稀土离子掺杂硅藻负极材料的制备及其电化学性能 |
| 孙世贸, 刘红昌, 刘宏伟, 王军, 商晨楷 |
|
Preparation and Electrochemical Properties of Rare Earth Ion Doped Diatom Anode Materials |
| SUN Shimao, LIU Hongchang, LIU Hongwei, WANG Jun, SHANG Chenkai |
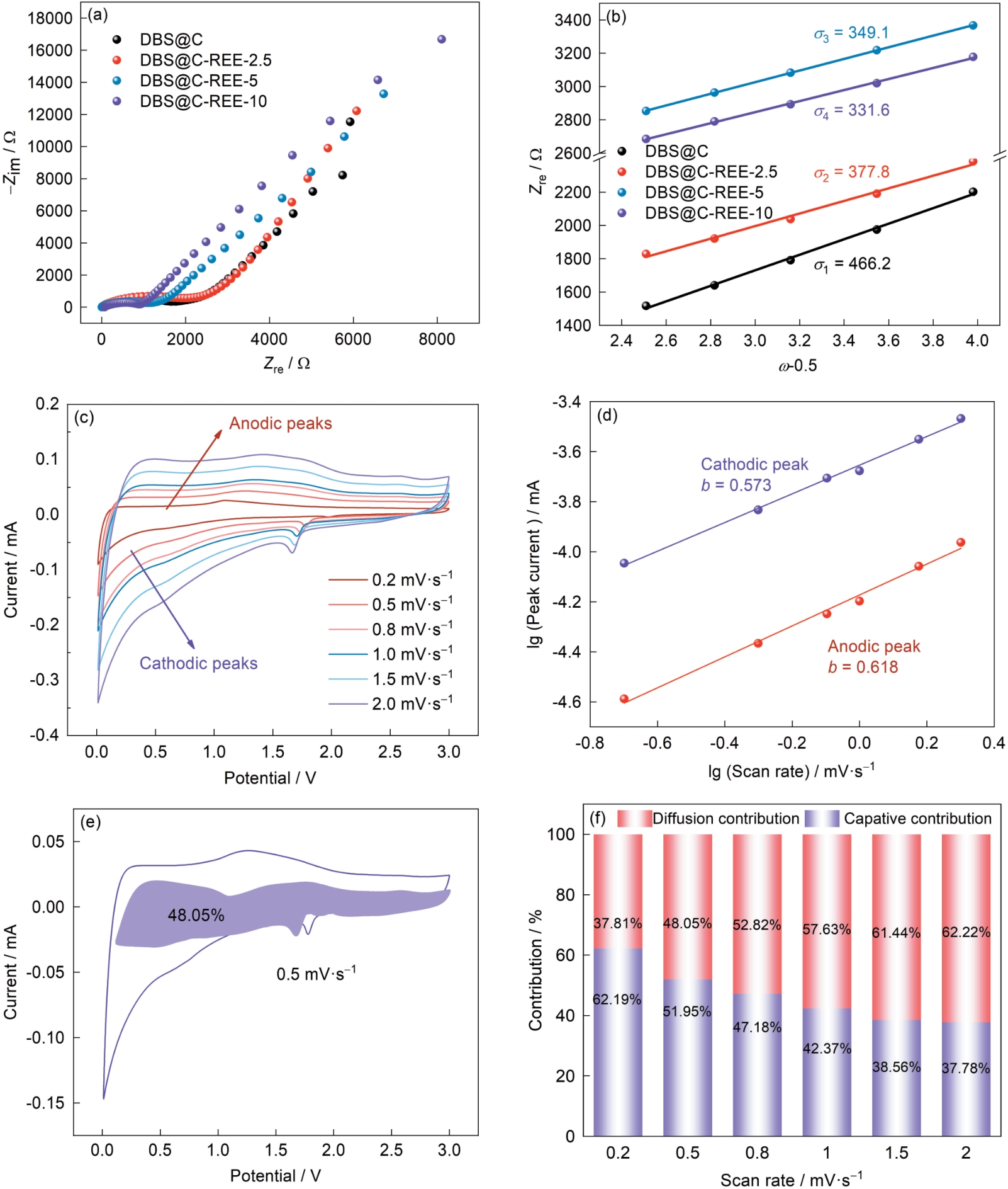
| 图7 稀土含量不同稀土离子掺杂的硅藻负极材料的交流阻抗和赝电容 |
| Fig.7 EIS and pseudocapacitance test results of composites with different rare earth content (a) Nyquist curve, (b) Warburg factor, (c~f) pseudocapacitance contribution of DBS@C-REE-10 |
|