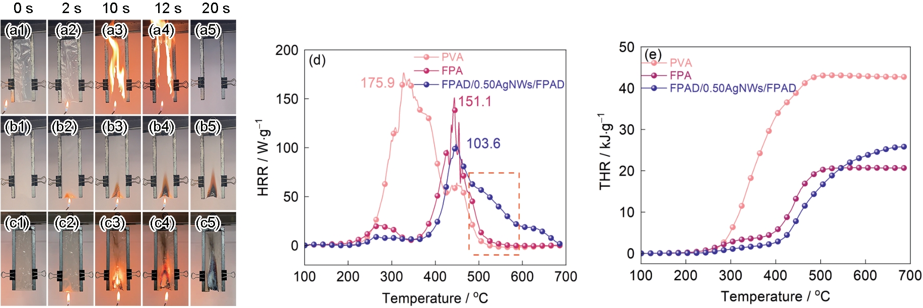
| 图8 PVA、FPA和FPAD/0.5AgNWs/FPAD的垂直燃烧图像,以及HRR和THR曲线 |
| Fig.8 Vertical combustion test results for PVA (a1-a5), FPA (b1-b5), and FPAD/0.5AgNWs/FPAD (c1-c5), respectively, and HRR (d) and THR (e) curves of PVA, FPA, FPAD/0.50AgNWs/FPAD |
|