金属学报  2014 , 50 (8): 897-904 https://doi.org/10.11900/0412.1961.2013.00850

Fe-Mn-Al轻质高强钢组织和力学性能研究*

杨富强, 宋仁伯, 孙挺, 张磊峰, 赵超, 廖宝鑫

北京科技大学材料科学与工程学院, 北京 100083

MICROSTRUCTURE AND MECHANICAL PROPER- TIES OF Fe-Mn-Al LIGHT-WEIGHT HIGH STRENGTH STEEL

YANG Fuqiang, SONG Renbo, SUN Ting, ZHANG Leifeng, ZHAO Chao, LIAO Baoxin

School of Materials Science and Engineering, University of Science and Technology Beijing, Beijing 100083

中图分类号:  TG142.7

通讯作者:  Correspondent: SONG Renbo, professor, Tel: (010)82377990, E-mail: songrb@mater.ustb.edu.cn

收稿日期: 2013-12-31

修回日期:  2013-12-31

网络出版日期:  --

版权声明:  2014 《金属学报》编辑部 版权所有 2014, 金属学报编辑部。使用时,请务必标明出处。

作者简介:

杨富强, 男, 1986年生, 博士生

展开

摘要

对热轧态与固溶处理后Fe-Mn-Al轻质高强钢进行力学性能检测及组织形貌观察, 分析950~1100 ℃固溶处理工艺对其组织和力学性能的影响规律, 根据真实应力-应变曲线和加工硬化曲线分析拉伸变形特征, 对比拉伸变形前后微观组织形貌和XRD谱, 研究其微观变形机理. 研究结果表明, 所设计的成分体系实验用钢, 热轧后为奥氏体基体与少量带状铁素体的双相组织, 密度为6.55 g/cm3, 达到了轻质高强的设计目标. 固溶处理有利于奥氏体晶粒长大与带状铁素体的破碎分解, 使钢板强度降低而塑性提高, 但是过高的固溶温度会促进铁素体长大, 使铁素体体积分数增大, 钢的断后伸长率降低. 1050 ℃固溶处理后Fe-Mn-Al钢抗拉强度为925.9 MPa, 断后伸长率为50.20%, 强塑积为46.48 GPa·%. 连续的应变强化行为使得Fe-Mn-Al钢获得高强度与塑性的良好匹配, 稳定硬化阶段应变范围越宽, 断后伸长率越大; 较高的层错能使其变形机理区别于TRIP和TWIP效应, 变形后仍为奥氏体+铁素体双相组织, 变形后奥氏体中可以观察到Taylor晶格、高密度位错墙以及微带结构, 为明显的平面滑移特征.

关键词: Fe-Mn-Al钢 ; 轻质高强钢 ; 固溶处理 ; 位错滑移

Abstract

The automobile industry pays lots of attention on a new kind of steel with excellent combination of strength and ductility as well as the lower density, aiming at developing more affordable and safe vehicles with less fuel composition and air pollution. Fe-Mn-Al steel, adding more Al and C elements into twinning induced plasticity (TWIP) steel, shows amazing mechanical properties, corrosion resistant and weight reduction than traditional steel. The mechanical properties and microstructure of Fe-27Mn-11.5Al-0.95C-0.59Si steel after hot rolling and solid solution treatment were investigated to analysis the evolution within the range of 950~1100 ℃. Based on the true stress-strain curves and corresponding strain hardening rate, the characteristic of Fe-Mn-Al steel could be obtained. The deformation mechanism was learned by comparing the microstructure and XRD after tensile deformation. The results show that, with the designed composition system, hot rolled steel has the duplex structure of austenite matrix and small amount of banded ferrite with tensile strength of 1315.6 MPa and density of 6.55 g/cm3, which achieves the research targets of high strength and light-weight. Solid solution treatment contributes to austenite growth and banded ferrite crushing. But exorbitant temperature results in coarse and higher volume fraction of ferrite, and the ductility drops as well as the strength. The tensile strength and elongation of the steel solution treated at 1050 ℃ are 925.9 MPa and 50.20%, respectively. Product of tensile strength and elongation is 46.48 GPa·%. Continuous strain hardening behavior provides Fe-Mn-Al steel with perfect combination of strength and ductility. The wider the constant hardening stage, the larger of measured elongation. With the estimated stack fault energy of 86 mJ/m2, the dual phase structure of austenite and ferrite is retained after tensile deformation other than transformation induced plasticity (TRIP) or TWIP effects, and the microstructure of deformed sample, including Taylor lattice, high density dislocation wall and microband, shows the obvious characteristic of planer gliding with obvious slip bands on the surface of deformed austenite. The dislocation gliding observed by TEM is consistent with MBIP theory and should be confirmed by a mount of experiments and contrast in further.

