非均质组织对高强度风电钢拉伸性能的影响 |
| 陈子豪, 高崇, 庞建超, 麻衡, 何康, 李小武, 李守新, 张哲峰 |
|
Effect of Different Heterogeneous Microstructures on Tensile Properties of a High Strength Wind Power Steel Q500MD |
| CHEN Zihao, GAO Chong, PANG Jianchao, MA Heng, HE Kang, LI Xiaowu, LI Shouxin, ZHANG Zhefeng |
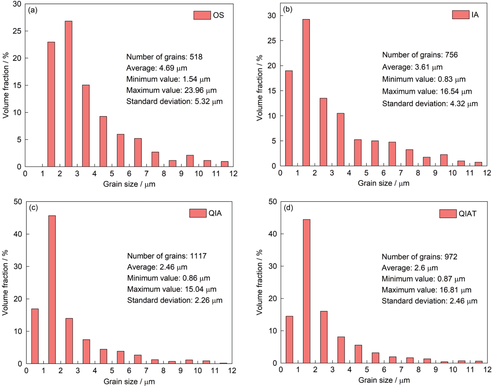
| 图10 不同制度热处理后500 MPa级风电钢的晶粒尺寸分布 |
| Fig.10 Grain size distribution of 500 MPa grade wind power steels with different heat treatment technologies (a) OS, (b) IA, (c) QIA, (d) QIAT |
|