铁离子掺杂TiO2 的制备及其光催化性能 |
| 荆倩, 曹晗, 刘方园, 郗会娟, 李超祥, 邵韵航, 曹美文, 夏永清, 王生杰 |
|
Preparation and Photocatalytic Property of Iron-doped Titanium Dioxide Nanomaterials |
| JING Qian, CAO Han, LIU Fangyuan, XI Huijuan, LI Chaoxiang, SHAO Yunhang, CAO Meiwen, XIA Yongqing, WANG Shengjie |
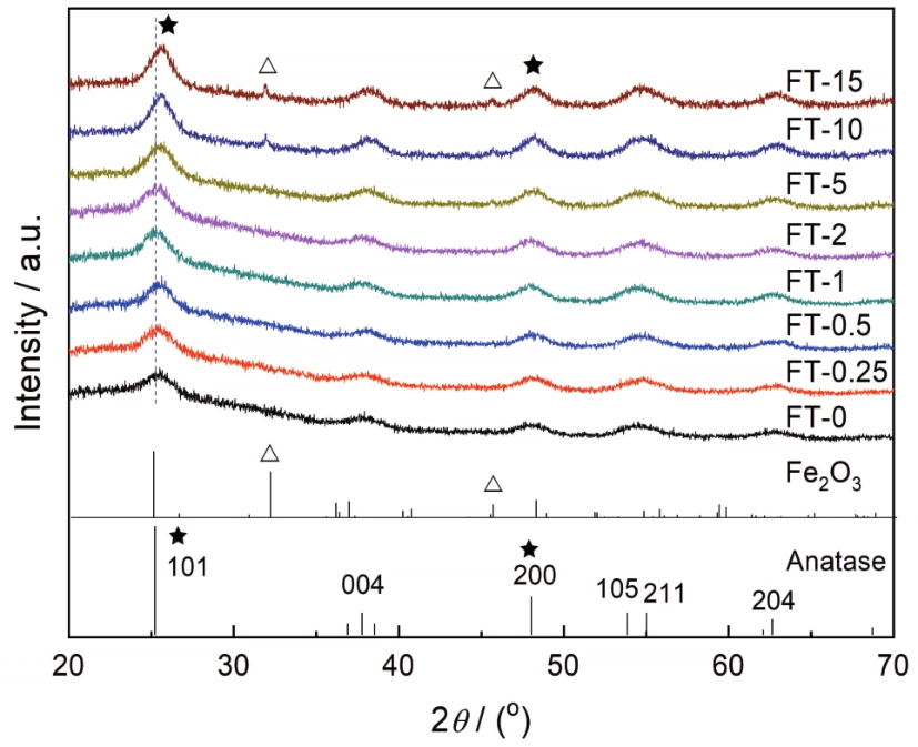
| 图5 样品Fe-TiO2的XRD谱、Fe2O3和锐钛矿型TiO2的标准XRD谱 |
| Fig.5 XRD patterns of iron-doped TiO2 nanostructures prepared from different iron concentrations and standard XRD patterns of Fe2O3 and anatase TiO2 |
|