Keywords: Fe-Mn-Al steel ; light-weight and high strength steel ; solid solution treatment ; dislocation gliding

0

PDF (6358KB) 元数据 多维度评价 相关文章 收藏文章

本文引用格式 导出 EndNote Ris Bibtex

杨富强, 宋仁伯, 孙挺, 张磊峰, 赵超, 廖宝鑫. Fe-Mn-Al轻质高强钢组织和力学性能研究*[J]. , 2014, 50(8): 897-904 https://doi.org/10.11900/0412.1961.2013.00850

YANG Fuqiang, SONG Renbo, SUN Ting, ZHANG Leifeng, ZHAO Chao, LIAO Baoxin. MICROSTRUCTURE AND MECHANICAL PROPER- TIES OF Fe-Mn-Al LIGHT-WEIGHT HIGH STRENGTH STEEL[J]. 金属学报, 2014, 50(8): 897-904 https://doi.org/10.11900/0412.1961.2013.00850

现代汽车的发展趋势是轻量、节能、防腐和安全舒适等. 为应对日益严重的资源紧缺与环境污染, 汽车轻量化设计成为世界汽车发展的重要趋势之一[1]. Fe-Mn-Al轻质高强钢因其具有较高的抗拉强度、良好的塑性以及较低的密度, 正在成为未来汽车用钢的研究方向. Fe-Mn-Al钢在高锰钢的基础上增加了Al和C的含量. Al含量的增加一方面可降低钢的密度, 同时增加钢本身的耐蚀性能, 含Al的高锰钢在发生猛烈碰撞时起到缓冲作用. 合金元素的含量决定钢中的相组成, Al和Si均为铁素体促进元素, 当二者含量超过一定范围时, Fe-Mn-Al钢将由全奥氏体组织变为奥氏体+铁素体双相组织, 铁素体的分布和体积分数是影响Fe-Mn-Al钢力学性能的重要因素[2]. 同时, Mn, Al和C的添加能提高材料的层错能, 层错能是了解高锰钢组织与性能关系的关键性参数[3-6], 较高的层错能使其变形机理区别于TRIP(相变诱导塑性)、TWIP(孪晶诱导塑性)效应. Frommeyer和Brux[7]及Yoo等[8-10]研究了高层错能的Fe-Mn-Al钢在变形过程中的微观组织转变, 分别提出了剪切带诱导塑性(SIP)与微带诱导塑性(MBIP)理论来解释Fe-Mn-Al钢优异的综合力学性能, 但是二者之间存在一定争议, 其变形机理尚不明确[11].

目前, 关于Fe-Mn-Al钢的研究相对较少, 前期阶段主要以合金的耐蚀性能为研究重点[12]. 而TRIP和TWIP钢的研究已经相对成熟, 对变形机理及热处理工艺已有深刻的了解[13,14], 因此, 需要对更高Mn和Al含量的轻质高强钢进行开发利用. 本研究通过成分设计优化, 提高钢中Mn, Al和C等含量, 降低Si的含量, 力求在保证高强度与塑性的基础上降低钢板密度. 经过冶炼、锻造、热轧、固溶处理等一系列实验手段, 研究热轧及固溶处理工艺对Fe-Mn-Al钢力学性能和微观组织的影响, 分析其变形过程中的组织转变, 获得良好的强度与塑性组合.

