温度对球团矿氢还原行为的影响 |
| 白立伟, 刘炳南, 佟可蕙, 张雪 |
|
Effect of Temperature on Reduction Behavior of Iron Ore Pellets with Hydrogen |
| BAI Liwei, LIU Bingnan, TONG Kehui, ZHANG Xue |
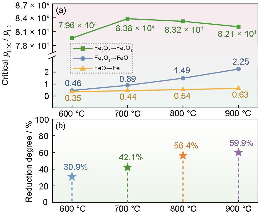
| 图2 在不同温度下铁氧化物发生还原反应的临界水/氢分压比和在氢气中还原10 min球团矿的还原程度 |
| Fig.2 Critical ratio of water partial pressure to hydrogen partial pressure for the reduction reaction of different iron oxides (a) and the reduction degree of iron ore pellet after 10 min reaction in hydrogen (b) at different temperatures |
|