Mn对熔融Zn-Mn合金与X80钢润湿行为的影响 |
| 彭浩平, 席世亨, 崔德荣, 刘亚, 邓嵩, 苏旭平, 阮睿文 |
|
Effect of Mn on Wetting Behavior of X80 Steel in Molten Zn-Mn Alloy |
| PENG Haoping, XI Shiheng, CUI Derong, LIU Ya, DENG Song, SU Xuping, RUAN Ruiwen |
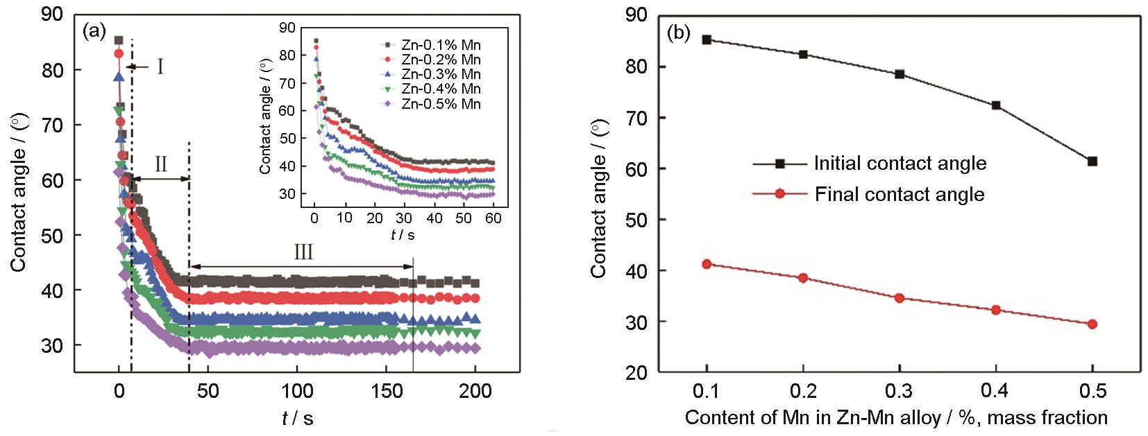
| 图1 450℃下Zn-Mn合金/X80钢接触角随Mn含量的变化 |
| Fig.1 Variations of contact angle of Zn-Mn alloy/X80 steel with Mn content at 450℃ (a) curve of contact angle with time, (b) variation curve of initial contact angle and final contact angle |
|