1 实验方法

Fe-Mn-Al轻质高强钢采用真空熔炼炉铸造20 kg钢锭, 其主要化学成分(质量分数, %)为: C 0.95, Si 0.59, Mn 27.02, Al 11.5, Nb 0.043, Cr 0.055, Fe余量. 钢锭锻造成截面40 mm×80 mm方形坯料用于热轧实验. 在加热炉中以1170 ℃均匀化2 h后进行6道次热轧变形, 开轧温度为1050 ℃, 终轧温度为850 ℃, 卷取温度为550 ℃, 轧后厚度为4.8 mm. 固溶处理选择950~1100 ℃下保温1 h后水淬处理. 热轧及固溶处理后的钢板沿轧制方向切取标距为50 mm的非比例标准试样, 采用CMT4105拉伸试验机测量其力学性能, 变形速率为10-3 s-1. 利用DMAX-RB型旋转阳极X射线衍射仪(XRD, Cu靶)对变形前后的试样进行结构分析, 工作电压为40 kV, 工作电流为150 mA. 金相试样打磨抛光后采用4%硝酸酒精(体积分数)溶液侵蚀, 利用Axio Imager M2m光学显微镜(OM)和EVO 18扫描电镜(SEM)观察其微观组织形貌. 利用Image tool软件分析钢中铁素体的体积分数. 变形后拉伸试样进行打磨、双喷减薄后利用Tecnai F20透射电子显微镜(TEM)分析其位错微观结构. 利用Sartoius BSA2245电子分析天平测量热轧后实验用钢的密度为6.55 g/cm3, 与纯Fe相比, 密度下降约16.6%.

2 实验结果

2.1 热轧组织和力学性能

热轧后钢板沿轧制方向取样观察金相组织, 如图1所示. 金相组织显示白色带状组织沿轧向均匀分布在等轴状奥氏体基体中, 大量析出物均匀地分布于奥氏体晶界. 结合Fe-Mn-Al三元相图等温截面[15]与XRD分析结果(图2)显示, 热轧后组织主要为奥氏体+铁素体双相组织. Al为铁素体组织促进元素, 其较高的含量有利于铁素体组织形成, 高温热轧变形过程使得铁素体沿轧制方向被拉长, 形成条带状组织.

图1   热轧后Fe-Mn-Al钢的微观组织

Fig.1   Microstructure of hot rolled Fe-Mn-Al steel

室温拉伸实验结果表明, 热轧后钢板抗拉强度为1315.6 MPa, 屈服强度为1191.5 MPa, 断后伸长率为14.6%, 强塑积为19.21 GPa·%, 强度较高而塑性较差. 这是由于热轧后钢板的奥氏体晶界存在大量析出碳化物(Fe, Mn)3AlC[7], 析出强化机理导致钢板具有较高的抗拉强度; 同时, 带状铁素体与基体之间的塑性协调性较差, 容易在变形过程中形成微裂纹, 并扩展形成宏观裂纹与层状断口, 导致钢板塑性较差. 因此, 热轧后的钢板需要进行固溶处理消除晶界析出物, 改善双相组织形貌, 提高其塑性.

图2   热轧Fe-Mn-Al钢板的XRD谱

Fig.2   XRD spectrum of hot-rolled Fe-Mn-Al steel

2.2 固溶处理

Fe-Mn-Al钢在950~1100 ℃经不同温度固溶处理后的力学性能如表1所示. 固溶处理可以明显降低Fe-Mn-Al钢的抗拉强度与屈服强度, 950 ℃固溶处理后抗拉强度下降到1069.9 MPa, 但断后伸长率增长较小, 反而造成固溶处理后钢板的强塑积低于热轧钢板. 1000~1050 ℃固溶处理后, 抗拉强度明显下降; 塑性不断提高, 并在1050 ℃时达到最高值50.20%, 强塑积达到46.48 GPa·%. 当温度超过1050 ℃时, 强度与断后伸长率均降低.

