鸟巢状Bi/β-Bi2O3 异质结的制备及其可见光催化性能 |
| 周慧, 杜彬, 杨鹏斌, 金党琴, 肖伽励, 沈明, 王升文 |
|
Sodium Gluconate Assisted Synthesis of Nest-like Bi/β-Bi2O3 Heterojunction and Its Visible-light Driven Photocatalytic Activities |
| ZHOU Hui, DU Bin, YANG Pengbin, JIN Dangqin, XIAO Jiali, SHEN Ming, WANG Shengwen |
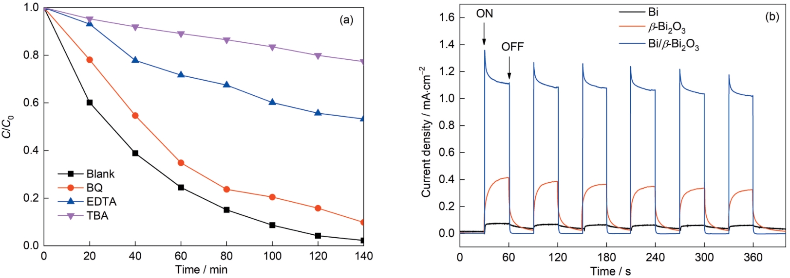
| 图12 以Bi/β-Bi2O3为光催化剂加入捕获剂TBA、BQ和EDTA前后降解LFVH的对比曲线以及在可见光照射下Bi、β-Bi2O3和Bi/β-Bi2O3的瞬时光电流密度 |
| Fig.12 Effect of different scavengers on the photodegradation of LFVH with Bi/β-Bi2O3 as the photocatalyst (a) and photo-current density of Bi、β-Bi2O3 and Bi/β-Bi2O3 samples under visible-light irradiation (b) |
|