金属学报  2015 , 51 (8): 943-950 https://doi.org/10.11900/0412.1961.2014.00622

温度对高W含量K416B镍基合金拉伸行为的影响*

谢君, 于金江, 孙晓峰, 金涛, 杨彦红

中国科学院金属研究所, 沈阳 110016

INFLUENCE OF TEMPERATURE ON TENSILE BEHAVIORS OF K416B Ni-BASED SUPERALLOY WITH HIGH W CONTENT

XIE Jun, YU Jinjiang, SUN Xiaofeng, JIN Tao, YANG Yanhong

Institute of Metal Research, Chinese Academy of Sciences, Shenyang 110016

中图分类号:  TG115.5

通讯作者:  Correspondent: YU Jinjiang, professor, Tel: (024)23971713, E-mail: jjyu@imr.ac.cn

修回日期:  2014-11-14

接受日期:  2015-02-8

网络出版日期:  --

版权声明:  2015 《金属学报》编辑部 版权所有 2014, 金属学报编辑部。使用时,请务必标明出处。

基金资助:  * 国家重点基础研究发展计划项目2010CB631200和2010CB631206及国家自然科学基金项目50931004资助

作者简介:

谢君, 男, 1986年生, 博士

展开

摘要

在不同温度对高W含量K416B镍基合金进行拉伸性能测试及组织形貌观察, 研究了温度对合金拉伸行为的影响规律. 结果表明, 在20~800 ℃, 合金的屈服强度与抗拉强度随着温度的升高而增加, 高于800 ℃后, 合金的拉伸性能逐渐降低. 合金室温拉伸变形特征为位错剪切g′相或以Orowan机制越过g′ 相, 且切入g′ 相位错可分解形成层错. 随着温度升高, 合金基体内的位错密度逐渐增加, 其中, 800 ℃拉伸时, 合金基体内形成高密度位错缠结, 可起形变强化作用, 是合金具有较高拉伸强度的主要原因. 随着温度进一步升高, 切入g′ 相的位错数量增加, 致使合金强度逐渐降低. 在中低温条件下, 裂纹主要沿大尺寸M6C碳化物处萌生与扩展, 致使合金发生脆性断裂. 而高温拉伸期间, 合金主要以微孔聚集方式沿g+g′共晶界面发生连接开裂, 是合金发生韧性断裂的主要原因.

关键词: K416B镍基合金 ; 拉伸行为 ; 变形特征 ; 断裂机制

Abstract

Ni-based superalloys with high content of W are often used to manufacture gas turbine vanes and high temperature forging dies due to high temperature capability and low cost. The microstructure of Ni-based superalloys consists of g matrix, g′ phase and carbides generally. The deformation mechanisms of alloy mainly include dislocation loops formation, shearing of dislocation into g′ phase and formation of anti-phase boundary (APB) and stacking fault. Although the deformation mechanism of Ni-based superalloys has been studied widely, the relationship between tensile property and deformation mechanism of K416B superalloy at different temperature is still unclear up to now. Therefore, the influence of temperature on tensile behaviors of K416B Ni-based superalloy with high W content was investigated in the present work by means of tensile test at different temperatures. It has been found that the yield and tensile strengths of K416B alloy increase with rising temperature at 20~800 ℃. When the temperature exceeds 800 ℃, the tensile property of the alloy decreases gradually. The deformation feature of the alloy during tensile test at room temperature is that the dislocations shear into g′ phase or cross g′phase by Orowan mechanism. As the dislocations shear into g′ phase, they decompose to form the stacking fault. The dislocation density in the matrix of the alloy increases with the rising temperature and the dislocation tangles in the matrix play the role of strengthening in the alloy during tensile test at 800 ℃. As the temperature further enhancing, the amount of dislocations shearing into g′ phase increases and then the tensile strength of the alloy decreases. Under the condition of middle-low temperature, the brittle fracture occurs in the alloy due to the fact that the cracks are initiated and propagated along M6C carbide with large size. During tensile test at high temperatures, the tensile fracture mode of the alloy is micro-porous aggregation along the g+g′ eutectic interface, which is the main reason for the alloy exhibiting the ductile fracture.