表1   固溶处理后Fe-Mn-Al钢的力学性能

Table 1   Mechanical properties of Fe-Mn-Al steel after solid solution treatment at different temperatures for 1 h

T / ℃Rm / MPaRp0.2 / MPaA50 / %Rm·A50 / (GPa·%)
9501069.9931.615.1216.18
1000976.3786.943.5642.53
1050925.9725.150.2046.48
1100906.8717.447.2042.80

新窗口打开

强塑积是判定高强韧钢板综合力学性能的重要参数. 从表1中可以看出, 强塑积随固溶温度变化趋势与断后伸长率相一致, 其数值主要由钢板断后伸长率决定. 当固溶温度为950 ℃时, 晶界碳化物可完全固溶于奥氏体基体中, 钢板强度下降而塑性略微增长, 晶界碳化物的溶解对提高Fe-Mn-Al钢强塑性影响程度较小.

Fe-Mn-Al钢固溶处理后的微观组织如图3所示. 可见, 固溶处理后, 奥氏体晶界逐渐平直, 随着固溶温度的升高, 奥氏体晶粒尺寸逐渐增大. 950 ℃固溶处理后, 可以明显地观察到退火孪晶, 铁素体带状组织逐渐破碎分离, 不连续分布于奥氏体基体中(图3a); 1000 ℃固溶处理后, 奥氏体晶粒尺寸增大, 但晶粒尺寸不均匀, 部分晶粒明显长大(图3b); 当固溶温度为1050 ℃时, 晶粒明显长大并均匀化, 退火孪晶贯穿整个晶粒, 细小的破碎铁素体均匀分布于奥氏体基体中(图3c); 当温度达到1100 ℃, 两相组织晶粒尺寸均明显增大, 但铁素体晶粒长大程度超过奥氏体晶粒(图3d), 导致铁素体体积分数增大造成钢板塑性下降, 断后伸长率降低到47.20%.

图3   Fe-Mn-Al钢经不同温度固溶处理后的金相组织

Fig.3   Optical micrographs of Fe-Mn-Al steel at solid solution temperatures of 950 ℃ (a), 1000 ℃ (b), 1050 ℃ (c) and 1100 ℃ (d) (Areas 1 and 2 show banded ferrite concentration area and banded ferrite scattered area, respectively)

除此之外, 奥氏体与铁素体组织的形貌与大小还受到热轧铁素体分布的影响. 从图3b可以看出, 原始热轧带状组织分布的越密集(1区), 带状组织之间的奥氏体晶粒长大程度越小, 而带状破碎程度越小. 这是由于带状组织限制了奥氏体的晶粒长大, 导致铁素体分布密集区域奥氏体晶粒组织细小. 而原始带状铁素体分布疏松区域(2区), 奥氏体晶粒长大程度较高, 带状组织破碎程度越高. 因此, 固溶处理后两相组织形貌与固溶温度、原始组织分布相关. 与热轧后Fe-Mn-Al钢两相组织形貌相比, 固溶处理有利于奥氏体晶粒长大和带状组织的破碎分离, 铁素体呈片状分布于奥氏体基体中, 有利于Fe-Mn-Al钢的变形协调.

3 分析与讨论

Al的添加可明显降低Fe-Mn-Al钢的密度, 减重效果明显, 达到轻质化设计目标. Al促进铁素体组织的形成, 在设计的成分体系下获得奥氏体+铁素体双相组织; 同时提高Fe-Mn-Al钢的耐蚀性能, 与普通碳钢材料相比, 采用硝酸酒精溶液作为侵蚀试剂, 其侵蚀时间长, 表明Fe-Mn-Al钢的耐蚀性基于普通碳钢与不锈钢材料之间.

固溶处理过程中, 奥氏体晶粒与带状铁素体组织均发生明显变化, 奥氏体晶粒尺寸随固溶温度的升高而增大, 晶界析出物溶解在基体中, 导致钢板抗拉强度和屈服强度不断下降. 铁素体作为钢中的第二相, 其体积分数和分布主要决定材料的塑性, 对强度影响程度较小. Fe-Mn-Al钢铁素体体积分数如图4所示.

