汽轮机转子10%Cr钢的高温低周疲劳特性 |
| 崔璐, 康文泉, 邹方, 魏文澜, 李臻, 王澎 |
|
High Temperature Low Cycle Fatigue Characteristics of Steam Turbine Rotor Steel 10%Cr |
| CUI Lu, KANG Wenquan, ZOU Fang, WEI Wenlan, LI Zhen, WANG Peng |
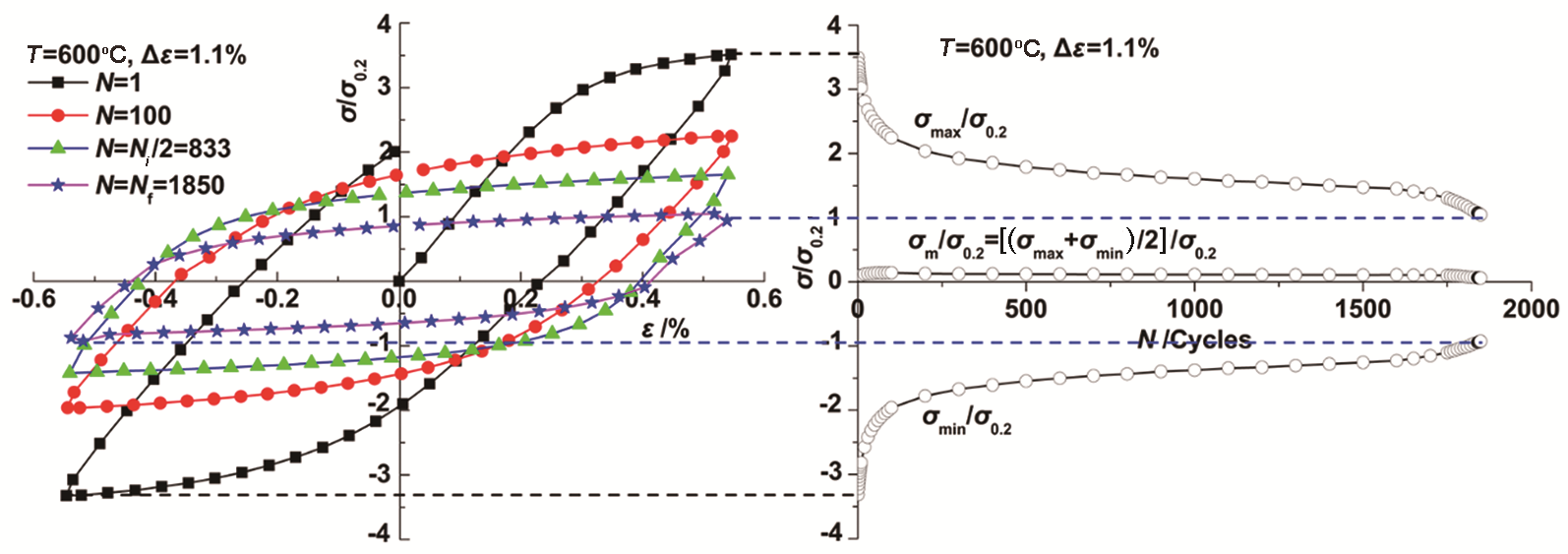
| 图5 10%Cr钢在T=600℃、Δε=1.1%条件下的滞回曲线和对应的应力-寿命曲线 |
| Fig.5 Hysteresis loop and corresponding stress-life of 10% Cr steel (T=600℃, Δε=1.1%) |
|