Keywords: KEY WORKS ; K416B Ni-based superalloy ; tensile behavior ; deformation feature ; fracture mechanism

0

PDF (10840KB) 元数据 多维度评价 相关文章 收藏文章

本文引用格式 导出 EndNote Ris Bibtex

谢君, 于金江, 孙晓峰, 金涛, 杨彦红. 温度对高W含量K416B镍基合金拉伸行为的影响*[J]. , 2015, 51(8): 943-950 https://doi.org/10.11900/0412.1961.2014.00622

XIE Jun, YU Jinjiang, SUN Xiaofeng, JIN Tao, YANG Yanhong. INFLUENCE OF TEMPERATURE ON TENSILE BEHAVIORS OF K416B Ni-BASED SUPERALLOY WITH HIGH W CONTENT[J]. 金属学报, 2015, 51(8): 943-950 https://doi.org/10.11900/0412.1961.2014.00622

由于高W镍基高温合金具有良好的抗氧化性和高温力学性能, 被认为是制备航空发动机导向叶片的重要材料之一[1,2]. 高W镍基高温合金组织主要由g基体、g'相及碳化物组成[3,4], 其强化相的析出尺寸、形态与分布直接影响合金的使用性能[5,6]. W是镍基高温合金中的重要固溶元素, 可提高gg'相强度[7,8], 同时, 它也是形成碳化物的主要元素, 在凝固期间可形成不同类型和形态的碳化物[9,10], 直接影响合金的力学性能. Hu等[11]对Ni-Cr-W合金的组织与拉伸性能研究发现, M23C6碳化物沿<110>{111}取向在g基体中析出, 并呈现不同形态, 粒状M23C6沿晶界不连续析出可提高合金拉伸强度, 而以片状析出时可降低合金强度.

研究[12,13]表明, 施加温度可直接影响镍基高温合金的力学性能, 且合金的拉伸性能与其变形机制密切相关. 在中低温拉伸期间, 合金的拉伸变形机制主要包括位错弓出或形成位错环, 切入g'相的位错可分解形成层错或反相筹界(APB), 随着温度的提高, 合金中可形成位错缠结、位错的交滑移或位错攀移[14,15]. 对M951镍基高温合金的拉伸行为研究[16,17]表明, 低温变形特征为位错切入g'相和形成滑移带, 高温变形机制为位错绕过g'相, 而中温变形机制表现为由位错剪切g'相向绕过g'相过渡. Liu等[18]对含Re镍基单晶合金的拉伸变形机制研究表明, 低于600 ℃的拉伸变形特征为形成反相畴界(APB)和层错, 随着温度升高, 位错可剪切g'相, 高于800 ℃时, 位错以绕过机制越过g'相.

在不同温度条件下, 镍基高温合金的拉伸断裂方式主要包括沿晶断裂、穿晶断裂和微孔聚集断裂等[19,20]. 文献[21,22]指出, 在一定的温度范围形变孪晶是导致合金的锯齿状应力-应变曲线的出现的原因之一, 同时可提高合金的强度. Yang等[23]研究了K445高温合金的拉伸行为, 结果表明, 二次硬化效应是合金在750 ℃具有较高屈服强度和较好塑性的主要原因. 对K403高温合金拉伸断裂行为的研究[24]表明, 随着变形温度的升高, 合金断裂方式由准解理断裂向沿晶断裂转变. 但有关高W镍基高温合金的拉伸变形特征及断裂机制鲜有报道.

因此, 本工作对高W K416B合金在不同温度下进行拉伸性能测试, 并对拉伸断裂合金进行组织形貌观察, 研究温度对高W合金拉伸行为的影响规律, 试图为合金的应用与发展提供理论依据.

