中温热处理对Ti65合金淬火组织及室温拉伸性能的影响 |
| 谭海兵, 臧健, 梁弼宁, 刘建荣, 王清江, 赵子博, 李文渊 |
|
Effect of Medium Heat Treatment on Quenched Micro-structure and Tensile Properties of Ti65 Alloy |
| TAN Haibing, ZANG Jian, LIANG Bining, LIU Jianrong, WANG Qingjiang, ZHAO Zibo, LI Wenyuan |
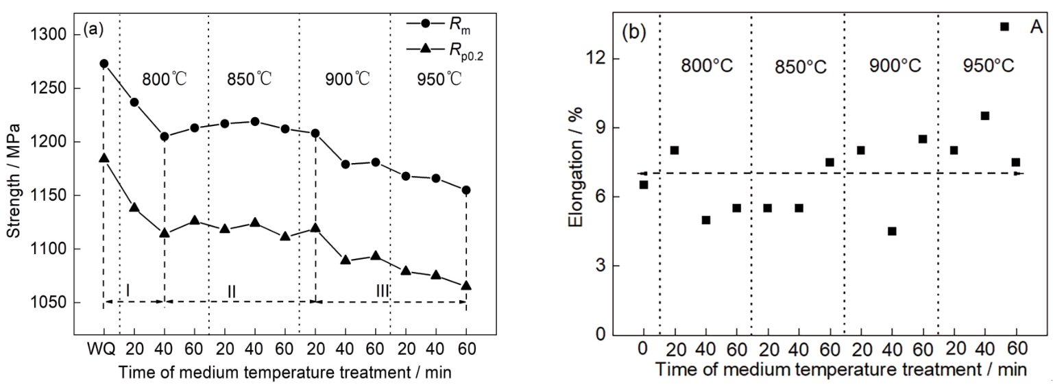
| 图4 不同条件中温热处理后Ti65合金的室温拉伸性能 |
| Fig.4 Room temperature tensile property of Ti65 alloy with different medium-temperature heat treat-ments listed in Table 2 (a) tensile strength; (b) elongation |
|