金属学报  2015 , 51 (8): 1017-1024 https://doi.org/10.11900/0412.1961.2014.00615

基于团簇+连接原子模型的Fe-B-Si-Ta块体非晶合金的成分设计*

耿遥祥12, 韩凯明12, 王英敏12, 羌建兵12, 王清12, 董闯1, 张贵锋2, 特古斯3, HAÜSSLER Peter14

1 大连理工大学三束材料改性教育部重点实验室, 大连 116024
2 大连理工大学材料科学与工程学院, 大连 116024
3 内蒙古师范大学内蒙古自治区功能材料物理与化学重点实验室, 呼和浩特 010022
4 Physics Institute, Chemnitz University of Technology, Chemnitz 09107

COMPOSITION DESIGN OF Fe-B-Si-Ta BULK AMORPHOUS ALLOYS BASED ON CLUSTER+ GLUE ATOM MODEL

GENG Yaoxiang12, HAN Kaiming12, WANG Yingmin12, QIANG Jianbing12, WANG Qing12, DONG Chuang1, ZHANG Guifeng2, TEGUS O3, HAÜSSLER Peter14

1 Key Lab of Materials Modification by Laser, Ion and Electron Beams, Ministry of Education, Dalian University of Technology, Dalian 116024
2 School of Materials Science and Engineering, Dalian University of Technology, Dalian 116024
3 Inner Mongolia Key Laboratory for Physics and Chemistry of Functional Materials, Inner Mongolia Normal University, Hohhot 010022
4 Physics Institute, Chemnitz University of Technology, Chemnitz 09107

中图分类号:  TG139.8

通讯作者:  Correspondent: QIANG Jianbing, associate professor, Tel: (0411)84709336, E-mail: qiang@dlut.edu.cn

收稿日期: 2014-11-7

接受日期:  2015-01-24

网络出版日期:  --

版权声明:  2015 《金属学报》编辑部 版权所有 2014, 金属学报编辑部。使用时,请务必标明出处。

基金资助:  * 国家自然科学基金项目51131002和51041011, 中央高校基础研究基金资助项目DUT13ZD102, 中国工程物理研究院重点发展基金项目2013A0301015, 国防基础科研项目B1520133007和国际热核聚变实验堆计划资助项目2013GB107003资助

作者简介:

耿遥祥, 男, 1986年生, 博士生

展开

摘要

依据团簇+连接原子模型设计具有高玻璃形成能力的Fe-B-Si-Ta软磁块体非晶合金, 以共晶点Fe83B17对应的共晶相Fe2B为基础, 根据最大径向原子数密度和孤立度原则, 得到以B为心的[B-B2Fe8]主团簇, 结合理想非晶合金团簇式的电子浓度判据, 构建出Fe-B二元非晶合金的理想团簇式[B-B2Fe8]Fe. 为提升Fe-B二元合金的非晶形成能力, 选择与Fe具有较大负混合焓的Si替代[B-B2Fe8]团簇的中心原子B, 得到Fe-B-Si三元非晶合金的理想团簇式[Si-B2Fe8]Fe. 由于Ta与B和Si间具有较大的负混合焓, 进一步以Ta替代[Si-B2Fe8]Fe团簇式中壳层位置的Fe原子, 设计出[Si-B2Fe8-xTax]Fe四元非晶系列成分. 结果表明, [Si-B2Fe8-xTax]Fe在x=0.4~0.7成分处均可形成直径为1.0 mm的非晶合金棒. 其中, [Si-B2Fe7.4Ta0.6]Fe合金的非晶形成能力最佳, 其非晶样品的约化玻璃转变温度Trg为0.584, 玻璃转变温度Tg为856 K, 过冷液相区宽度ΔTx达33 K. [Si-B2Fe8-xTax]Fe (x=0.4~0.7)块体非晶合金的Vickers硬度Hv随Ta的添加从1117 HV (x=0.4)上升到1154 HV (x=0.7). [Si-B2Fe7.6Ta0.4]Fe非晶合金具有良好的室温软磁性能, 其饱和磁化强度Bs为1.37 T, 矫顽力Hc为3.0 A/m.

