氧化石墨烯/苯甲酸钠复合成核剂协同改性PA6纳米复合材料的性能 |
| 黄欢, 张迅韬, 杨尚科, 肖刘鑫, 张兆鑫, 严磊, 蔺海兰, 卞军, 陈代强 |
|
Properties of Nylon PA6-based Nanocomposites Co-modified with Graphene Oxide/sodium Benzoate Complex Nucleating Agent |
| HUANG Huan, ZHANG Xuntao, YANG Shangke, XIAO Liuxin, ZHANG Zhaoxin, YAN Lei, LIN Hailan, BIAN Jun, CHEN Daiqiang |
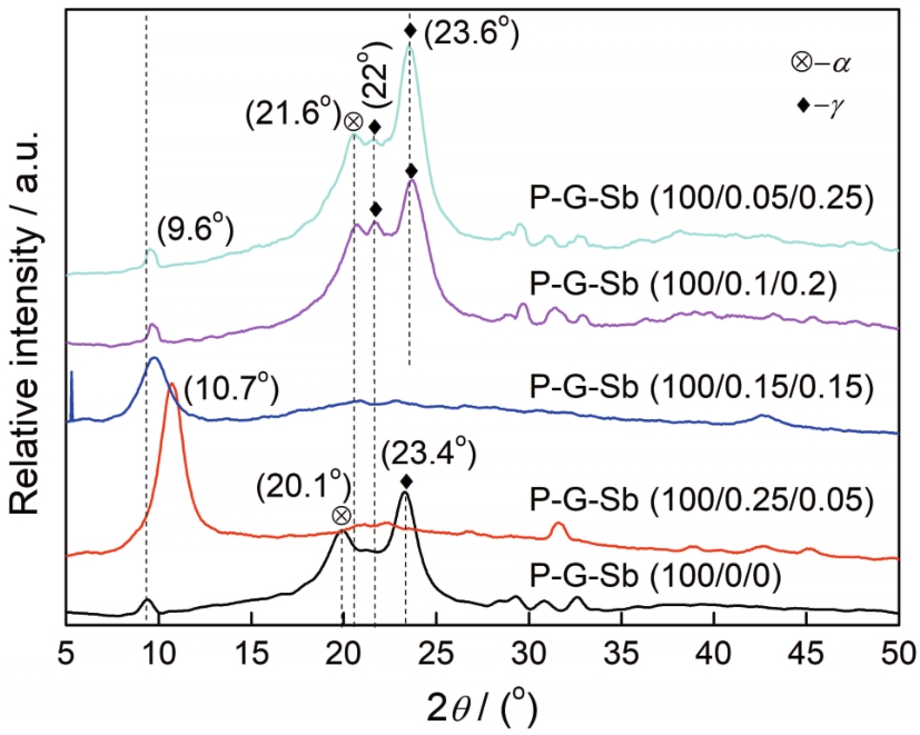
| 图4 PA6/GO-Sb纳米复合材料的XRD谱 |
| Fig.4 XRD traces of PA6/GO-Sb nanocomposites |
|