不同热解碳界面层厚度C/ZrC-SiC复合材料烧蚀性能及其机理 |
杨晓辉, 李克智, 白龙腾, 郭亚威 |
Ablation Properties and Mechanisms of C/ZrC-SiC Composites with Pyrolytic Carbon Interlayer of Different Thickness |
YANG Xiaohui, LI Kezhi, BAI Longteng, GUO Yawei |
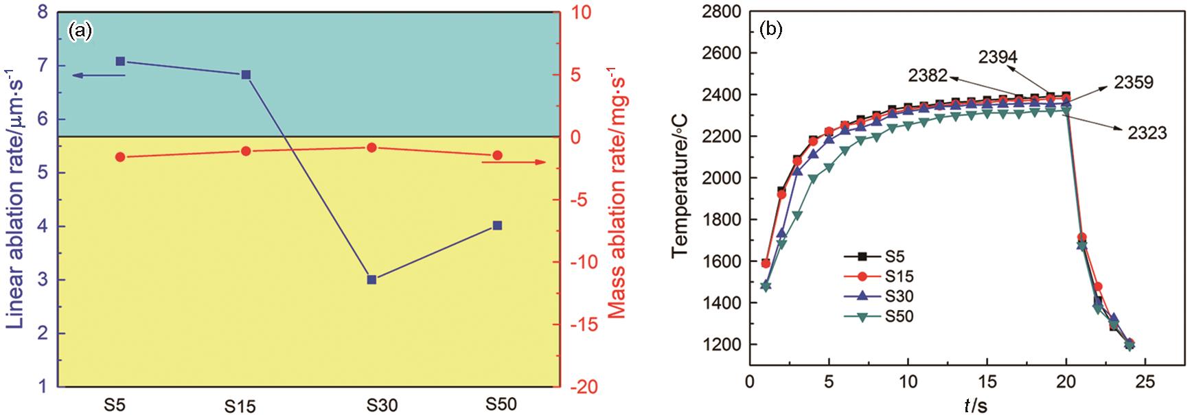
图3 PyC界面层厚度不同的C/ZrC-SiC复合材料的20 s烧蚀性能 |
Fig.3 20 s ablation properties of C/ZrC-SiC composites with different PyC interface thickness mass and linear ablation rates; (b) ablation temperature curves |
![]() |