固溶温度对GH4742合金力学性能及γ' 相的影响 |
| 秦鹤勇, 李振团, 赵光普, 张文云, 张晓敏 |
|
Effect of Solution Temperature on Mechanical Properties and γ' Phase of GH4742 Superalloy |
| QIN Heyong, LI Zhentuan, ZHAO Guangpu, ZHANG Wenyun, ZHANG Xiaomin |
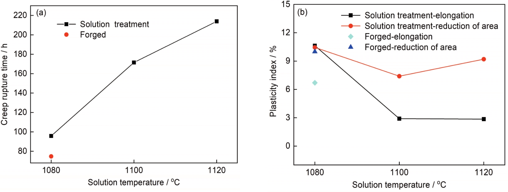
| 图2 固溶温度对GH4742合金持久性能的影响 |
| Fig.2 Effect of solution temperature on rupture properties of GH4742 superalloy (a) creep rupture time; (b) plasticity index |
|