1 实验方法

采用ZG-001型10 kg真空感应熔炼炉对K416B母合金锭进行重熔, 浇注成等轴晶试棒, 合金的名义成分(质量分数, %)为: C 0.13, Cr 4.90, Co 6.82, Nb 2.06, Al 5.75, W 16.3, Ti 1.00, Hf 1.00, Ni 余量. 合金试棒经机械加工成工作段标距为25 mm, 直径为5 mm的圆柱拉伸试样. 将合金试样置于AG-25KNE型拉伸试验机中, 在不同温度条件下进行拉伸性能测试.

采用S-3400N型扫描电镜(SEM)对不同温度拉伸断裂合金进行断口形貌观察, 并采用线切割对断裂试样沿着轴线方向进行解剖, 对解剖试样进行研磨抛光, 随后采用20 mL HCl+5 g CuSO4+25 mL H2O的腐蚀剂进行化学蚀刻, 随后对断口的横截面进行组织形貌观察, 并对合金中的析出相进行能谱(EDS)分析. 采用线切割将不同温度拉伸断裂合金切取成0.5 mm薄片, 经双面机械研磨至50 μm, 冲孔成直径3 mm圆片, 随后采用双喷电解减薄的方法在-25 ℃制取透射样品, 双喷液为质量分数为10%的高氯酸酒精溶液. 采用TECNAI-20型透射电镜(TEM)对样品进行微观形貌观察.

2 实验结果

2.1 组织形貌

铸态K416B合金的组织形貌如图1所示. 由图1a可见, 合金中的枝晶形态清晰可见, 其枝晶生长方向各异, 且枝晶间存在较多的g +g'共晶组织, 并有大块状碳化物沿枝晶间区域析出. 由图1b可见, 大尺寸碳化物形态主要呈现为块状和条状, 尺寸约为40~80 μm. 此外, 晶界具有平直特征(图1c), 并有不规则形态碳化物沿晶界不连续分布. 合金中不同区域g'相的尺寸与形态各异(图1d), 枝晶干处的g'相尺寸较小, 约为0.3~0.6 μm, 并呈颗粒状分布, 相比之下, 分布于枝晶间区域的g'相尺寸较大, 约为0.5~1.0 μm, 呈不规则分布.

图1   铸态K416B合金的组织形貌

Fig.1   Microstructures of as-cast K416B superalloy(a) dendrite morphology (b) blocky M6C carbide(c) MC carbide precipitation along boundaries (d) morphology of g′ phase

K416B合金的XRD谱如图2所示, 确定出该合金主要由g 基体、g'相、M6C及MC碳化物组成. 经EDS分析表明, 大块状碳化物富含W, Co和C等元素, 而晶界处析出的碳化物富含Nb, Ti, Hf和C等元素, 结合XRD谱可鉴定出大块状相为M6C型碳化物, 沿晶界析出相为MC型碳化物.

图2   铸态K416B合金的XRD谱

Fig.2   XRD spectrum of as-cast K416B superalloy

2.2 拉伸性能

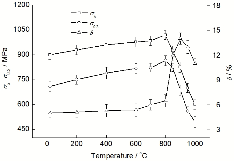
K416B合金在不同温度的拉伸性能如图3所示. 随着温度从20 ℃升高至800 ℃, 合金的屈服和抗拉强度逐渐增加, 分别由710和900 MPa增加至865和1020 MPa; 当温度进一步升高, 合金的屈服和抗拉强度急剧下降, 当温度为1000 ℃时, 屈服和抗拉强度分别仅有493和602 MPa. 此外, 合金在20~800 ℃温度区间的塑性较低, 其中, 经800 ℃拉伸断裂后的合金延伸率约为6.5%, 相比之下, 当温度高于800 ℃, 合金塑性有明显提高.