关键词: 团簇+连接原子模型 ; 团簇式 ; Fe-B-Si-Ta非晶 ; 磁性

Abstract

The structural and compositional features of amorphous alloys can be described by cluster-plus-glue atom model, which is an effective method for the composition design of amorphous alloys. In the Fe-B binary system, Fe2B phase is an intermetallic phase related to Fe83B17 eutectic point. Under the framework of the highest radial number density and isolation principle, the local structure of Fe2B phase is characterized by a B-centered Archimedean octahedral antiprism [B-B2Fe8] atomic cluster. Combined with the electron consistence criterion, the [B-B2Fe8]Fe (here the center and shell atoms are separated by a hyphen, a cluster is enclosed in square brackets, the glue atom is out square brackets) is then determined as an ideal cluster formula for Fe-B binary amorphous. To further enhance the glass-forming ability (GFA) of the alloy, the center B and shell Fe atoms in [B-B2Fe8]Fe are replaced with Si and Ta, respectively, due to their large negative enthalpy of mixing between Si-Fe and (B, Si)-Ta atomic pairs, and Fe-B-Si-Ta quaternary composition series, namely [Si-B2Fe8-xTax]Fe, are thus derived. The experimental results reveal that the bulk amorphous alloys with a diameter of 1.0 mm can be achieved for [Si-B2Fe8-xTax]Fe (x=0.4~0.7) compositions. Among them, [Si-B2Fe7.4Ta0.6]Fe (i.e. Fe70B16.67Si8.33Ta5, atomic fraction, %) is the best glass former, its glass transition temperature Tg, supercooled liquid region ΔTx and the reduced glass transition temperatures Trg are 856 K, 33 K and 0.584, respectively. The Vickers hardness, saturation magnetization and coercivity of the [Si-B2Fe7.6Ta0.4]Fe (i.e. Fe71.67B16.67Si8.33Ta3.33) amorphous alloy are measured to be 1117 HV, 1.37 T, and 3.0 A/m, respectively.

Keywords: cluster-plus-glue atom model ; cluster formula ; Fe-B-Si-Ta bulk amorphous alloy ; magnetism

0

PDF (2552KB) 元数据 多维度评价 相关文章 收藏文章

本文引用格式 导出 EndNote Ris Bibtex

耿遥祥, 韩凯明, 王英敏, 羌建兵, 王清, 董闯, 张贵锋, 特古斯, HAÜSSLER Peter. 基于团簇+连接原子模型的Fe-B-Si-Ta块体非晶合金的成分设计*[J]. , 2015, 51(8): 1017-1024 https://doi.org/10.11900/0412.1961.2014.00615

GENG Yaoxiang, HAN Kaiming, WANG Yingmin, QIANG Jianbing, WANG Qing, DONG Chuang, ZHANG Guifeng, TEGUS O, HAÜSSLER Peter. COMPOSITION DESIGN OF Fe-B-Si-Ta BULK AMORPHOUS ALLOYS BASED ON CLUSTER+ GLUE ATOM MODEL[J]. 金属学报, 2015, 51(8): 1017-1024 https://doi.org/10.11900/0412.1961.2014.00615

