Er3+ 掺杂对Bi3Ti1.5W0.5O9-Bi4Ti3O12 共生无铅压电陶瓷性能的影响 |
曾仁芬, 江向平, 陈超, 黄枭坤, 聂鑫, 叶芬 |
Effects of Er3+-doping on Performance of Bi3Ti1.5W0.5O9-Bi4Ti3O12 Intergrowth Lead-free Piezoceramics |
ZENG Renfen, JIANG Xiangping, CHEN Chao, HUANG Xiaokun, NIE Xin, YE Fen |
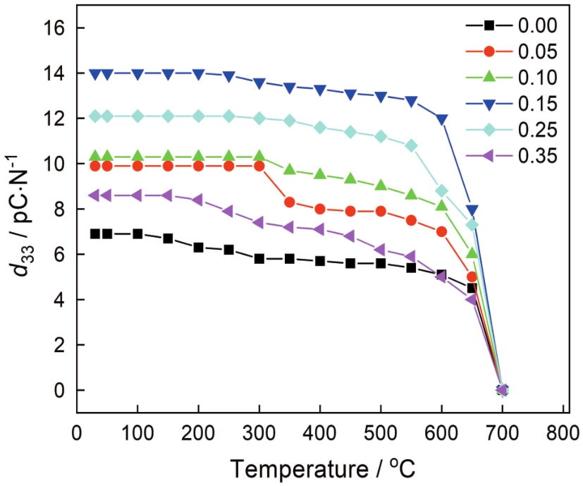
图11 BTW-BIT-xEr3+ 样品的退极化曲线 |
Fig.11 Depolarization curve of BTW-BIT-xEr3+ |
![]() |