图3   K416B合金在不同温度的拉伸性能

Fig.3   Tensile properties of K416B superalloy at different temperatures (σb—tensile strength, σ0.2—yield strength, δ—elongation)

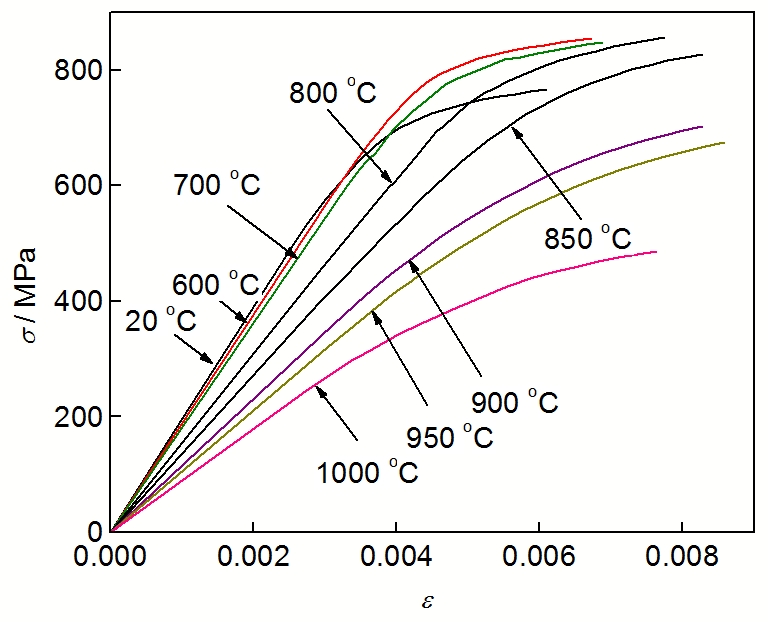
K416B合金在不同温度条件下的应力-应变关系曲线如图4所示. 可以看出, 随着应力的增加, 合金的拉伸应变速率逐渐增大. 此外, 在同一应力条件下, 合金的拉伸应变速率随着温度的提高而增大. 其中, 20, 600和700 ℃的拉伸应力-应变曲线接近, 当温度大于800 ℃时, 合金应变增幅随温度的提高而增大.

图4   K416B合金在不同温度下的应力-应变曲线

Fig.4   Stress-strain curves of K416B superalloy at different temperatures (s—stress, e—strain)

2.3 合金的拉伸变形特征

在中低温条件下, K416B合金拉伸断裂后的TEM像如图5所示. 经室温拉伸断裂后, 合金中存在少量滑移位错, 在外力作用下, 形变位错可在基体中形成位错环, 并有<110>超位错剪切g′相, 其中, 切入g'相的位错可分解形成层错(图5a). 当温度提高至600 ℃, 断裂合金基体内的位错数量增加, 并有较长位错迹线横穿g'相(图5b), 而700 ℃拉伸断裂后的TEM形貌与前者相近, 故在此略去. 随着拉伸温度进一步提高至800 ℃, 拉伸断裂合金基体内的位错密度增加, 并在基体通道中形成位错缠结(图5c).

图5   K416B合金中低温拉伸变形后的TEM像

Fig.5   TEM images of K416B alloy after tensile deformation at 20 ℃ (a), 600 ℃ (b) and 800 ℃ (c)

K416B合金在高温下拉伸断裂后的TEM像如图6所示. 由图6a可见, 900 ℃拉伸断裂后, 合金中的晶界清晰可见, 粒状MC型碳化物沿晶界不连续分布, 并有运动位错终止于碳化物附近, 表明晶界碳化物可有效阻碍位错运动; 同时, 切入g'相内的形变位错数量增多. 当温度提高至1000 ℃, 拉伸断裂合金中的位错密度明显增加, 并在g/g'界面处堆积和形成位错缠结(图6b), 表明随着拉伸温度的提高, 断裂合金中的形变位错数量逐渐增多.

图6   K416B合金高温拉伸变形后的TEM像

Fig.6   TEM images of K416B alloy after tensile deformation at 900 ℃ (a) and 1000 ℃ (b)