铁基非晶合金不但具有高的饱和磁化强度(Bs)、高的磁导率(me)和低的矫顽力(Hc)等软磁特性, 而且具有高的强度和优良的耐蚀性, 因此是一类重要的软磁和结构材料[1-5]. 早期制备的铁基非晶合金多以条带形式存在, 这在很大程度上限制了该类材料的应用与发展. 上世纪90年代, Inoue等[6]运用Cu模吸铸法制备出Fe-(Al, Ga)-(P, C, B)铁基块体非晶合金, 扩展了铁基非晶材料的应用范围. 至今, 已发展出了多个铁基块体非晶合金体系. 依据添加组元的种类不同, 可将其大致分为四类: Fe-(Al, Ga, Mo)-(P, C, B, Si), Fe-Cr-Mo-C-B-RE (RE表示稀土元素)、Fe-B-Si-(Zr, Nb)和Fe-B-(Zr, Hf, Nb, Ta)等[7-10]. 虽然, 铁基块体非晶合金已有近20年的发展历程, 但其成分设计主要依靠Inoue三原则等半经验法则[11], 在制备非晶合金的过程中需要大量的实验投入. 最近, Dong等[12]提出了理想非晶合金的团簇+连接原子模型, 该方法将具有最佳非晶形成能力的合金成分统一描述为[团簇](连接原子)x团簇式形式(x=1或3). 这一方法将非晶合金的成分、结构及其形成能力3者关联起来, 并可实现非晶合金的定量成分设计. 目前, 团簇式方法已对锆基、铜基和稀土基等金属-金属型合金体系的最优非晶形成成分进行了合理解析[13,14], 并成功设计出Ni-Ta等块体非晶合金新体系[15,16]. 然而, 该方法在金属-类金属型非晶合金体系中的应用较少. 由于金属-类金属原子间一般具有很强的相互作用, 由它们构成的非晶合金中的团簇结构特征更明显[17], 更满足团簇+连接原子模型的成立条件. 基于此, 本工作将运用非晶合金的团簇+连接原子模型, 从Fe-B二元平衡相图出发, 结合电子浓度判据, 建立Fe-B和Fe-B-Si系非晶合金的理想团簇式, 以此为基础, 通过引入组元Ta, 设计具有优良软磁性能的Fe-B-Si-Ta新型四元块体非晶合金.

1 成分设计

非晶合金的形成需要较高的冷却速率, 以抑制熔体冷却过程中晶化的发生. 相应地, 合金熔体稳定性高的成分, 如合金相图中的共晶点, 其对应的非晶形成能力也较强. 另一方面, 共晶成分附近的熔体在低于临界冷速凝固时容易形成共晶组织, 因此非晶合金与相关共晶相间可能存在密切的结构关联. 实际上, 非晶合金的基本结构单元可等同于相关共晶化合物相的某种局域结构[18,19]. 在Fe-B二元平衡相图中[20], 富Fe侧的共晶点为Fe83B17, 与之对应的共晶相为g-Fe固溶体和Fe2B相. 其中, Al2Cu型Fe2B金属间化合物相与非晶的形成与结构关联紧密. 该相中Fe和B组元各有1个独立的原子占位[21], 借助Carine结构分析软件, 可得到以B和Fe为心的多种尺度的团簇结构及相关径向原子数密度rA. 图1给出了Fe2B相中不同尺度团簇的rA随r (r为团簇最外层原子与心部原子的间距)的变化曲线. 依据合金相团簇选取的最大径向原子数密度原则[22], 选取[B-B2Fe8]和[Fe-Fe11B4]作为Fe2B相的代表团簇(“[ ]”内部为团簇原子; “-”前部为团簇的心部原子, 后部为团簇的壳层原子; 下标代表相应的原子个数), 其原子构型如图2所示.

图1   Fe2B相中以B和Fe为心的不同尺度(r)团簇的径向原子数密度(rA)

Fig.1   Radial number density (rA) distribution around B and Fe atoms in Fe2B phase (r—distance from center to shell in cluster)

图2   Fe2B晶体相中以Fe为心的[Fe-Fe11B4]团簇和以B为心的[B-B2Fe8]团簇模型

Fig.2   Models of Fe-centered [Fe-Fe11B4] cluster (a) and B-centered Archimedean octahedral antiprism [B-B2Fe8] cluster (b) in Fe2B phase

合金相中体现其结构特征的团簇基元被称为主团簇, 具备高孤立度的特点[18]. 这里, 孤立度定义为单独团簇所含的原子个数(Z1)与晶体相中扣除共享因素后该团簇基元所对应的有效原子个数(Z2)比的倒数Z2/Z1, 其值越大表明团簇的孤立度越高, 即在合金结构中该团簇基元之间的共享程度越小. Z2/Z1=1时表明团簇完全孤立不存在共享. 对于上面得到的[B-B2Fe8]与[Fe-Fe11B4]两种团簇, 其对应的Z2/Z1值分别为3/11和1.5/16, 显然, [B-B2Fe8]团簇的Z2/Z1值较大, 孤立度较高. 由此, 将[B-B2Fe8]团簇确定为Fe2B合金相的主团簇, 以其作为团簇基元来构建Fe-B二元非晶合金的团簇式.