图4   Fe-Mn-Al钢中铁素体体积分数随固溶温度的变化

Fig.4   Change of ferrite volume fraction with solution temperature for Fe-Mn-Al steel

固溶处理过程中, 奥氏体晶粒长大程度明显, 带状组织被破碎分解, 950 ℃固溶处理后铁素体体积分数为13.12%, 当固溶温度达到1050 ℃, 铁素体体积分数下降到6.07%; 奥氏体晶粒长大程度越明显, 铁素体所占体积分数越小. 当固溶温度达到1100 ℃时, 铁素体组织长大程度超过奥氏体, 其体积分数相应增大到6.85%. 这表明, 950~1100 ℃范围内奥氏体晶粒长大明显, 1050~1100 ℃范围内铁素体长大为主导; 铁素体体积分数随固溶温度的升高经历了先下降后上升的变化趋势, 导致Fe-Mn-Al钢断后伸长率在1100 ℃略微下降. 断后伸长率决定了Fe-Mn-Al钢的强塑积大小, 950 ℃固溶处理后钢中铁素体体积分数高, 带状组织破碎不完全, 导致钢板断后伸长率与强塑积较低; 而在1000~1100 ℃范围内固溶处理后奥氏体晶粒均匀化, 带状组织破碎分解, 铁素体体积分数下降, 使得Fe-Mn-Al钢具有较高的断后伸长率与强塑积.

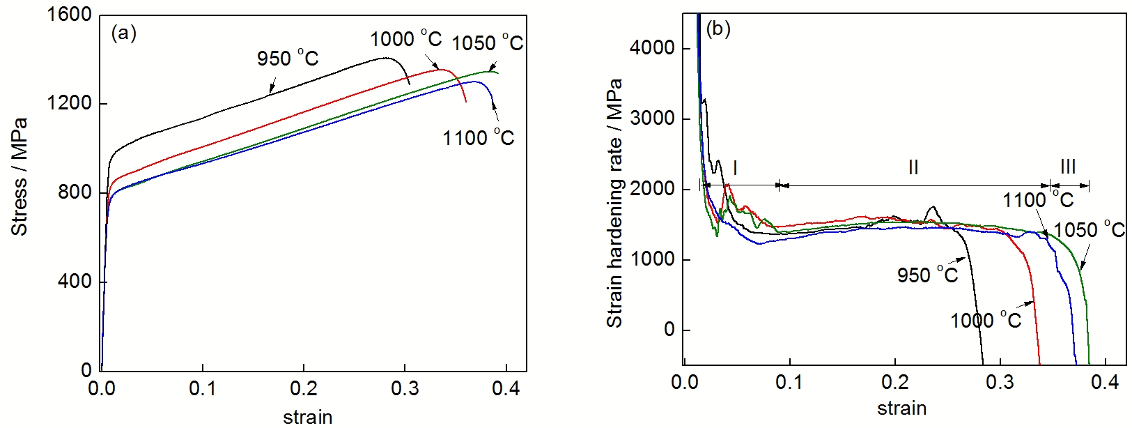
图5为Fe-Mn-Al轻质高强钢在不同温度固溶处理后真实应力-应变曲线与相应的加工硬化曲线. 可见, Fe-Mn-Al钢表现为连续屈服, 没有明显的屈服点, 屈服强度和抗拉强度随固溶温度的升高而下降, 1050 ℃固溶处理后断后伸长率最高. Fe-Mn-Al钢具有抗拉强度与塑性的良好匹配. 比较4组拉伸真实应力-应变曲线与加工硬化曲线, 可以看出, Fe-Mn-Al钢具有连续的加工硬化行为, 其真实应力随真应变的增大而增大. 以1050 ℃试样为例, 加工硬化曲线可以大致分为3个阶段: (I) 应变硬化率波动阶段, 即塑性变形的初级阶段, 加工硬化率连续下降并出现一定的波动, 真应变为0.0894时, 硬化率降低到1390 MPa; (II) 稳定硬化阶段, 随着应变的增大该阶段发生均匀稳定的加工硬化变形, 加工硬化率维持在1480 MPa左右; (III) 加工硬化率衰减阶段, 当应变大于0.345时加工硬化率逐渐降低直到发生断裂, 硬化率为0时对应拉伸曲线真应力最高点. 不同固溶处理试样拉伸真应力-应变曲线各不相同, 但是整体均可分为上述3个阶段, 而稳定阶段应变范围与其均匀变形量有关, 应变范围越宽, 其断后伸长率越大; 阶段(III)所对应的真实应变范围相接近.

