不同热解碳界面层厚度C/ZrC-SiC复合材料烧蚀性能及其机理 |
| 杨晓辉, 李克智, 白龙腾, 郭亚威 |
|
Ablation Properties and Mechanisms of C/ZrC-SiC Composites with Pyrolytic Carbon Interlayer of Different Thickness |
| YANG Xiaohui, LI Kezhi, BAI Longteng, GUO Yawei |
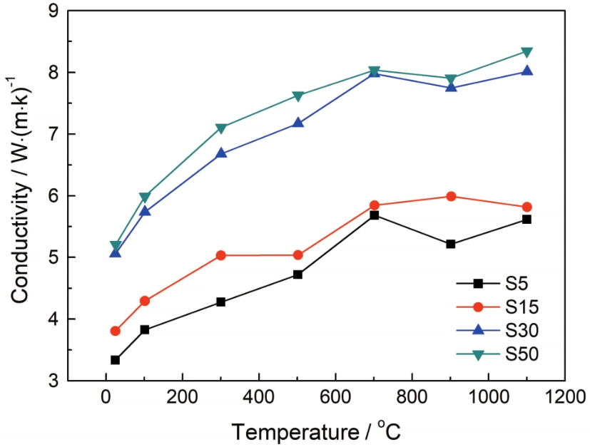
| 图9 PyC界面层厚度不同的C/ZrC-SiC复合材料的导热系数 |
| Fig.9 Conductivity of C/ZrC-SiC composite with different PyC interface thickness |
|