理想非晶合金成分可用团簇式表示为: [团簇](连接原子)x (x=1或3)[12]. 对于Fe-B二元非晶合金, 其主团簇为[B-B2Fe8], 连接原子只能由B或/和Fe组元充当. 相应地, 可得到6个Fe-B二元非晶团簇式: [B-B2Fe8]Fe, [B-B2Fe8]Fe3, [B-B2Fe8]B, [B-B2Fe8]B3, [B-B2Fe8]FeB2和[B-B2Fe8]Fe2B. 非晶合金是一类特殊的电子相, 电子浓度是决定其形成与稳定性的重要因素. 近期研究[21]表明, 对于特定团簇式成分的非晶合金, 其单位团簇式的平均价电子数可通过下式计算:

e/u=1.253π3×1ρar13Z=1.253π3×MN0ρr13Z

式中, e/u为单个团簇式所含价电子数; Z代表单个团簇式所含的原子总数; M为团簇式的平均原子量; r1为团簇半径; ra为团簇的原子密度, 其对应的质量密度为r; N0是Avogadro常数, 其值为6.02×1023 mol-1. 文献[24]表明, 理想非晶合金团簇式的e/u值接近24, 这可作为非晶合金团簇式的电子浓度判据.

通过式(1)可得到上述6个Fe-B二元非晶团簇式的e/u值,分别为24.1, 28.7, 22.8, 25.4, 26.9和27.4, 相关参数与计算结果列于表1. 其中, r1是[B-B2Fe8]团簇壳层原子到心部原子的平均半径(选取Fe和B的Goldschmidt半径, rFe=0.127 nm, rB=0.098 nm, 可算出r1为0.219 nm); r值可根据文献[25,26]实测结果并拟合获得. 由表1可知, 在所列团簇式中[B-B2Fe8]Fe的e/u值最接近24, 因此将[B-B2Fe8]Fe确定为Fe-B二元非晶合金的理想团簇式, 其对应的原子分数成分为Fe75B25.

表1   Fe-B二元非晶的团簇式、原子分数、质量密度r, 平均原子量M, 团簇半径r1和单个团簇式所含价电子数e/u值

Table 1   The cluster formulas, corresponding chemical compositions, mass densities (r), average atomic weight (M), average cluster radius (r1) and number of valence electrons per unit formula ratios (e/u) of Fe-B amorphous alloys

FormulaAtomic fraction / %r1 / nmr / (gcm-3)[23,24]Me/u
[B-B2Fe8]FeFe75B250.2197.244.624.1
[B-B2Fe8]Fe3Fe78.57B21.430.2197.446.228.7
[B-B2Fe8]BFe66.67B33.330.2197.040.822.8
[B-B2Fe8]B3Fe57.14B42.860.2196.536.525.4
[B-B2Fe8]FeB2Fe64.29B35.710.2197.139.826.9
[B-B2Fe8]Fe2BFe71.43B28.570.2196.743.027.4

新窗口打开

文献[25]表明, Fe-B二元合金仅在B原子分数为12%~28%的成分范围内形成条带非晶. 为提高Fe-B二元合金的非晶形成能力,基于[B-B2Fe8]Fe团簇式进行多组元合金化. 由文献[27]可知, Fe-Si, Fe-B与Si-B间的混合焓分别为: ΔHFe-Si=-35 kJ/mol, ΔHFe-B=-26 kJ/mol和ΔHSi-B=-14 kJ/mol, 其中Fe与Si之间的混合焓最负. 因此,先引入Si原子来替代[B-B2Fe8]Fe团簇式的中心原子B, 得到形式为[Si-B2Fe8]Fe的Fe-B-Si三元非晶团簇式. [Si-B2Fe8]Fe团簇式对应的原子分数成分Fe75B16.67Si8.33与Luborsky等[28]报道的Fe-B-Si三元系最佳非晶形成成分Fe75B16Si9接近. 类似地, 鉴于Ta与Si/B间也存在较负的混合焓: ΔHTa-Si=-56 kJ/mol, ΔHTa-B=-54 kJ/mol, 由此, 进一步将Ta原子引入到[Si-B2Fe8]Fe团簇式中替代壳层位置的Fe原子, 设计出团簇式为[Si-B2Fe8-xTax]Fe (x=0~0.8)的系列Fe-B-Si-Ta四元非晶成分.