图5   固溶处理后Fe-Mn-Al钢真实应力-应变曲线和加工硬化曲线

Fig.5   True stress-strain curves of solid solution treated Fe-Mn-Al steel (a) and the corresponding strain hardening rate as a function of true strain (b)

热轧态与1050 ℃固溶处理后拉伸试样断口形貌如图6所示. 热轧Fe-Mn-Al钢中带状组织沿轧向分布, 导致断口韧窝为明显的横向分布, 韧窝较浅, 表明塑性变形较小; 同时, 由于奥氏体基体与带状铁素体之间的塑性协调性差, 变形过程中容易在二者之间形成微裂纹, 如图6a所示. 固溶处理后试样(图6b)断口为明显的韧窝断裂, 韧窝尺寸约为8 μm. Fe-Mn-Al钢固溶前后拉伸断口形貌对比表明, 固溶处理对于改善Fe-Mn-Al钢的塑性有显著效果.

图6   热轧态与1050 ℃固溶处理后拉伸试样的断口形貌

Fig.6   Fracture morphologies of tensile specimen for hot-rolled (a) and solution treated at 1050 ℃ (b)

图7   Fe-Mn-Al钢变形后组织形貌

Fig.7   Optical morphology of Fe-Mn-Al steel after deformation

层错能决定了高锰钢组织性能与变形机理, 其数值受到合金元素含量和变形温度的影响, 其中Al可以明显提高钢中奥氏体层错能, 并抑制 γ→ε转变[16,17], 目前多采用修正后的Olsen-Cohen热力学模型[18]计算材料的层错能, 并在其它高锰钢中得到验证. 层错能 γSF计算公式[19]如下:

γSF=2ρΔGγε+2σ

式中, ρ为{111}密排面原子堆积密度, σγ/ε相界面自由能, ΔGγ→ε为 γfcc→εhcp相间Gibbs自由能差. 成分分析显示, Fe-Mn-Al钢中铁素体组织Al含量略高于奥氏体组织, 而Mn含量略低, 两相之间存在少量成分差异. 由于钢中的合金元素含量较高, 且铁素体组织所占体积分数较小, 因此采用Fe-Mn-Al钢的成分体系估算钢中奥氏体组织的层错能. 根据层错能计算公式以及各合金元素对Gibbs自由能的影响[8]计算得到, 室温条件下奥氏体的ΔGγ→ε与层错能分别为1150和86 mJ/m2, 明显高于TRIP和TWIP钢. 研究[20]表明: 当层错能小于20 mJ/m2时, 易发生形变诱导马氏体, 即TRIP效应; 当层错能大于20 mJ/m2, 而小于55 mJ/m2时, 易发生形变诱导孪晶, 即TWIP效应; 当层错能大于55 mJ/m2, 为位错滑移机制.

Fe-Mn-Al轻质高强钢变形后组织形貌如图7所示. 拉伸变形后仍为奥氏体+铁素体双相组织, 不连续分布的铁素体组织没有发生明显的塑性变形, 奥氏体基体沿拉伸方向延长, 没有发生马氏体相变与机械孪晶. 大量平行的滑移带贯穿于奥氏体晶粒, 部分滑移带穿过奥氏体退火孪晶, 滑移带方向在孪晶处发生扭折, 并在两侧保持相同取向, 形成了台阶状形貌. 当应变达到一定程度时, 滑移带开始在奥氏体晶粒中出现, 并随着应变的增大逐渐增多, 不同滑移系统滑移带在{111}γ中发生滑移带交割[21,22], 滑移带相交角度为60°左右. 这是由于高层错能材料的位错具有较高的三维可移动性, 容易发生滑移带交割.