2.4 拉伸断裂合金的组织形貌

在不同温度下, 合金拉伸断裂后的典型组织形貌如图7所示. 室温拉伸断裂合金断口的块状M6C碳化物和共晶组织清晰可见(图7a), 裂纹主要沿大尺寸块状碳化物处萌生和扩展. 经400 ℃拉伸断裂后, 裂纹主要存在于块状M6C碳化物处, 并在块状M6C碳化物附近存在少量平行滑移迹线(图7b). 图7c为600 ℃拉伸断裂合金的断口形貌. 可以看出, 较多滑移迹线终止于块状M6C状碳化物处, 随着拉伸进行, 在此处产生应力集中, 当产生的集中应力高于块状M6C碳化物的屈服强度时, 大尺寸M6C碳化物发生开裂, 致使裂纹沿此处萌生与扩展, 此外, 当滑移迹线经过裂纹扩展处时, 在应力作用下可发生扭转. 随着温度提高至800 ℃, 合金断口形貌与前者相近, 在大尺寸块状M6C碳化物附近存在较多滑移迹线(图7d), 且该碳化物在拉伸应力作用下发生碎化, 表明在中低温拉伸期间, 大尺寸块状M6C碳化物处易产生应力集中, 致使碳化物开裂和促使裂纹在此处发生萌生与扩展, 因此, 认为大尺寸块状M6C碳化物区域为合金在中低温拉伸期间的薄弱环节. 在900 ℃条件下, 拉伸断裂合金断口形貌如图7e所示. 在晶界MC碳化物和共晶组织附近存在较多的滑移迹线, 沿晶界扩展的裂纹呈现不光滑特征, 而在共晶界面处发生撕裂现象; 相比之下, 合金断口中残留有大块状M6C碳化物, 且在断口上方存在明显的滑移台阶. 图7f为1000 ℃拉伸断裂合金的断口形貌, 可以看出, 在合金g+g'共晶处存在较多的滑移迹线, 同时合金中的裂纹主要由微孔聚集连接形成, 并主要沿共晶界面发生扩展, 表明在高温拉伸期间, 微孔主要沿共晶界面处萌生与连接, 致使合金发生断裂, 因此, 认为g+g'共晶组织是合金在高温拉伸期间的薄弱区域.

图7   在不同温度下K416B合金拉伸断裂后的SEM像

Fig.7   SEM images of K416B alloy after tensile fracture at 20 ℃ (a), 400 ℃ (b), 600 ℃ (c), 800 ℃ (d), 900 ℃ (e) and 1000 ℃ (f)

合金经不同温度拉伸断裂后的典型断口形貌如图8所示. 由图8a可见, 室温拉伸断裂后, 合金断口呈现平整特征, 并在断口处存在解理小平面和沿枝晶解理的痕迹, 同时在断口处残留有开裂的大尺寸块状M6C碳化物, 且在其附近的解理平面存在较多的解理台阶. 经400 ℃拉伸断裂后, 开裂的块状M6C碳化物表面呈凹凸不平特征, 并在其附近存在裂纹(图8b). 当温度提高至600 和800 ℃,断口形貌与前者相近, 均具有较平整特征, 其中, 600 ℃拉伸断口中残留有开裂的块状M6C碳化物, 并在其上方存在河流状的解理纹, 且扩展裂纹清晰可见(图8c); 与600 ℃拉伸断口相比, 800 ℃拉伸断口中存在较浅的细小韧窝, 并有块状M6C碳化物残留在断口处, 且断口中的解理台阶清晰可见(图8d), 表明在中低温拉伸期间, 合金的断裂方式主要以解理断裂为主, 表现为脆性断裂. 图8e为900 ℃拉伸断裂合金的断口形貌. 可以看出, 断口呈现凹凸不平特征, 断口处存在不规则的解理小平面和微孔, 由微孔聚集连接形成的扩展裂纹清晰可见, 并在断口左上方存在细小的撕裂韧窝. 由图8f可见, 1000 ℃拉伸断口特征与前者相近, 在断口处均存在解理平面和撕裂韧窝, 且由微孔连接的裂纹清晰可见, 表明高温拉伸期间, 合金主要通过解理和微孔聚集的方式发生断裂, 表现为韧性断裂.