2 实验方法

以质量分数为99.999%的Fe和Si, 99.5%B和99.95%Ta为原料配置成分为[Si-B2Fe8-xTax]Fe (x=0, 0.2, 0.3, 0.4, 0.5, 0.6, 0.7和0.8)的系列合金. 在经过Ti提纯过的高纯Ar气氛下熔炼母合金锭, 母合金锭需反复熔炼4次以保证其成分均匀性. 采用单辊甩带技术, 通过表面线速度为40 m/s的Cu辊制备条带样品, 尺寸为0.02 mm×0.8 mm. 由Cu模吸铸法制备直径为1.0和1.5 mm的棒状样品. 运用Bruker D8 Focus 型X射线衍射仪(XRD)进行样品相结构鉴定, 通过BX51型金相显微镜(OM)观测棒状样品横截面, 其表面由1%氢氟酸去离子水溶液(质量分数)进行腐蚀. 样品热分析在Q100型差示扫描量热仪(DSC)和Q600差热分析仪(DTA)上进行, 升温速率为0.33 K/s. 用HVS-1000型硬度仪测试块体非晶的Vickers硬度, 载荷为9.8 N, 加载时间为15 s. 非晶条带样品的饱和磁化强度Bs和矫顽力Hc测试由LakeShore-7407型振动样品磁强计和MATS-2010SD Hysteresis-graph完成, 测试前对条带样品进行低温真空退火处理, 去除样品中的残余应力.

3 结果与讨论

图3为[Si-B2Fe8-xTax]Fe (x=0~0.8)系列样品的XRD谱. 其中, 图3a所示的所有条带样品的XRD谱均呈现出典型的馒头状非晶态漫散衍射峰特征, 表明该系列成分均可形成单相非晶条带样品. 随着Ta含量的增加, 非晶样品主漫散峰的衍射角2q由x=0时的45.3°逐渐降低到x=0.8时的44.4°. 根据Ehrenfest方程[29]:

Q=4πsinθ/λ=1.23(2π/d)

式中, Q为散射因子, q为Bragg衍射角, l为X射线波长, d为平均原子距离. 可知, 非晶相主漫散峰所对应的衍射角大小与其平均原子距离成反比关系. 对于[Si-B2Fe8-xTax]Fe非晶, Ta的加入导致了2q的降低, 意味着相关非晶结构中的平均原子距离有所增大, 这与团簇设计思想吻合. 如前所述, 用Ta替代了[Si-B2Fe8]团簇中的壳层原子Fe后, 由于Ta原子半径较大(Ta与Fe的Goldschmidt半径分别为: rTa=0.147 nm, rFe=0.127 nm), 这种替换会引起团簇中的平均原子距离增大, 导致相关非晶相的主漫散峰位2q向低角偏移. 图3b为[Si-B2Fe8-xTax]Fe直径为1.0 mm棒状样品的XRD谱. 可见, 当x=0.4~0.7时, 样品为完全的非晶态结构, 而其它成分样品的XRD谱中都或多或少出现了晶体衍射峰. 当棒状样品直径增大到1.5 mm时, 所有成分样品的XRD谱中都出现了明显的晶体相衍射峰. 经标定, 这些晶体析出相为a-Fe, Fe3B和Fe2B相[30,31]. 以上结果表明, 由团簇式方法设计的Fe-B-Si-Ta四元合金中, 在[Si-B2Fe8-xTax]Fe (x=0.4~0.7)成分处可通过Cu模吸铸制备出直径为1.0 mm的块体非晶棒. 为了确认块体非晶样品的临界尺寸和形成能力, 图4给出了x=0.4时1.0 mm棒状样品以及x=0.5~0.7时1.5 mm棒状样品横截面的OM像. 为了确保实验结果准确, 所有棒状样品均选择在距离样品底部3 mm处获取其横截面. 可以看出, 经氢氟酸去离子水溶液腐蚀后的1.0 mm棒样品的表面形貌衬度均匀, 没有观察到任何晶体相析出, 证明x=0.4时的1.0 mm棒状样品整体为单一的非晶态相结构. 然而, 对于直径为1.5 mm棒状样品, 其OM像呈现明显的明暗衬度变化, 表明样品中存在多相组织, 其中样品最边缘处白亮, 衬度与1.0 mm棒样品相同, 为耐蚀性良好的非晶相, 而在样品的其它部位颜色灰暗, 为耐蚀性较差的晶体相, 这一结果与XRD的结果完全吻合. 通过对比直径1.5 mm棒状样品横截面中白亮非晶相含量多少, 可对块体样品的非晶形成能力进行评判. 结果发现, 当x=0.6时, 1.5 mm棒状样品中析出相的含量相对较少(图4c), 表明它在[Si-B2Fe8-xTax]Fe (x=0~0.8)系列合金中非晶形成能力最优.