图8   Fe-Mn-Al钢变形前后的XRD谱

Fig.8   XRD spectra of Fe-Mn-Al steel before and after deformation

1050 ℃固溶处理后Fe-Mn-Al钢室温拉伸前后的XRD谱如图8所示. 可见, 变形后奥氏体峰值高度下降, 而铁素体(110)a, (211)a和(222)a峰值升高. Imandoust等[23]研究了不同变形温度下Fe-0.06C-29.20Mn-0.60Si-5.20Al (质量分数, %)组织转变规律, 认为在变形过程中发生了 γ→α转变, 即铁素体在奥氏体晶界形核并长大, 导致变形后钢中应变诱导铁素体(DIFT)体积分数增大, 且相变铁素体与奥氏体两相之前不存在成分差异, 但是该机理目前仅适用于低碳微合金钢板[24]. Fe-Mn-Al钢较高的层错能提高了奥氏体的稳定性, 相比于铁素体, 奥氏体更容易发生变形, 晶粒组织沿变形方向伸长, 所占体积分数减小, 相应铁素体体积分数增大, 导致XRD谱中奥氏体峰值高度降低而a铁素体峰值升高.

图9为Fe-Mn-Al钢拉伸变形后的TEM像. 固溶处理后的Fe-Mn-Al轻质高强钢变形后表现为明显的平面滑移特征, 可以观察到典型的Taylor晶格 (Taylor lattice)与高密度位错墙(high density dislocation wall). Taylor晶格由2个非共面的滑移系统构成, 作为一种低能量的位错结构, 通常出现在非晶胞形成金属(non-cell forming metal)材料变形的初始阶段[25]. 图9b中可以观察到多条平行分布的高密度位错墙, 间距在100 nm左右. 而在位错滑移的最终阶段, 2条包含大量几何必需位错的平行位错墙构成一条微带(microband), 如图9c所示. 而非微带内的位错密度较低, 在几何边界两侧观察到明显的位错密度差异. 不同滑移方向的微带同样发生交割, 将奥氏体晶粒细分, 类似于Hall-Petch效应, 导致Fe-Mn-Al钢较高的抗拉强度. Yoo等[9]认为, 在Fe-Mn-Al钢塑性变形的最终阶段, 微带的形成与交割能够合理地解释Fe-Mn-Al钢连续应变强化行为. MBIP机理与SIP机理的提出分别针对固溶处理与时效处理后的Fe-Mn-Al钢, Choi等[11]和Park[26]分析了时效处理对其加工硬化曲线的影响, 对用SIP理论解释Fe-Mn-Al钢的高强韧性提出质疑, 认为时效处理后, 可剪切变形的晶内碳化物会阻碍位错的运动, 提高了Fe-Mn-Al钢的抗拉强度, 降低了加工硬化率和断后伸长率, 导致时效处理后钢板的塑性低于固溶处理态钢板. 尽管在Fe-Mn-Al轻质高强钢中观察到明显的平面滑移特征和微带结构, 但是Fe-Mn-Al钢的变形机理尚需要进一步研究.

图9   Fe-Mn-Al钢变形后位错结构的TEM像

Fig.9   TEM images of dislocation microstructure for Fe-Mn-Al steel(a) Taylor lattice(b) dislocation wall(c) microband

4 结论

(1) Fe-Mn-Al轻质高强钢热轧后组织为奥氏体+带状铁素体组织; 固溶处理有利于奥氏体晶粒长大与带状组织破碎分解, 降低钢板强度, 提高其断后伸长率, 1050 ℃固溶处理后强塑积达到46.48 GPa·%, 但是过高的固溶温度会提高铁素体体积分数, 影响钢板塑性, 使断后伸长率降低.

(2) Fe-Mn-Al轻质高强钢固溶处理后具有高强度与塑性的良好组合, 有连续的应变强化特征, 加工硬化曲线可以分为3个阶段, 稳定硬化阶段应变范围越宽, 断后伸长率越大, 拉伸断口为明显的韧窝断裂.

(3) Fe-Mn-Al钢较高的层错能使其在拉伸变形过程中没有发生马氏体相变或机械孪晶, 奥氏体组织承担主要变形, 表现为明显的平面滑移特征, 包括Taylor晶格、高密度位错墙、微带等微观结构.


