Al-7.2Zn-3.8Mg
合金热变形行为
李庆乾, 刘胜胆, 姜科达, 范世通, 赵寿荣
Hot Deformation Behavior of Al-7.2Zn-3.8Mg Alloy
LI Qingqian, LIU Shengdan, JIANG Keda, FAN Shitong, ZHAO Shourong
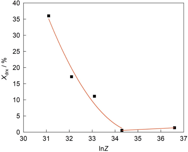
图7
X
drx
与ln
Z
的关系曲线
Fig.7
Relationship curves between
X
drx
and ln
Z