图3   [Si-B2Fe8-xTax]Fe条带样品、1.0和1.5 mm棒状样品的XRD谱

Fig.3   XRD spectra of [Si-B2Fe8-xTax]Fe ribbons (a), 1.0 mm rods (b) and 1.5 mm rods (c) (Arrows in Fig.3a show that the diffraction angles (2q) of the principal diffusion peak gradually decrease with the increase of Ta contents)

图4   [Si-B2Fe8-xTax]Fe中x=0.4时1 mm棒状样品和x=0.5~0.7时1.5 mm棒状样品的横截面OM像

Fig.4   OM images of cross section of the as-cast [Si-B2Fe8-xTax]Fe alloy rods with x=0.4, diameter=1 mm (a), x=0.5, diameter=1.5 mm (b), x=0.6, diameter=1.5 mm (c) and x=0.7, diameter=1.5 mm (d)

图5为[Si-B2Fe8-xTax]Fe (x=0~0.8)系列条带非晶样品的热分析曲线. 由图5a可知, Ta的添加使Fe-B-Si非晶由单峰晶化(x=0)转变为双峰晶化特征. 同时, 非晶合金的初始晶化温度Tx也随着Ta含量的增加逐渐提高, 由x=0时的839 K增大到x=0.8时的896 K. 当x=0.4时, 非晶样品的DSC曲线中出现了可观测的玻璃化转变温度Tg, 说明Ta的加入不仅提高了Fe-B-Si非晶的热力学稳定性, 而且也有利于金属玻璃的形成, 这与前面的实验结果吻合. 与Tx类似, 样品的Tg也随Ta含量的增加而逐渐增加, 由843 K (x=0.4)增加到859 K (x=0.8). 图5b为[Si-B2Fe8-xTax]Fe (x=0~0.8)非晶样品的DTA曲线. 从中可见, 随着Ta含量的增加, 样品的熔化终了温度Tl呈先增后降再增加的变化趋势, 在x=0.7处Tl达到最低值1466 K. 图6给出了[Si-B2Fe8-xTax]Fe (x=0.4~0.8)非晶过冷液相区宽度(ΔTx)与约化玻璃转变温度(Trg)随Ta含量的变化关系曲线. 这些非晶样品的ΔTx没有明显变化, 在30~35 K之间, 而非晶形成能力表征参数Trg[32]的最大值出现在x=0.6和0.7成分处, 这与Cu模吸铸结果基本一致. [Si-B2Fe8-xTax]Fe (x=0~0.8)非晶的热分析结果和临界尺寸数据均列于表2中.