图8   在不同温度下K416B合金拉伸断裂后断口形貌的SEM像

Fig.8   SEM images of fracture morphologies of K416B alloy after tensile fracture at 20 ℃ (a), 400 ℃ (b), 600 ℃ (c), 800 ℃ (d), 900 ℃ (e) and 1000 ℃ (f)

3 讨论

随着温度升高, 合金中的形变位错密度逐渐增大, 其中, 在室温拉伸期间, 仅有少量位错在合金中发生滑移, 并在基体中弓出形成不同尺寸的位错环, 表明运动位错以Orowan机制越过g'相, 同时随着拉伸应力的增加, 切入g'相的<110>超位错可分解形成不全位错+层错的位错组态[25,26], 如图5a所示. 在中温(600~800 ℃)条件下, 合金基体中的位错数量增多, 且在800 ℃拉伸期间, 合金基体内形成高密度位错缠结, 起形变强化作用, 是合金具有较高屈服和抗拉强度的原因之一. 在高温拉伸期间, 拉伸断裂合金中的形变位错密度进一步增加, 且切入g'相的<110>超位错数量增多, 致使合金屈服与抗拉强度逐渐降低.

合金中的大尺寸块状M6C碳化物和g+g'共晶组织及施加温度对合金拉伸断裂方式具有重要影响. 与共晶相比, 合金中的大块状M6C碳化物具有较高强度, 在中低温拉伸期间, 在大尺寸M6C碳化物区域易产生应力集中, 致使裂纹在此处萌生与扩展, 是合金发生脆性断裂的主要原因之一, 表明大尺寸M6C碳化物是合金在中低温拉伸断裂期间的裂纹源. 此外, 由于共晶区域的强度较低, 在高温拉伸期间, g+g'共晶区域可发生较大塑性变形, 并以微孔聚集的方式沿共晶界面发生连接开裂, 尤其在1000 ℃拉伸期间表现更为显著(图7f), 因此, 随着温度的升高, 合金拉伸期间裂纹萌生的薄弱区域由大尺寸M6C碳化物向g+g'共晶区域发生转移, 是合金发生韧性断裂的主要原因.

中低温拉伸期间, 形变位错主要在g基体中激活, 但切入g'相的位错较少, 致使集中应力无法及时释放, 加之大尺寸块状M6C碳化物处易产生应力集中, 促使裂纹沿此处发生扩展, 是合金具有较低延伸率的主要原因之一. 当温度提高至900 ℃, 在拉伸期间, g基体中的形变位错数量增加, 在g/g'界面塞积产生应力集中, 致使位错切入g'相, 可有效释放集中应力, 使拉伸继续进行, 加之温度的升高可降低g'相强度, 导致切入g'相位错数量增多, 合金发生较大塑形变形, 是合金具有较高延伸率的重要原因之一. 当温度进一步提高, g基体与g'相内的位错数量增多, 尽管可有效释放位错缠结产生的部分集中应力, 但合金强度大幅度下降和具有较大的拉伸应变速率, 致使合金产生的流变应力远高于其有效释放的应力值, 当累积的流变应力值高于合金屈服强度时, 合金发生断裂, 是合金延伸率降低的重要原因之一.

4 结论

(1) 随着温度升高, K416B合金的屈服强度和抗拉强度呈现先增后降的趋势, 在800 ℃时达到峰值, 当温度高于800 ℃时, 合金具有较好塑性.

(2) 随着拉伸温度的升高, K416B合金中的位错密度逐渐增加. 在室温拉伸期间, 位错主要以Orowan机制绕过g'相, 且切入g'相位错可分解形成层错; 在800 ℃拉伸断裂合金中可形成高密度位错缠结, 起形变强化作用, 致使合金具有较高的屈服与抗拉强度; 随着温度进一步升高, 切入g'相的形变位错数量增加, 是合金拉伸强度降低的原因之一.

(3) 中低温拉伸时, 在大尺寸M6C碳化物处易于产生应力集中, 致使裂纹主要在大尺寸M6C碳化物处发生萌生与扩展, 是合金发生脆性断裂主要原因; 在高温条件下, 合金拉伸期间产生的裂纹主要萌生于g+g'共晶区域, 并以微孔聚集方式连接开裂, 致使合金发生韧性断裂.


/