9310钢热变形过程中的流动软化和应变硬化的竞争 |
| 李佳俊, 徐勇, 涂泽立, 黄龙, 魏科, 董显娟 |
|
Competition between Flow Softening and Strain Hardening during Thermal Deformation of 9310 Steel |
| LI Jiajun, XU Yong, TU Zeli, HUANG Long, WEI Ke, DONG Xianjuan |
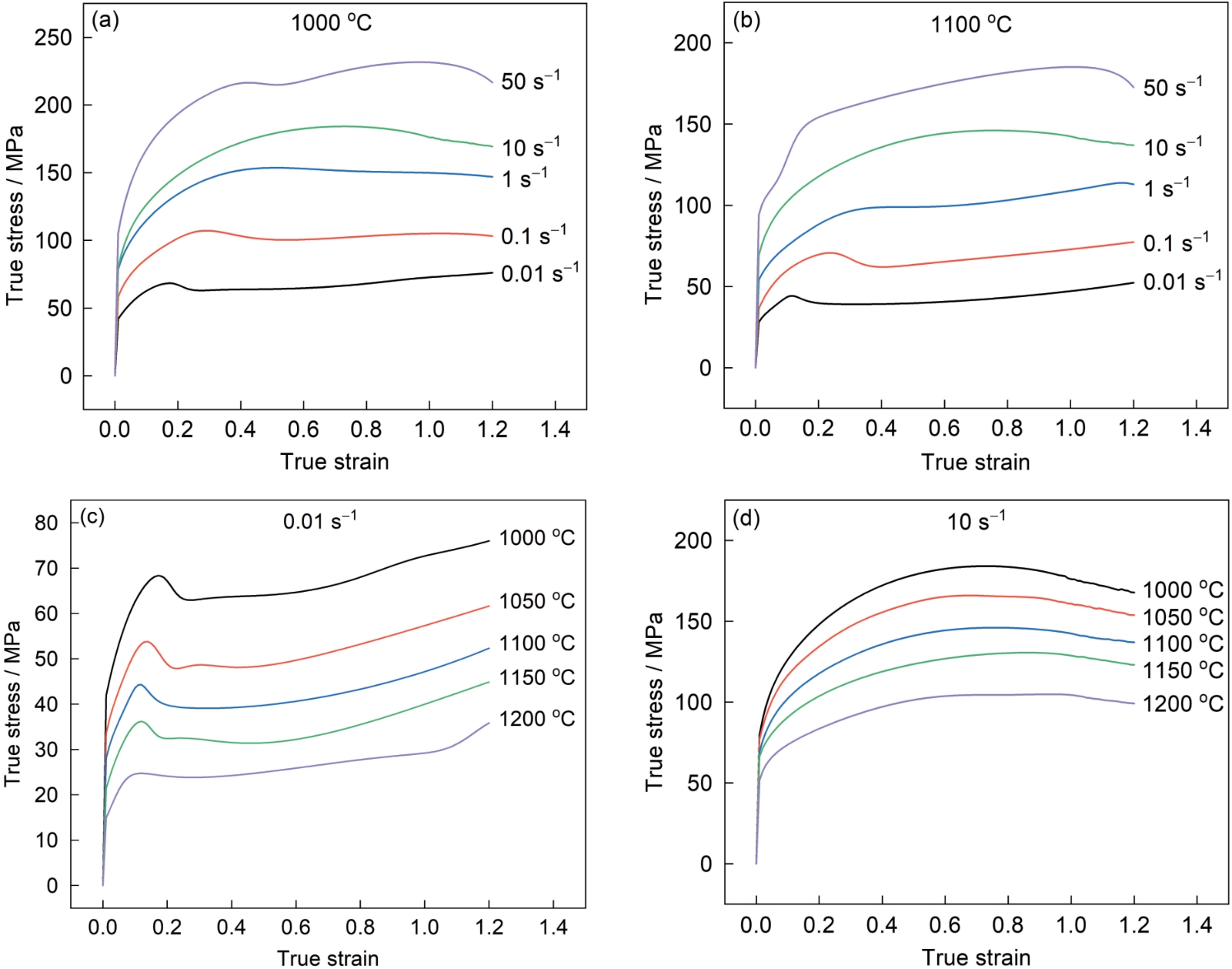
| 图3 9310钢的应力-应变曲线 |
| Fig.3 Stress-strain curve of 9310 steel (a) 1000 oC, (b) 1100 oC, (c) 0.01 s-1, (d) 10 s-1 |
|