图5   [Si-B2Fe8-xTax]Fe条带样品的DSC和DTA曲线

Fig.5   DSC (a) and DTA (b) curves of [Si-B2Fe8-xTax]Fe ribbon alloys (Arrows in Fig.5a show the Curie temperature (Tc) and glass transition temperature (Tg), arrows in Fig.5c show the melting temperature (Tm) and liquidus temperature (Tl), T—temperature)

图6   [Si-B2Fe8-xTax]Fe合金中过冷液相区宽度(ΔTx)和约化玻璃转变温度(Trg)随Ta含量x的变化曲线

Fig.6   Variations of supercooled liquid temperature spans (ΔTx) and reduced glass transition temperature (Trg) against Ta contents in [Si-B2Fe8-xTax]Fe amorphous alloys

表2   系列Fe-B-Si-Ta样品的团簇式及其原子分数、临界尺寸(Dcr), Tg, Tx, ΔTx, Tl, Trg, Hv和Tc

Table 2   The Cluster formulas, corresponding chemical compositions, critical diameters (Dcr), Tg, crystallization temperature (Tx), ΔTx, Tl, Trg, Vickers hardness (HV), and Tc of the Fe-B-Si-Ta amorphous alloys

FormulaAtomic fraction / %Dcr / mmTg / KTx / KΔTx / KTl / KTrgHv / HVTc / K
[Si-B2Fe8]FeFe75B16.67Si8.33<1-839-1466--723
[Si-B2Fe7.8Ta0.2]FeFe73.33B16.67Si8.33Ta1.67<1-858-1509--669
[Si-B2Fe7.7Ta0.3]FeFe72.5B16.67Si8.33Ta2.5<1-865-1496--634
[Si-B2Fe7.6Ta0.4]FeFe71.67B16.67Si8.33Ta3.3318438733014820.5691117±6604
[Si-B2Fe7.5Ta0.5]FeFe70.83B16.67Si8.33Ta4.1718508843414810.5741130±10587
[Si-B2Fe7.4Ta0.6]FeFe70B16.67Si8.33Ta518568893314670.5841143±10571
[Si-B2Fe7.3Ta0.7]FeFe69.16B16.67Si8.33Ta5.8318568913514660.5841154±11559
[Si-B2Fe7.2Ta0.8]FeFe68.33B16.67Si8.33Ta6.67<18598963314760.582-520

新窗口打开

与Tg的变化趋势类似, [Si-B2Fe8-xTax]Fe (x=0.4~0.7)系列块体非晶样品的硬度值也随合金中Ta含量增加而增大, 相关Vickers硬度Hv如表2所示. 研究[33-35]表明, 非晶合金的硬度Hv与Tg的数值间存在正关联, 通过拟合得出本工作中[Si-B2Fe8-xTax]Fe(x=0.4~0.7)系列块体非晶合金的Hv与Tg值的线性关系为: Hv=-570+2Tg. 在[Si-B2Fe8-xTax]Fe团簇式中, B/Si与Ta之间的负混合焓明显高于B/Si与Fe之间的负混合焓, 并且Ta与Fe间也具有负混合焓, 由于强相互作用, Ta原子理应进入到团簇式中壳层原子位置, 这样Ta含量的增加会使得团簇式中心部与壳层原子, 壳层与壳层原子以及壳层与连接原子间的相互作用增强, 从而增强了非晶团簇结构的稳定性, 导致相关非晶的Tg升高[36]. 另一方面, 从微观上硬度可定义为[37]: 单位面积上的化学键对压头的抗压入能力, 金属-类金属型非晶合金的具有类共价键材料的特征, 在Fe-B-Si-Ta非晶合金中, Ta含量的增加同样会增强原子键的强度, 从而导致非晶样品硬度值的增高. 可见, 从团簇式角度有望定性乃至定量说明合金元素Ta的添加对非晶合金Tg和Hv的影响.

