Al-7.2Zn-3.8Mg合金热变形行为 |
| 李庆乾, 刘胜胆, 姜科达, 范世通, 赵寿荣 |
|
Hot Deformation Behavior of Al-7.2Zn-3.8Mg Alloy |
| LI Qingqian, LIU Shengdan, JIANG Keda, FAN Shitong, ZHAO Shourong |
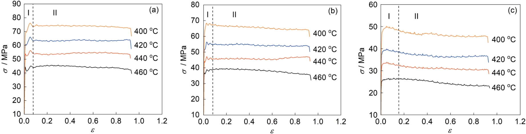
| 图1 Al-Zn-Mg合金的流变应力-应变曲线 |
| Fig.1 Stress-strain curves of Al-Zn-Mg alloy (a) 0.1 s-1; (b) 0.05 s-1; (c) 0.01 s-1 |
|