非晶态FeOOH修饰的CoFeAl层状双氢氧化物异质结构的制备和对碱性溶液的全解水性能 |
| 邓小龙, 王山山, 戴鑫鑫, 刘义, 黄金昭 |
|
Preparation and Performance of Electrocatalyst of Amorphous FeOOH Covered Layered Double Hydroxide CoFeAl-Heterostructure for Efficient Overall Water Splitting in Alkaline Solution |
| DENG Xiaolong, WANG Shanshan, DAI Xinxin, LIU Yi, HUANG Jinzhao |
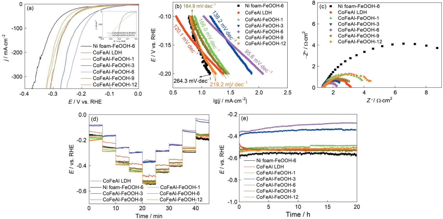
| 图7 样品的HER性能 |
| Fig.7 HER performance of the as-synthesized samples (a) LSV with 95% iR compensation (inset: the comparison of LSV curves with or without 95% iR compensation for CoFeAl-FeOOH-6), (b) The corresponding Tafel plots, (c) Nyquist measured at -0.226 V (vs. RHE), (d) Multistep chronopotentiometry response without iR compensation with current density of 10, 30, 75, 100 and 150 mA·cm-2, (e) Chronopotentiometric curves measured at the current density of 150 mA·cm-2 |
|