热处理对双金属管道内衬管材Inconel 625耐晶间腐蚀性能的影响 |
| 苏锐, 单以银, 严伟, 刘庚, 任毅, 史显波 |
|
Effect of Heat Treatment on Intergranular Corrosion Resistance of Inconel 625 Used as Inner Lining for X65 Steel Based Bimetallic Pipes |
| SU Rui, SHAN Yiyin, YAN Wei, LIU Geng, REN Yi, SHI Xianbo |
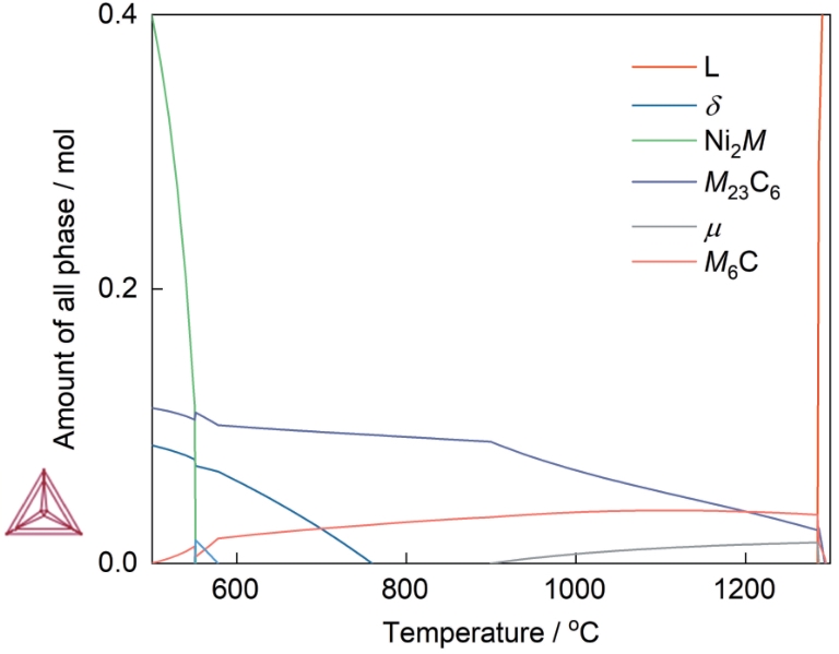
| 图1 Inconel 625合金相图 |
| Fig.1 Phase diagram of Inconel 625 alloy |
|