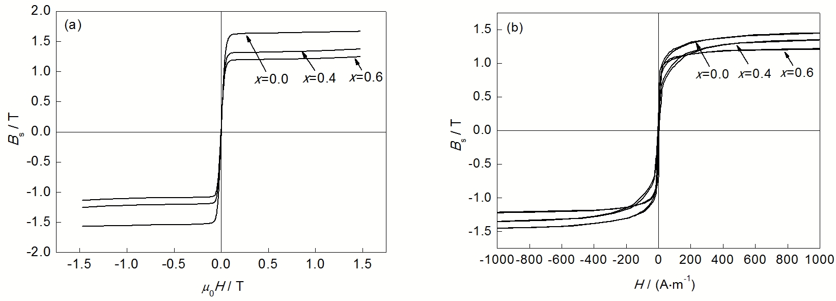
图7a给出了[Si-B2Fe8-xTax]Fe中x=0, 0.4和0.6时样品在1.5 T外磁场下的磁化曲线. 可以得出, 当团簇式中Ta的含量为0, 0.4和0.6时, 样品的饱和磁化强度Bs值分别为1.67, 1.37和1.25 T, 说明Ta的加入明显降低了非晶样品的Bs. Bs的降低与非磁性原子Ta的加入引起的原子平均自旋磁矩(mB)降低有关[38]. 非晶样品的DSC曲线(图5a)在低温时的较弱吸热峰对应为非晶样品的铁磁-顺磁转变温度, 即Curie温度Tc. [Si-B2Fe8-xTax]Fe (x=0~0.8)非晶样品的Tc也列于表2中. 随着Ta含量逐步增加, [Si-B2Fe8-xTax]Fe非晶的Tc由723 K快速下降到520 K (x=0.8). 依据平均场模型[39], Tc的大小由原子间的交换相互作用和平均自旋磁矩共同决定, 其中原子间的交换相互作用主要取决于磁性原子间的平均距离. 由XRD结果可知, 随着Ta含量的增加, 非晶合金中原子间的平均距离逐渐增加, 使得Fe-Fe原子间的交换相互作用逐渐增强, 非晶样品的Tc增加, 而Bs的降低又会降低非晶合金的平均自旋磁矩, 使得Tc降低, 因此Bs的变化对本工作的系列非晶合金的Tc起主导作用. 图7b给出了[Si-B2Fe8-xTax]Fe (x= 0, 0.4和0.6)样品的磁滞回线, 经过分析获得的3个样品的矫顽力Hc分别为4.3, 3.0和2.8 A/m. 相比已知的Fe-B-Si-Nb和Fe74Al4Ga2P12B4Si4等铁基块体非晶合金, 本工作设计的[Si-B2Fe7.6Ta0.4]Fe新非晶合金的Bs明显更高, 且Hc值更低[40,41].

图7   [Si-B2Fe8-xTax]Fe (x=0, 0.4和0.6)非晶条带样品的磁化曲线和磁滞回线

Fig.7   Magnetization (a) and magnetic hysteresis loops (b) for [Si-B2Fe8-xTax]Fe (x=0, 0.4 and 0.6) amorphous ribbons (Bs—saturation magnetization, H—magnetic field, m0—permeability of vacuum)

4 结论

(1) 应用团簇+连接原子模型, 从Fe2B共晶相出发, 结合电子浓度判据, 建立了理想Fe-B二元非晶的团簇式[B-B2Fe8]Fe. 为获得应用范围更广的软磁铁基块体非晶合金, 基于团簇式[B-B2Fe8]Fe, 选择与Fe有较大负混合焓的Si原子替代团簇中心位置的B原子, 以及与B/Si有大负混合焓的Ta原子替代团簇壳层位置的Fe原子, 设计并制备出系列[Si-B2Fe8-xTax]Fe (x=0.4~0.7)四元块体非晶合金. 其中, [Si-B2Fe7.4Ta0.6]Fe(即Fe70B16.67Si8.33Ta5)成分的合金具有最佳的非晶形成能力. 团簇+连接原子模型可有效实现Fe-B-Si-Ta系金属-类金属型块体软磁非晶合金的成分设计.

(2) [Si-B2Fe7.6Ta0.4]Fe(即Fe71.67B16.67Si8.33Ta3.33)非晶合金具有优异的软磁性能, 饱和磁化强度为1.37 T, 矫顽力为3.0 A/m. [Si-B2Fe80-xTax]Fe (x=0.4~0.7)块体非晶合金的Vickers硬度随着Ta含量的增加从1117 HV (x=0.4)增加到1154 HV (x=0.7), 其变化趋势与Tg的类似.


/