参考文献

[1] Suh D W, Kim N J. Scr Mater, 2013; 68: 337

[本文引用: 1]     

[2] Hwang S W, Ji J H, Park K T. Mater Sci Eng, 2011; A528: 7267

[本文引用: 1]     

[3] Sahraoui T, Hadji M, Yahi M. Mater Sci Eng, 2009; A523: 271

[本文引用: 1]     

[4] Park K, Kim G, Kim S K, Lee S W, Hwang S W, Lee C S. Met Mater Int, 2010; 16: 1

[5] Saeed-Akbari A, Imlau J, Prahl U, Bleck W. Metall Mater Trans, 2009; 40A: 3076

[6] Torabinejad V, Zarei-Hanzaki A, Moemeni S, Imandoust A. Mater Des, 2011; 32: 5015

[本文引用: 1]     

[7] Frommeyer G, Brux U. Steel Res Int, 2006; 77: 627

[本文引用: 2]     

[8] Yoo J D, Park K. Mater Sci Eng, 2008; A496: 417

[本文引用: 2]     

[9] Yoo J D, Hwang S W, Park K. Mater Sci Eng, 2009; A508: 234

[本文引用: 1]     

[10] Yoo J D, Hwang S W, Park K T. Metall Mater Trans, 2009; 40A: 1520

[本文引用: 1]     

[11] Choi K, Seo C, Lee H, Kim S K, Kwak J H. Scr Mater, 2010; 63: 1028

[本文引用: 2]     

[12] Kalashnikov I, Shalkevich A, Acselrad O, Peraira L C. J Mater Eng Perform, 2000; 9: 597

[本文引用: 1]     

[13] Ma F C, Liu P, Li W, Feng W J, Wang L. Trans Mater Heat Treat, 2010; 31(9): 64

[本文引用: 1]     

(马凤仓, 刘 平, 李 伟, 封为骏, 王 利. 材料热处理学报, 2010; 31(9): 64)

[本文引用: 1]     

[14] Bao W P, Zhao Y J, Xu L W, Xiong Z P, Ren X P. Heat Treat Met, 2010; 35(4): 33

[本文引用: 1]     

(包卫平, 赵艳君, 许立伟, 熊志平, 任学平. 金属热处理, 2010; 35(4): 33)

[本文引用: 1]     

[15] Umino R, Liu X, Sutou Y, Wang C, Ohnuma I, Kainuma R. J Phase Equilib Diff, 2006; 27: 54

[本文引用: 1]     

[16] Park K, Jin K G, Han S H, Hwang S W, Choi K, Lee S W. Mater Sci Eng, 2010; A527: 3651

[本文引用: 1]     

[17] Ding H, Yang P. J Mater Metall, 2010; 9: 265

[本文引用: 1]     

(丁 桦, 杨 平. 材料与冶金学报, 2010; 9: 265)

[本文引用: 1]     

[18] Gutierrez I, Raabe D. Acta Metar, 2012; 60: 5791

[本文引用: 1]     

[19] Dumay A, Chateau J P, Allain S, Migot S, Bouaziz O. Mater Sci Eng A, 2008; 483-484: 184

[本文引用: 1]     

[20] Poy N C. PhD Dissertation, University Ghent, 2004

[本文引用: 1]     

[21] Talonen J, Hanninen H. Acta Mater, 2007; 55: 6108

[本文引用: 1]     

[22] Paul H, Morawiec A, Driver J H, Bouzy E. Int J Plast, 2009; 25: 1588

[本文引用: 1]     

[23] Imandoust A, Zarei-Hanzaki A, Abedi H R. Scr Mater, 2012; 67: 995

[本文引用: 1]     

[24] Dong H, Sun X. Curr Opin Solid State Mater Sci, 2005; 9: 269

[本文引用: 1]     

[25] Hughes D A. Acta Metall Mater, 1993; 41: 1421

[本文引用: 1]     

[26] Park K. Scr Mater, 2013; 68: 375

[本文引用: 1]     

/