2 GPa超高强中锰钢中的夹杂物对其高周疲劳性能的影响 |
| 李昌鹏, 庞建超, 王子龙, 李云杰, 李琳琳 |
|
Effect of Size and Distribution of Inclusions on High-cycle Fatigue Properties of a 2 GPa-graded Ultra-high-strength Medium-Mn Steel |
| LI Changpeng, PANG Jianchao, WANG Zilong, LI Yunjie, LI Linlin |
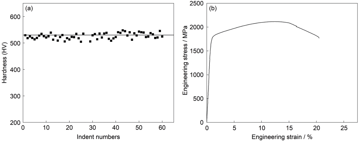
| 图3 实验钢的静态力学性能 |
| Fig.3 Vickers hardness diagram (a) and tensile engineering stress-strain curve (b) of experimental steel |
|